Использование метода проектов в преподавании физики
Исследовать - значит видеть то, что видели все, и думать так, как не думал никто (Альберт Сент-Дьерди).
Творчество - универсальный способ самореализации, самоутверждения человека в мире.
Основная задача учителей - создать для ребёнка среду - интеллектуальную атмосферу, которая поможет ему раскрыть свои способности и достичь высоких результатов.
Основной целью организации научно-исследовательской деятельности школьников по физике является:
- выявление и поддержка одарённых учащихся;
- развитие их интеллектуальных и творческих способностей;
- поддержка научно-исследовательских интересов учеников.
Задачами организации научно-исследовательской деятельности школьников по физике являются:
- приобщение учащихся к интеллектуально-творческой деятельности;
- выдвижение и реализация в научных исследованиях творческих идей, создание научных работ и проектов;
- создание условий для расширения среды общения и получения информации;
- участие в проводимых в рамках района, края, страны научно-практических конференциях;
- формирование навыков исследовательской работы;
- развитие интеллектуальных, творческих и коммуникативных способностей.
Одним из направлений научно-исследовательской деятельности учащихся является подготовка к научно-практической конференции.
Научно-практические конференции, являются итогом многомесячной исследовательской, творческой деятельности обучающихся, осуществляемой под руководством учителя. Они дают возможность раскрыться
одаренной личности, проявить все качества характера, т.е. являются своеобразным психологическим тренингом.
Научно-исследовательская работа позволяет открыть способности к тому или иному предмету, а иногда к нескольким. Научно-исследовательская деятельность не возникает в школе сама по себе. Необходимы
условия для осуществления научно-исследовательской деятельности:
- готовность к этому виду работы учащихся;
- желание и готовность учителей руководить этим видом деятельности.
Сложнее всего выявить у учащихся готовность к данному виду деятельности. Для того чтобы найти именно того ребенка, которому это интересно, и который не сойдет с дистанции (доведет работу до конца).
Исследуемые проекты
Я работаю учителем физики. Данная предметная область включает в себя широкое поле аспектов научно-исследовательской деятельности. К участию в НПК привлекаю учащихся с 7 по 11 классы.
Работа начинается с выявления обучающегося, заинтересованного в исследовании какой-либо проблемы, способного к самостоятельной исследовательской деятельности. Кроме того, способного
продемонстрировать своё исследование широкой публике. Затем мотивация. Стараюсь заинтересовать ребёнка в выбираемой теме. Любая деятельность должна быть мотивирована, иначе успеха не будет. Иногда
обучающийся сам находит исследуемую проблему - в этом случае заинтересованность его оптимальная.
Вашему вниманию предлагается несколько исследовательских работ, подготовленные учащимися нашего лицея.
Техника на службе искусства
1. Группа учащихся 11 класса, в составе 7 человек, подготовили проект на тему «Техника на службе искусства».
Задачи:
- Проследить взаимосвязь техники с некоторыми видами искусств.
- Выбрать техническое устройство. Анализ Технического устройства.
- Экспериментально показать изменение характеристик ТУ.
Цели:
- Усвоение знаний оказавших определяющее влияние на развитие техники и технологии.
- Овладение умениями оценивать достоверность естественно - научной информации.
- Развитие познавательных интересов, интеллектуальных и творческих способностей в процессе приобретения знаний и умений по физике с использованием различных источников информации и современных информационных технологий.
- Воспитание в необходимости сотрудничества в процессе совместного выполнения задач, уважительного отношения к мнению оппонента.
Проект начинается с рассказа о технике.
(Определение, назначение, классификация, развитие техники)
Определение понятия «искусства»
Взаимосвязь техники с искусством:
1. Еще с древних времен техника была связана с искусством.
«Всякое искусство, - говорит Аристотель, - имеет дело с возникновением, и быть искусным - значит разуметь, как возникает нечто из вещей, могущих быть и не быть и чье начало в творце, а не в творимом. Искусство ведь не относится к тому, что существует или возникает с необходимостью, ни к тому, что существует или возникает естественно, ибо это имеет начало в себе самом». [4, с.11]
2. XX век - век техники.
ХХ век называют веком техники и интеграции. В этой связи актуализируется проблема соотношения искусства и техники. Именно в современную эпоху появляются художественная фотография, кино, телевидение, эстрада, светомузыка. Благодаря технике расширяются "языковые", выразительные возможности искусства.
3. Техника и кинематограф.
Говоря о новых технологиях в искусстве нельзя обойти стороной такой вид искусства, как кинематограф. За сто с небольшим лет существования он успел встать в один ряд с живописью, музыкой, театром и другими видами искусства. Но в то же время кинематограф - это исключительно детище новых технологий. Без изобретения фотографии и упомянутого выше фонографа кинематограф был бы невозможен. Кинематограф - это род искусства, произведения которого создаются с помощью съёмки реальных, специально инсценированных или воссозданных средствами мультипликации событий действительности.
4. Техника и музыка.
За весь период человеческой истории от изобретения лиры до наших дней было создано огромное количество музыкальных инструментов. Но наибольшему влиянию новых технологий за последние сто пятьдесят
лет подверглись три группы - клавишные, ударные и струнные (в основном гитара).
