Решение задач С2 ЕГЭ по математике нестандартным методом
Скачать презентацию (5.57 МБ)
Как вы знаете в задании С2 чаще всего требуется найти:
1) угол между двумя скрещивающимися прямыми, между прямой и плоскостью, между двумя плоскостями;
2) расстояние между двумя скрещивающимися прямыми, расстояние от точки до прямой, от точки до плоскости.
Рассмотрим различные типы задач, решаемых координатно-векторным методом.
Векторно-координатный метод — весьма эффективный и универсальный способ нахождения любых углов или расстояний между стереометрическими объектами в пространстве.
1. Задача на нахождение угла между прямыми
Определение 1. Углом между скрещивающимися прямыми в пространстве называется угол двумя прямыми, параллельными данным, лежащими в одной плоскости.
Градусная мера угла располагается в диапазоне от 0° до 90°. Данный угол между двумя прямыми равен углу между их направляющими векторами.
Определение 2. Направляющий вектор прямой - это любой ненулевой вектор, лежащий на данной прямой или на параллельной ей прямой.
Таким образом, если нам удастся найти координаты направляющих векторов
и
, то сможем найти
угол.
Косинус угла
между ненулевыми векторами
и
вычисляется по
формуле:
![]()
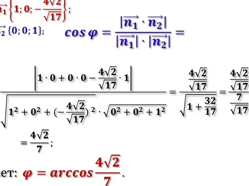
Задача 1 (Вариант 19). В правильном октаэдре SABCDF (S и F – несмежные вершины) точка P – середина ребра SC. Найдите косинус угла между прямыми BF и AP.
Решение: Введем прямоугольную систему координат, как показано на рисунке 1.

Пусть все ребра октаэдра равны 1. Найдем координаты точек:
![]()
![]()
![]()
Пусть
– угол между
и
– искомый угол между прямыми BF и
AP.
![]()
![]()
2. Задача на нахождение угла между прямой и плоскостью
Определение 3. Углом между (пересекающимися) прямой и плоскостью называется угол между прямой и ее (ортогональной) проекцией на эту плоскость.
Определение 4. Определитель второго порядка
![]()
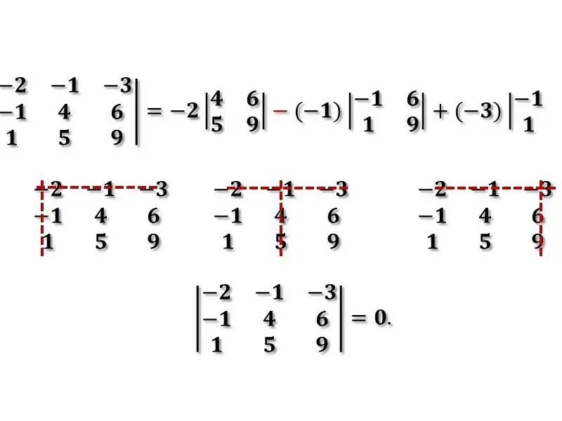
Определение 5. Определитель третьего порядка

![]()

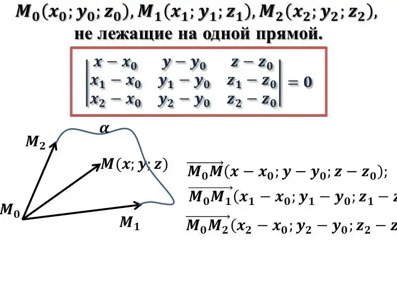
Уравнение плоскости, проходящей через три точки.
не лежащие на одной прямой.
.

![]()
![]()
![]()
Определение 6. Нормальный вектор плоскости - это любой ненулевой вектор, лежащий на прямой перпендикулярной к данной плоскости.
Пусть плоскость
имеет нормальный вектор
А прямая
имеет направляющий вектор
.

Тогда синус угла
между прямой и плоскостью вычисляется
по формуле:
![]()
Задача 2 (Вариант 14). В прямоугольном параллелепипеде
Найдите угол между прямой
и плоскостью
.
Решение: Введем прямоугольную систему координат, как показано на рисунке 4.

