«Скалярное произведение векторов. Угол между векторами». 9-й класс
Цели урока:сформировать понятия скалярного произведения векторов, угла между векторами.
Задачи:
- рассмотреть следствия из теоремы о скалярном произведении в координатах, свойства скалярного произведения векторов; показать применение скалярного произведения векторов при решении задач;
- формировать навыки нахождения скалярного произведения и угла между векторами;
- способствовать воспитанию ответственности, организованности, самостоятельности.
Тип урока: урок совершенствования ЗУН
Вид урока: традиционный урок с применением компьютера
Оборудования: компьютер, демонстрационный материал
ХОД УРОКА
I. Организационный момент
Приветствие, психологический настрой на урок (Приложение 1. Слайд 1)
Добрый день! Добрый час!
Начинаем мы сейчас
Наш урок очередной.
И не легкий, и не сложный,
Очень нужный нам сейчас
В подготовке к ОГЭ!
II. Актуализация знаний учащихся
1) Устная работа №8 - Угол между векторами (Приложение 2, материал с сайта matvaz.ru), №9 - Скалярное произведение векторов (Приложение 3, материал с сайта matvaz.ru)
2) Проверка домашнего задания (Приложение 4)
П.101-104, №1041, стр.269
№1041
Дано:
- векторы

Найти:
![]()
Решение:

Ответ: ![]()
Инд тесты на сайте uztest.ru
3) Контроль усвоения материала (самостоятельная работа) (Приложение 5)
Вспомнить формулу нахождения координаты вектора через координаты его начала и конца: Каждая координата вектора равна разности соответствующих координат его конца и начала
Вариант 1
А1. Даны точки А(2; 4), В(5; 8), С(-7; -1), D(5; 8). Найдите скалярное произведение векторов
.
А2. Даны векторы
. Найдите скалярное произведение векторов.
А3. Вычислите скалярное произведение векторов, если
, а угол между ними равен 60о.
Вариант 2
А1. Даны точки А(2; 4), В(-1; 6), С(-4; -2), D(3; 2). Найдите скалярное произведение векторов
и
.
А2. Даны векторы
. Найдите скалярное произведение векторов.
А3. Вычислите скалярное произведение векторов, если
, а угол между ними равен 30о.
Ответы: (Слайд 2)
Вариант 1
А1. 72 А2. 37 А3.13,5
Вариант 2
А1. -13 А2.-13 А3. ![]()
III. Изучение нового материала.
Сообщение темы урока, сформулировать цели урока (Слайд 3)
(Слайд 4)

Ненулевые векторы
и
перпендикулярны тогда и только тогда, когда
![]()
(Слайд 5)
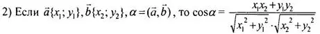
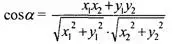
![]()
Косинус угла ? между ненулевыми векторами
и
выражается формулой
![]()
(Слайд 6)
Для любых векторов
и любого числа k справедливы соотношения:

IV. Применение знаний
Решить задачи №55, 57 из рабочей тетради (Приложение 6)
Коллективно решить №1047(а), 1044 (а,в), 1045, 1047(в) (Слайд 7)
V. Рефлексия
Подведение итогов урока. Оценить работы учащихся
V. Домашняя работа
(Слайд 8)
П.101-104, №1051 Стр.270.
(Слайд 9)
Индивидуальные задания: 1) выполнить тест №3 (задания №11 ОГЭ), выполнить тест №4 (задания №21 ОГЭ), составленные на сайте uztest.ru, задания на карточках: №54, 56 из рабочей тетради (Приложение 7)
Приложения
- pril1.ppt (469.50 КБ)
- pril2.pps (210.94 КБ)
- pril3.pps (158.21 КБ)
- pril4.docx (19.06 КБ)
- pril5.doc (36.86 КБ)
- pril6.docx (139.17 КБ)
- pril7.docx (196.40 КБ)