Изобретение волновой звукозаписи позволило записать любой инструмент, да что там инструмент, вообще теперь любой звук можно было записать. Однако от изобретения фонографа до изобретения качественных
проигрывателей и магнитофонов прошло немало времени. По началу фонограф не находил признания из-за жуткого качества звучания. Но дальнейшее совершенствование этого способа звукозаписи и изобретение
качественных электропроигрывателей и магнитофонов расставило все точки над i. Они появились в сороковых-пятидесятых годах прошлого столетия.
Выбор технического устройства.
Наш выбор пал на техническое устройство - «эквалайзер», так как это устройство в наше время знакомо многим. Мы постарались проанализировать его, то есть рассказать о его устройстве (схеме, АЧХ),
провести эксперимент, показав тем самым работу эквалайзера.
Учащиеся на уроках информатики разработали программу, с помощью которой можно увидеть графики частотных характеристик.
Описание хода эксперимента и работы с разработанной программой приведено в Приложении 1.
В заключении можно сказать, что при взаимодействии искусства и техники, выяснилось, что влияние новых технологий на искусство неоспоримо. В результате влияния техники на искусство образовался феномен
цифровых искусств, или арт-медиа, для которых характерна интерактивность, элитарность, новые художественные средства, формы и жанры. Наиболее распространенными видами цифрового искусства являются
видео-арт, сетевое искусство, анимация.
Акустика помещений.
Проект подготовили ученицы 11 класса Несмеловой Анастасии на тему «Акустика помещений».
Цель проекта: рассчитать акустику актового зала.
Задачи:
- Изучить раздел физики «Акустика»;
- Узнать какие факторы влияют на акустику помещений;
- Узнать какие бывают виды акустических систем.
Начинается проект о понятии звука, распространении звука в пространстве и его воздействии на органы слуха человека. Изложены интересные факты о звуке. Далее дается определение акустики, основные направления современной акустики. Затем проводятся исследования слышимости, которые зависят от: формы помещения, его размеров, конструктивного решения, размещения источника звука, времени реверберации.
Приводятся таблицы:
- «Величина коэффициента звукопоглощения некоторых распространенных материалов. По «Справочнику по строительным материалам» и данным профессора Э. Михеля.
- «Допустимый уровень громкости шумов в помещениях различного назначения».
- «Верхний предел допустимый громкости шума систем кондиционирования и вентиляции по Бераник».
- «Минимальная сжимаемость изоляционных материалов для защиты от шума».
Размещение акустической системы в комнате прослушивания. Симметрия и расположение слушателя.
При проведении замеров в школьном актовом зале было выяснено, что важным фактором распространения звуковых волн являются: покрытие мебели, ее расположение, материал занавеса его размер, кроме того,
большое влияние на распространение звука оказывают окна и двери (открыты или закрыты). Также покрытие и материал стен.
Можно сделать вывод:
Рассмотренные теории с разных сторон объясняют акустические процессы, происходящие в помещениях. Из них только одна - статическая - позволяет определить численно важную величину, характеризующую
акустические свойства помещения - время реверберации.
Геометрическая теория более приложима к анализу акустических процессов в помещениях больших размеров - концертных и театральных залах, крупных студиях.
Статическая и волновая теории особенно применимы к помещениям сравнительно малых размеров, например к студиям звукового вещания и аудиториям различного назначения.[9, с. 15]
Модуль Юнга и коэффициент Пуассона для анизотропных наноусов.
Проект ученицы 11 класса Скрипниковой Виктории на тему «Модуль Юнга и коэффициент Пуассона для анизотропных наноусов».
Цели:
- Нахождение максимальных и минимальных значений модулей Юнга и коэффициентов Пуассона для анизотропных материалов;
- Нахождение среди рассматриваемых кристаллов элементов с отрицательным коэффициентом Пуассона - ауксетиков.
Вслед за первоначальным открытием углеродных микро- и нанотрубок и постоянно расширяющимися фронтом их исследования и изучения углеродных наноусов все большее внимание привлекают неуглеродные
неорганические микро- и нанотрубки и наноусоы. Родственность структуры монокристаллов таких веществ и соответствующих им усов делает схожими их механические свойства.[6, с. 246]
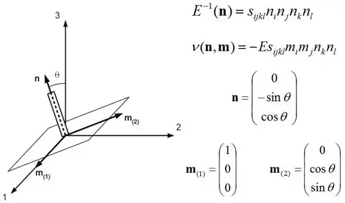
Далее рассматриваются изменения коэффициента Пуассона и модуля Юнга в зависимости от ориентации микро- и наноусов относительно осей кристаталлофизических координат (Рисунок 1).

Выбирается в качестве объекта исследования усы с кубической кристаллической структурой. По своим свойствам они близки к идеальным кристаллам, т. к. их структура обладает малым числом дефектов. Для
этого, чтобы можно было применить законы классической теории упругости, усы должны превосходить в длину несколько нанометров, а площадь поперечных сечений может колебаться от нано до макро размеров.