Найдем координаты точек:
![]()
Определим координаты вектора
.
Найдем координаты вектора
, перпендикулярного
плоскости
. Для этого составим уравнение плоскости
.
.
![]()
Пусть
– искомый угол между прямой
и плоскостью
.
![]()
![]()
3. Задача на нахождение угла между плоскостями
Определение 7. Углом между (пересекающимися) плоскостями называется угол между прямыми пересечения этих плоскостей с плоскостью, перпендикулярной прямой их пересечения.
Задачу о нахождении угла между плоскостями
и
, заданными соответственно
уравнениями
и
, можно свести к задаче о
нахождении угла
между их векторами нормали
и
, а далее использовать формулу
![]()
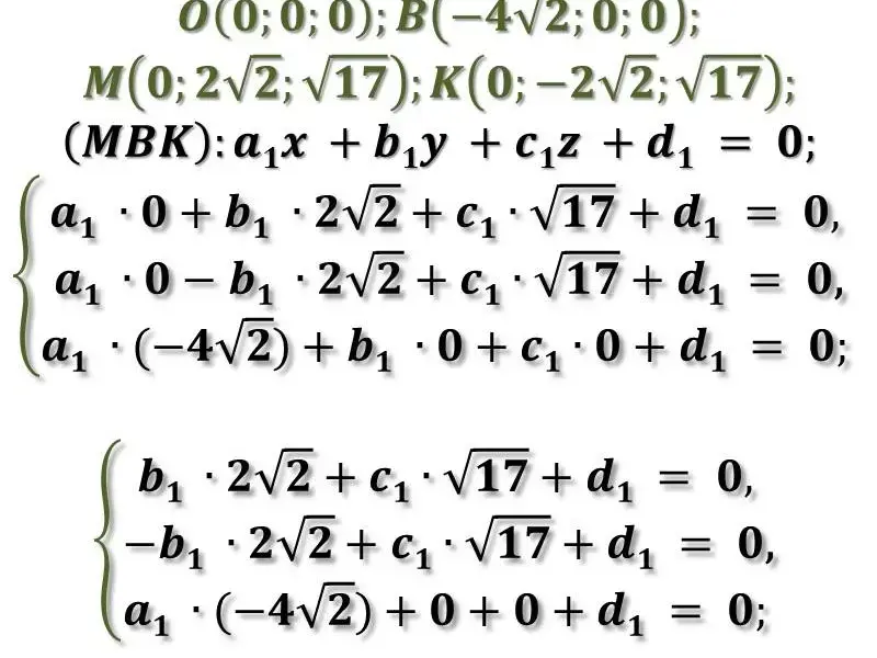
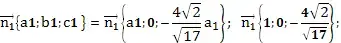
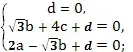
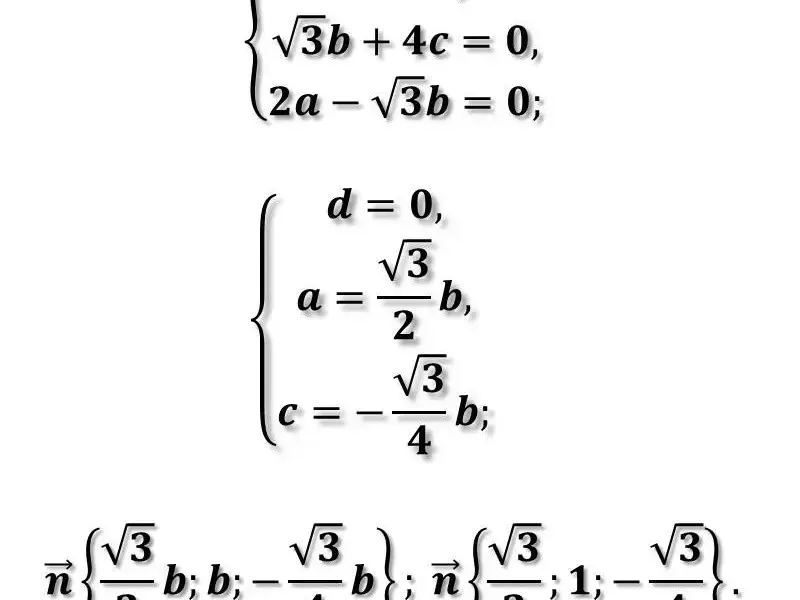
Задача 3. В правильной четырёхугольной пирамиде SABCD точка S — вершина. Точка M — середина ребра SA, точка K— середина ребра SC. Найдите угол между плоскостями BMK и ABC, если AB = 8, SC =10.
Решение: Введем прямоугольную систему координат, как показано на рисунке 5.


![]()
![]()
![]()
![]()
![]()
![]()
![]()
![]()
![]()
![]()
![]()



![]()
;
.

