Тема урока: "Уравнение с двумя переменными и его график"
ЦЕЛЬ:1) Познакомить учащихся с понятием «уравнение с двумя переменными»;
2) Научить определять степень уравнения с двумя переменными;
3) Научить определять по заданной функции, какая фигура является графиком
данного уравнения;
4) Рассмотреть преобразования графиков с двумя переменными;
5) Учить учащихся «читать» графики и выполнять построение графиков по
заданному уравнению с двумя переменными, используя программу Agrapher ;
6) Развивать логическое мышление учащихся.
I.Новый материал - объяснительная лекция с элементами беседы.
(лекция проводится с использованием авторских слайдов; построение графиков выполнено в программе Agrapher)
У: При изучении линий возникают две задачи:
По геометрическим свойствам данной линии найти её уравнение;
Обратная задача: по заданному уравнению линии исследовать её геометрические свойства.
Первую задачу мы рассматривали в курсе геометрии применительно к окружности и прямой.
Сегодня мы будем рассматривать обратную задачу.
Рассмотрим уравнения вида:
а) х(х-у)=4; б) 2у-х2=-2; в) х(х+у2)= х +1.
2
- это примеры уравнений с двумя переменными.
Уравнения с двумя переменными х и у имеет вид f(x,y)=
(x,y), где f и
- выражения с переменными х и у.
Если в уравнении х(х-у)=4 подставить вместо переменной х её значение -1, а вместо у - значение 3, то получится верное равенство: 1*(-1-3)=4,
Пара (-1; 3) значений переменных х и у является решением уравнения х(х-у)=4.
То есть решением уравнения с двумя переменными называют множество упорядоченных пар значений переменных, образующих это уравнение в верное равенство.
Уравнения с двумя переменными имеет, как правило, бесконечно много решений. Исключения составляют, например, такие уравнения, как х2+( у2- 4 )2= 0 или
2х2+ у2= 0.
Первое из них имеет два решения (0; -2) и (0; 2), второе - одно решение (0;0).
Уравнение х4+ у4+3 = 0 вообще не имеет решений. Представляет интерес, когда значениями переменных в уравнении служат целые числа. Решая такие уравнения с двумя переменными, находят пары целых чисел. В таких случаях говорят, что уравнения решено в целых числах.
Два уравнения, имеющие одно и тоже множество решений, называют равносильными уравнениями. Например, уравнение х(х + у2) = х + 1 есть уравнение третьей степени, так как его можно преобразовать в уравнение ху2 + х2- х-1 = 0, правая часть которого - многочлен стандартного вида третьей степени.
Степенью уравнения с двумя переменными, представленного в виде F(х, у) = 0, где F(х,у)-многочлен стандартного вида, называют степень многочлена F(х, у).
Если все решения уравнения с двумя переменными изобразить точками в координатной плоскости, то получится график уравнения с двумя переменными.
Графиком уравнения с двумя переменными называется множество точек, координаты которых служат решениями этого уравнения.
Так, график уравнения ax + by + c = 0 представляет собой прямую, если хотя бы один из коэффициентов a или b не равен нулю(рис.1). Если a = b = c = 0, то графиком этого уравнения является координатная плоскость(рис.2), если же a = b =
0, а c
0, то графиком является пустое множество(рис.3).
График уравнения y = a х2+ by + c представляет собой параболу(рис.4), график уравнения xy=k (k
0
) - гиперболу(рис.5). Графиком уравнения х2+ у2 = r, где x и y - переменные, r - положительное
число, является окружность с центром в начале координат и радиусом равным r(рис.6). Графиком уравнения
является эллипс, где a и b - большая и малая полуоси эллипса (рис.7).
Построение графиков некоторых уравнений облегчается использованием их преобразований. Рассмотрим преобразования графиков уравнений с двумя переменными и сформулируем правила, по которым выполняются простейшие преобразования графиков уравнений
F (x, y) = 0 (см. «Приложение 1»).
1) График уравнения F (-x, y) = 0 получается из графика уравнения F (x, y) = 0 с помощью симметрии относительно оси у.
2) График уравнения F (x, -y) = 0 получается из графика уравнения F (x, y) = 0 с помощью симметрии относительно оси х.