График растяжение стержней с кубической кристаллической структурой и изменение коэффициента Пуассона и модуля Юнга в зависимости от ориентации микро- и наноусов относительно осей
кристаталлофизических координат представлено на рисунке 1.
Модуль Юнга Е и коэффициент Пуассона зависят от единичного вектора направления растягиваемого стержня n, единичного поперечного вектора m и коэффициентов податливости кристаллов.
Используя предыдущие формулы, можно получить выражения для угловых зависимостей коэффициентов Пуассона и модуля Юнга (рисунок 2):

Угловые зависимости коэффициентов Пуассона для натрия, ниобия, никеля и свинца представлены на рисунке 3.

Максимум модуля Юнга и коэффициента Пуассона достигается в точке π/4, минимум в точке π/2 для всех элементов, кроме молибдена, ниобия, ванадия и хрома. Для этих кристаллов точки достижения
экстремумов диаметрально противоположны.
Среди рассматриваемых элементов наибольшее значение модуля Юнга имеет иридий (≈ 583 ГПа), а наименьшее рубидий (≈ 0,75 ГПа).
Коэффициент Пуассона, превышающий верхнюю границу для изотропных материалов, имеют 66% рассмотренных кристаллов, при этом максимальное значение коэффициента Пуассона, большее единицы, наблюдается у
лития (1,29), натрия (1,2), калия (1,2), рубидия (1,15) и свинца (1,02) .[11, с. 650]
Проводится сравнительный анализ значения модуля Юнга и коэффициента Пуассона для кристаллов и изотропных материалов. Отмечено, что диапазон изменения коэффициента Пуассона для некоторых из
рассматриваемых кристаллов (лития, натрия, калия и рубидия) превосходит диапазон изменения коэффициента Пуассона для изотропных материалов.
Заключение говорит о том, что материалы, обладающие отрицательным коэффициентом Пуассона, т. е. при растяжении расширяющиеся в направлении, перпендикулярном приложенной силе, известны уже более ста
лет, однако впервые они были синтезированы в 1987 году профессором Висконсинского университета Родериком Лэйксом . [6, с. 614-616]
В последние десятилетия наблюдается бурный рост количества теоретических и экспериментальных исследований, изготовления и применения материалов и конструкций с отрицательными коэффициентами Пуассона.
Данная работа может послужить толчком к более подробному изучению механических свойств неуглеродных микро- и наноусов и композитов на их основе. В частности отрицательность коэффициента Пуассона у
большинства элементов позволяет надеяться на их массовое использование в будущем.
В Приложении 2 приведен расчет модуля Юнга и коэффициента Пуассона на примере лития в программном пакете Maple.
ВЫВОД
В результате проделанной работы можно сделать следующие выводы:
- Исследовательская деятельность помогает учащимся успешнее обучаться, глубже осмысливать учебные предметы.
- Прививается навык работы с литературой, что расширяет кругозор.
- Учатся четко и ясно излагать мысли, отстаивать свое мнение.
- Развивается ораторское умение, что необходимо для будущей профессии.
- Выступая много раз перед аудиторией учащиеся учатся аргументировать, доказывать свою точку зрения, вести полемику, участвовать в дискуссии.
- Занимаясь исследовательской работой, учащиеся учатся соблюдать научную этику, убеждаются каким трудом добывается новое знание.
- Научная исследовательская деятельность дает учащимся возможность осознать свою принадлежность к большой науке, знакомит с методами научной и творческой работы.
СПИСОК ЛИТЕРАТУРЫ.
- Бельфер М. «Несколько слов об исследовательских работах школьников» / М. Бельфер // Литература: изд. дом Первое сентября. - 2006. - № 17.
- Брыкова О.В. «Проектная деятельность в учебном процессе» / О. В. Брыкова, Т. В. Громова. - М.: Чистые пруды, 2006. - (Б-чка "Первого сентября"). - ISBN5-9667-0230-6.
- Волков С. « Чтобы не было скучно» / С. Волков // Литература: изд. дом Первое сентября. - 2006. - N 13.
- Гете И. «Об искусстве», Москва, 1975.
- Глазкова К.Р. Уроки-исследования: формирование творческой, критически мыслящей личности / К. Р. Глазкова, С. А. Живодробова // Физика: изд. дом Первое сентября. - 2006. - № 24.
- Гольдштейн Р. В., Городцов В. А., Лисовенко Д.С. «Об отрицательности коэффициента Пуассона для анизотропных материалов»//ДАН 2009. Т. 429. №5.
- Закурдаева С.Ю. Формирование исследовательских умений / С.Ю.Закурдаева // Физика: изд. дом Первое сентября. - 2005. №11.
- Ивочкина Т. Организация научно-исследовательской деятельности учащихся. - Народное образование - №3, 2000 г.
- Исакович М. А. «Общая акустика». М.: Наука, 1973.
- Ландау Л. Д., Лившиц Е. М. «Теория упругости». М.: Наука, 1987.
- Сиротин Ю. И., Шаскольская М. П. «Основы кристаллической физики». М.: Наука, 1975.