![]()

![]()
4. Задача нахождение расстояние между двумя точками.
Координаты середины
отрезка
,
![]()
определяются по формулам:
![]()
![]()
![]()
Расстояние между точками
и
вычисляется по
формуле ![]()
Задача 4. В кубе ABCDA1B1C1D1 с ребром 1 найти расстояние от точки B до середины отрезка A1D.
Решение: Поместим наш куб в прямоугольную систему координат как показано на рисунке 8.

Определим координаты точек: ![]()
Воспользуемся формулой расстояния между двумя точками.
Пусть точка E – середина
, тогда
координаты

Ответ: ![]()
5. Задача на нахождение расстояние от точки до плоскости
Чтобы найти расстояние от точки до плоскости, необходимо опустить перпендикуляр из данной точки на эту плоскость.
Расстояние от точки до плоскости, не содержащей эту точку, есть длина отрезка перпендикуляра, опущенного из этой точки на плоскость.
Пусть
данная точка,
уравнение данной плоскости ![]()
![]()
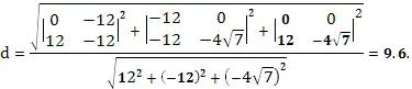
Задача 5 (Вариант 10). В правильной шестиугольной призме
стороны основания равны
, а боковые ребра
равны
.
середина отрезка
. Найдите расстояние от вершины
до плоскости
![]()
Решение: Введем прямоугольную систему координат, как показано на рисунке 10.


Рассмотрим D АВС. По теореме косинусов: ![]()
![]()
Найдем координаты точек:
![]()
![]()
уравнение данной плоскости ![]()
![]()
![]()
![]()


![]()
![]()

![]()
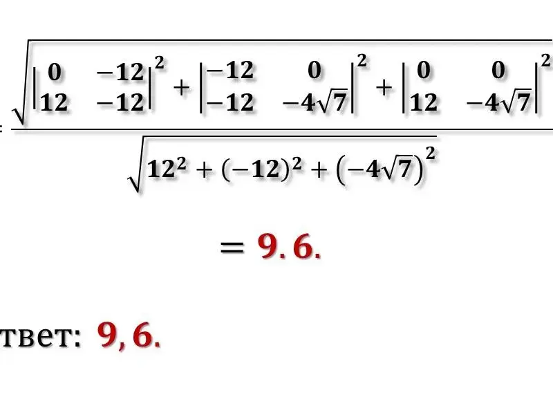
6. Задача на нахождение расстояния от точки до прямой
Чтобы найти расстояние от точки до прямой, необходимо опустить из точки перпендикуляр на данную прямую.


Задача 6 (Вариант 18). Найдите расстояние от вершины
основания правильной четырехугольной призмы
до диагонали
, если сторона основания
равна
, а боковое ребро призмы
.
Решение: Введем прямоугольную систему координат, как показано на рисунке 12.

Определим координаты точек:
![]()
Определим координаты вектора ![]()

![]()
7. Задача на нахождение расстояния между прямой и плоскостью
- Расстояние от прямой до непараллельной ей плоскости равно нулю.
- Расстояние между прямой и параллельной ей плоскостью равно длине отрезка их общего перпендикуляра.
- Расстояние от прямой до параллельной ей плоскости равно расстоянию от любой точки этой прямой до плоскости.
8. Задача на нахождение расстояния между двумя прямыми
Чтобы найти расстояние между двумя скрещивающимися прямыми, необходимо через одну прямую провести плоскость, параллельную второй, и найти расстояние от второй прямой до этой плоскости.
Если скрещивающиеся прямые поместить в параллельные плоскости, то расстояние между этими прямыми будет равно расстоянию между построенными плоскостями, а оно равно расстоянию от любой точки одной прямой до плоскости, содержащей вторую прямую.


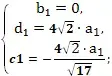
Задача 7 (Вариант 27). Основание пирамиды
– равносторонний треугольник со стороной 1. Вершина
проецируется в точку
, и
. Найдите расстояние между прямыми
и
.
Решение: Введем прямоугольную систему координат, как показано на рисунке 14.

Определим координаты точек:
![]()
Определим координаты векторов:
![]()

![]()
Знание различных подходов к решению стереометрических задач позволяет выбрать предпочтительный для любого учащегося способ, то есть тот, которым ученик владеет уверенно, помогает избежать ошибок, приводит к успешному решению задачи и получению хорошего балла на экзамене. Координатный метод имеет преимущество перед другими способами.