3) График уравнения F (-x, -y) = 0 получается из графика уравнения F (x, y) = 0 с помощью центральной симметрии относительно начала координат.
4) График уравнения F (x-а, y) = 0 получается из графика уравнения F (x, y) = 0 с помощью перемещения параллельно оси х на |a| единиц (вправо, если a > 0, и влево, если а < 0).
5) График уравнения F (x, y-b) = 0 получается из графика уравнения F (x, y) = 0 с помощью перемещения на |b| единиц параллельно оси у (вверх, если b > 0, и вниз, если b < 0).
6) График уравнения F (аx, y) = 0 получается из графика уравнения F (x, y) = 0 с помощью сжатия к оси у и а раз, если а > 1, и с помощью растяжения от оси у в
раз, если 0 < а < 1.
7) График уравнения F (x, by) = 0 получается из графика уравнения F (x, y) = 0 с помощью с помощью сжатия к оси х в b раз, если b > 1, и с помощью растяжения от оси x в
раз, если 0 < b < 1.
Если график некоторого уравнения повернуть на некоторый угол около начала координат, то новый график будет графиком другого уравнения. Важными являются частные случаи поворота на углы 900 и 450.
8) График уравнения F (x, y) = 0 в результате поворота около начала координат на угол 900 по часовой стрелке переходит в график уравнения F (-y, x) = 0, а против часовой стрелки - в график уравнения F (y, -x) = 0.
9) График уравнения F (x, y) = 0 в результате поворота около начала координат на угол 450 по часовой стрелке переходит в график уравнения F
= 0, а против часовой стрелки - в график уравнения F
= 0.
Из рассмотренных нами правил преобразования графиков уравнений с двумя переменными легко получаются правила преобразования графиков функций.
Пример 1. Покажем, что графиком уравнения х2 + у2 + 2х - 8у + 8 = 0 является окружность (рис.17).
Преобразуем уравнение следующим образом:
1) сгруппируем слагаемые, содержащие переменную х и содержащие переменную у, и представим каждую группу слагаемых в виде полного квадрата трехчлена: (х2 + 2х + 1) + (у2-2*4*у + 16) + 8 - 1 - 16 = 0;
2) запишем в виде квадрата суммы (разности) двух выражений полученные трехчлены: (х + 1)2 + (у - 4)2 - 9 = 0;
3) проанализируем, согласно правилам преобразования графиков уравнений с двумя переменными, уравнение (х + 1)2 + (у - 4)2 = 32: графиком данного уравнения является окружность с центром в точке (-1; 4) и радиусом 3 единицы.
Пример 2. Построим график уравнения х2 + 4у2 = 9.
Представим 4у2 в виде (2у)2, получим уравнение х2 + (2у)2 = 9, график которого можно получить из окружности х2 + у2 = 9 сжатием к оси х в 2 раза.
Начертим окружность с центром в начале координат и радиусом 3 единицы.
Уменьшим в 2 раза расстояние каждой её точки от оси Х, получим график уравнения
х 2+ (2у) 2= 9.
Мы получили фигуру с помощью сжатия окружности к одному из её диаметров(к диаметру, который лежит на на оси Х). Такую фигуру называют эллипсом (рис.18).
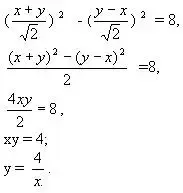
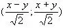
Пример 3. Выясним, что представляет собой график уравнения х 2 - у2 = 8.
Воспользуемся формулой F
= 0.
Подставим в данное уравнение
вместо Х и
вместо У, получим:

У: Что представляет собой график уравнения у =
?
Д: Графиком уравнения у =
является гипербола.
У: Мы преобразовали уравнение вида х2 - у2= 8 в уравнение у =
.
Какая линия будет являться графиком данного уравнения?
Д: Значит, и графиком уравнения х 2 - у2 = 8 является гипербола.
У: Какие прямые являются асимптотами гиперболы у =
.
Д: Асимптотами гиперболы у =
являются прямые у = 0 и х = 0.
У: При выполненном повороте эти прямые перейдут в прямые
= 0 и
=0, т.е в прямые у = х и у = - х. (рис.19).
Пример 4 : Выясним, какой вид примет уравнение у = х2параболы при повороте около начала координат на угол 900 по часовой стрелке.
