Логарифмы в заданиях ЕГЭ
Скачать презентацию (3.44 МБ)
Метод решения хорош, если с самого начала мы можем предвидеть - и в последствии подтвердить это, -
что, следуя этому методу, мы достигнем цели.
Г.Лейбниц
ТИП УРОКА: Закрепление и совершенствование знаний.
ЦЕЛИ:
- Дидактическая - Повторить и закрепить свойства логарифмов; логарифмические уравнения; закрепить методы решения наибольшего и наименьшего значения функции; совершенствовать применение полученных знаний при решении задач ЕГЭ С1 и С3;
- Развивающая - Развитие логического мышления, памяти, познавательного интереса, продолжить формирование математической речи и графической культуры, вырабатывать умение анализировать;
- Воспитательная - Приучать к эстетическому оформлению записи в тетради, умению общаться, прививать аккуратность.
Оборудование: классная доска, компьютер, проектор, экран, карточки с заданиями теста, с заданиями для работы всех обучающихся.
Формы работы: фронтальная, индивидуальная, коллективная.
ХОД УРОКА
1. ОРГАНИЗАЦИОННЫЙ МОМЕНТ
2. ПОСТАНОВКА ЦЕЛИ
3. ПРОВЕРКА ДОМАШНЕГО ЗАДАНИЯ
- Задания группы В (10 заданий) - проверяется устно;
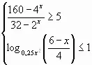
- Задания С3 из второй части ЕГЭ;
Ответ:
- работа личных кабинетов в Интернет (просмотр результатов)
4. АКТУАЛИЗАЦИЯ ЗНАНИЙ
Проанализировать: в каких заданиях ЕГЭ встречаются логарифмы.
(В-7-простейшие логарифмические уравнения
В-11-преобразование логарифмических выражений
В-12- задачи физического содержания, связанные с логарифмами
В-15- нахождение наибольшего и наименьшего значения функции
С-1- тригонометрические уравнения, содержащие логарифм
С-3 - система неравенств, содержащая логарифмическое неравенство)
На данном этапе проводится устная работа, в ходе которой учащиеся не только вспоминают свойства логарифмов, но и выполняют простейшие задания ЕГЭ.
1) Определение логарифма. Какие вы знаете свойства логарифма? (и условия ?)
1. logb b = 1
2. logb 1 = 0, 3. logc (ab) = logc a + logc b.
4. logc (a:b) = logc a - logc b.
5. logc (b k ) = k * logc
6
=
![]()
7.
![]()
8. ![]()
2) Какая функция называется логарифмической? D(у) -?
3) Что такое десятичный логарифм? (
)
4) Что такое натуральный логарифм? (
)
5) Что такое число е?
6) Чему равна производная от
? (
)
7) Чему равна производная от натурального логарифма? ![]()
5. УСТНАЯ РАБОТА для всех обучающихся
Вычислить устно: (задания В-11)
|
|
|
![]() |
6. Самостоятельная деятельность учащихся по решению заданий
В-7 с последующей проверкой
Решите уравнения (первые два уравнения проговаривают устно, а остальные решает самостоятельно весь класс и записывает решение в тетрадь):
![]()
![]()
![]()
![]()
![]()
(Пока ученики работают на месте самостоятельно, к доске выходят 3 ученика и работают по индивидуальным карточкам)
![]()
![]()
![]()
После проверки с места 3-5 уравнений, ребятам предлагается доказать, что уравнение
не имеет решения (устно)
7. Решение В-12 - (задачи физического содержания, связанные с логарифмами)
Весь класс решает задачу (у доски 2 человека: 1-й решает вместе с классом, 2-й решает аналогичную задачу самостоятельно)

8. УСТНАЯ РАБОТА (вопросы)
Вспомнить алгоритм нахождения наибольшего и наименьшего значения функции на отрезке и на промежутке.
Работа на доске и в тетради.
(прототип В15 - ЕГЭ)

9. Мини-тест с самоконтролем.
Тест
| № | 1 вариант | 2 вариант |
| 1. | ||
| 2. | ||
| 3. | ||
| 4. | ||
| 5. | ||
| 6. |
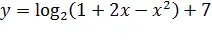
Найдите наибольшее значение функции
|
Найдите наименьшее значение функции
|
Ключи к тесту
| №1 | №2 | №3 | №4 | №5 | №6 | |
| Вариант №1 | 250 | 49 | 4 | -8 | 3 | 8 |
| Вариант №2 | 63 | 144 | 13 | -22 | 7 | 3 |
Ребята меняются друг с другом работами и выступают в роли экспертов.
10. Решение заданий С1
Учащиеся выполняют задание, 1 человек работает у доски.
а) Решите уравнение ![]()
б) найдите корни уравнения, принадлежащие промежутку (
;3
)
Подробный разбор предложенного задания на доске.
11.Выступление учащихся в роли экспертов
Ребятам предлагается оценить работу ученика - задание С-1, выполненную на экзаменационном бланке - 0,1,2 баллами (см.презентацию)
12. ДОМАШНЕЕ ЗАДАНИЕ
Учитель поясняет домашнее задание, обращая внимание на то, что аналогичные задания были рассмотрены на уроке. Учащиеся внимательно прослушав пояснения учителя, записывают домашнее задание.
ФИПИ (открытый банк заданий: раздел геометрия, 6-я страница)
uztest.ru (преобразование логарифмов)
С3 - задание второй части ЕГЭ

13. ПОДВЕДЕНИЕ ИТОГОВ
Сегодня на уроке мы повторили свойства логарифмов; логарифмические уравнения; закрепили методы нахождения наибольшего и наименьшего значения функции; рассмотрели задачи физического содержания, связанные с логарифмами; решали задачи С1 и С3, которые предлагаются на ЕГЭ по математике в прототипах В7, В11, В12, В15, С1 и С3.
Выставление оценок.