Используя формулу F (-у; х) = 0, заменим в уравнении у = х2переменную х на - у, а переменную у на х. Получим уравнение х = (-у)2, т. е. х = у2(рис.20).
Мы рассмотрели примеры графиков уравнений второй степени с двумя переменными и выяснили, что графиками таких уравнений могут быть парабола, гипербола, эллипс (в частности окружность). Кроме того, графиком уравнения второй степени может являться пара прямых (пересекающихся или параллельных).Это так называемый вырожденный случай. Так графиком уравнения х2- у2= 0 является пара пересекающихся прямых (рис.21а), а графиком уравнения х2- 5х + 6 + 0у = 0- параллельных прямых.
II Закрепление.
(учащимся выдаются «Карточки-инструкции» по выполнению построений графиков уравнений с двумя переменными в программе Agrapher (Приложение 2) и карточки «Практическое задание» (Приложение 3) с формулировкой заданий 1-8 Графики уравнений к заданиям 4-5 учитель демонстрирует на слайдах).
Задание1. Какие из пар (5;4), (1;0), (-5;-4) и (-1; -
) являются решениями уравнения:
а) х2 - у2 = 0, б) х3 - 1 = х2 у + 6у ?
Решение:
Подставив в заданное уравнение, поочерёдно координаты данных точек убеждаемся, что ни одна данная пара не является решением уравнения х 2 - у2 = 0, а решениями уравнения
х3- 1 = х 2у + 6у являются пары (5;4), (1;0) и (-1; -
).
Ответ: ![]()
125 - 1 = 100 + 24 (И)
1 - 1= 0 + 0 (И)
-125 - 1 =-100 - 24 (Л)
-1 - 1 = -
-
(И)
Ответ: а)
; б) (5;4), (1; 0), (-1; -
).
Задание 2. Найдите такие решения уравнения ху2 - х2у = 12, в которых значение х равно 3.
Решение: 1)Подставим вместо Х в заданное уравнение значение 3.
2)Получим квадратное уравнение относительно переменной У, имеющее вид:
3у2- 9у = 12.
4) Решим это уравнение:
3у2- 9у - 12 = 0
Д = 81 + 144 = 225
![]()
Ответ: пары (3;4) и (3;-1) являются решениями уравнения ху2- х2у = 12
Задание3. Определите степень уравнения:
а) 2у2- 3х3+ 4х = 2; в) (3 х2+ х)(4х - у2) = х;
б) 5у2- 3у2х2+ 2х3= 0; г) (2у - х2)2 = х(х2+ 4ху + 1).
Ответ: а) 3; б) 5; в) 4; г) 4.
Задание4. Какая фигура является графиком уравнения:
а) 2х = 5 + 3у; б) 6 х2- 5х = у - 1; в) 2(х + 1) = х2- у;
г) (х - 1,5)(х - 4) = 0; д) ху - 1,2 = 0; е) х2+ у2= 9.
Ответ: а) прямая (рис.23а); б) парабола, ветви которой направлены вверх (рис.23б); в) парабола, ветви которой направлены вверх (рис.23в), г) две параллельные прямые х = 1,5 и х = 4 (рис.23г); д) гипербола (рис.23д); е) окружность, с центром в начале координат, радиусом равным 3 (рис.23е).
Задание5. Напишите уравнение, график которого симметричен графику уравнения х2- ху + 3 = 0 (рис.24) относительно: а) оси х; б) оси у; в)прямой у = х; г) прямой у = -х.
Проверьте с помощью программы Agrapher правильность выполнения задания.
Ответ: а) х3+ ху + 3 = 0 (рис.24а); б) - х3+ ху + 3 = 0 (рис.24б); в) у3- ух + 3 = 0 (рис.24в); г) (-у3) + ух +3 = 0 (рис.24г).
Задание6. Составьте уравнение, график которого получается растяжением графика уравнения у= х2-3 (рис.25):
а) от оси х в 2 раза; б) от оси у в 3 раза.
Проверьте с помощью программы Agrapher правильность выполнения задания.
Ответ: а)
у - х2+ 3 = 0 (рис.25а); б) у-(
x)2+ 3 = 0 (рис.25б).
Задание7. На рисунке (рис.29) изображен график уравнения с двумя переменными. Найдите по графику (приближенно) два решения:
а) с одинаковыми значениями х: х = 1; -2;
б) с противоположными значениями у: у =
1,
2
Ответ: а) если х = 1, то у = -2,5 или у = 2,5, если х = -2, то у = -3,5 или у = -3,5;
б если у = 2,то х = 2,если у =-2, то х =-2; если у = 1, то х = 3,5, если у = -1, то х=-3,5
Задание8. Сравните взаимное расположение данных прямых и определите, каким преобразованием плоскости график первой прямой переводится в график второй прямой.
а) 3х-7у = 5 и 3(х-1)-7у = 5
б) 3х-7у = 5 и 3(х-1)-7(у+3) =5
в) 3х-7у = 5 и 3х + 7у = 5
г) 3х-7у = 5 и -3х-7у = 5
д) 3х-7у = 5 и 3х-7у = -5
е) 3х-7у = 5 и 7х-3у = 5
Ответ: а) прямые параллельны, перемещение параллельно оси х на 1 единицу вправо (рис.26а);
б) прямые параллельны, перемещение параллельно оси х на 1 единицу вправо и параллельно оси у на 3 единицы вниз (рис.26б);
в) прямые пересекаются, симметричное отображение относительно оси х (рис.26в);
г) прямые пересекаются, симметричное отображение относительно оси у (рис.26г);
д) прямые параллельны, симметричное отображение относительно начала координат (рис.26д);
е) прямые пересекаются, поворот около начала координат на 90° по часовой стрелке и симметричное отображение относительно оси х (рис.26е).
III. Самостоятельная работа обучающего характера.
(учащимся выдаются карточки «Самостоятельная работа» и «Отчётная таблица результатов самостоятельной работы», в которую учащиеся записывают свои ответы и после самопроверки, по предложенной схеме оценивают работу) Приложение 4..
I.вариант.
1.Определите степень уравнения:
а) 5х3-3х2у2+ 8 = 0; б) (х + у + 1) 2-(х-у) 2= 2(х+у).
2. Является ли пара чисел (-2;3) решением уравнения:
а) х3+ у3-5х2 = 0; б) х4+4х3у +6х2у2+ 4ху3+ у4= 1.
3. Найдите множество решений уравнения:
х4+ у4-8х2+ 16 = 0.
4. Какой кривой (гиперболой, окружностью, параболой) является множество точек, если уравнение этой кривой имеет вид:
а) (х + 1)2+ (у-1)2= 4;
б) х2-у2= 1;
в) х - у2= 9.
(проверьте с помощью программы Agrapher правильность выполнения задания)
5. Постройте, используя программуAgrapher, график уравнения:
х2- 2х + у2- 4у = 20.
Укажите координаты центра окружности и её радиус.
6. Как следует на координатной плоскости переместить гиперболу у =
, чтобы её уравнение приняло вид
х2- у2= 16 ?
Проверьте свой ответ, выполнив графическое построение, используя программу Agrapher.
7.Как следует на координатной плоскости переместить параболу у = х2, чтобы её уравнение приняло вид х = у2- 1
II вариант.
1.Определите степень уравнения:
а)3ху = (у-х3)(х2+у); б) 2у3+5х2у2- 7 = 0.
2. Является ли пара чисел (-2;3) решением уравнения:
а) х2-у2-3х = 1; б) 8х3+ 12х2у + 6ху2+у3=-1.
3. Найдите множество решений уравнения:
х2+ у2-2х - 8у + 17 = 0.
4. Какой кривой (гиперболой, окружностью, параболой) является множество точек, если уравнение этой кривой имеет вид:
а) (х-2)2+ (у + 2)2=9
б) у2- х2=1
в) х = у2 - 1.
(проверьте с помощью программы Agrapher правильность выполнения задания)
5. Постройте, используя программуAgrapher, график уравнения:
х2+ у2- 6х + 10у = 2.
6.Как следует на координатной плоскости переместить гиперболу у =
, чтобы её уравнение приняло вид х2- у2= 28 ?
7.Как следует на координатной плоскости переместить параболу у = х2, чтобы её уравнение приняло вид х = у2+ 9.