Тема урока: "Рациональные решения квадратных уравнений". 8-й класс
Цели:
- образовательная: обобщить и систематизировать знания и умения решения квадратных уравнений;
- развивающая: формировать умения определять тип квадратного уравнения и выбирать рациональное решение по его коэффициентам;
- воспитательная: воспитывать внимательность и краткость изложения решений.
Тип урока: обобщение знаний и умений решения квадратных уравнений.
Оборудование: компьютер, интерактивная доска, карточки с заданиями, доска.
Эпиграф
Метод решения хорош, если с самого начала мы можем предвидеть - и далее подтвердить это, - что, следуя этому методу, мы достигнем цели.
(Г.Лейбниц)
ХОД УРОКА
1. Организационный момент.
Учитель настраивает учащихся на урок и даёт установку на внимательность в подходе к решению квадратных уравнений.
2. Проверка домашнего задания.
Учащиеся сдают тетради на проверку. Учитель отвечает на возникшие вопросы у учащихся.
3. Формулирование цели и задачи урока.
Рассмотрим несколько вариантов решения квадратных уравнений, сравним их и научимся выбирать рациональное решение.
4. Классификация квадратных уравнений.
На интерактивной доске учащимся представляется таблица классификации квадратных уравнений и предлагается её прокомментировать.
| Полное квадратное уравнение | Частные случаи полного квадратного уравнения | ||
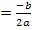
| ax2 + bx + c = 0, где х –
переменная,
a, b, c – некоторые числа, причем a D = b2 – 4ac (дискриминант); если D > 0, то уравнение имеет два корня х1 если D = 0, то уравнение имеет один корень (или ещё говорят, имеет два равных корня) х если D < 0, то уравнение не имеет корней. (D не всегда обязательно вычислять, иногда достаточно сравнить с нулём). |
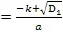
а) если b=2k, то ax2 +2kx +
c =0,
D = 4(k2 –ac) = 4D1 (дискриминант), где D1 = k2 –ac; если D1 >0, то D >0, уравнение имеет два корня х1 если D1 = 0, то D = 0, уравнение имеет один корень х
б) D > 0, если a+b+c=0, то х1 = 1; х2 = D = 0, если a+b+c=0, то х=1; в) D > 0, если a-b+c=0, то х1 = -1; х2 = D = 0, если a-b+c=0, то х = -1. |
||
| Приведенное квадратное уравнение | Частный случай приведенного квадратного уравнения | ||
| x2 + px + q = 0, если D > 0, уравнение имеет два корня и решается по теореме, обратной теореме Виета х1+х2 = -p, х1·х2 = q. | Если p – четное, D =
4( где D2 = ( D2 > 0, то D > 0, уравнение имеет два корня х1 |
||
|
Неполное квадратное уравнение |
|||
| а) ax2 + c = 0, где с если - х1 если - |
б) ax2 + bx = 0, где
b х1 = 0, х2 = - |
в) ax2 = 0; уравнение имеет один корень
х = 0. |
|
| Метод “переброски”
ax2 + bx + c = 0, для решения данного квадратного уравнения составим и решим вспомогательное квадратное уравнение путём умножения свободного члена на первый коэффициент и запишем это произведение в новом уравнении свободным членом, т.е. получим квадратное уравнение вида у2 + by + ac = 0. Полученное квадратное уравнение можно решать любым рациональным способом (как правило, по теореме, обратной теореме Виета). Его корни - у1 и у2. Корни исходного квадратного уравнения: х1 = |
|||
5. Ознакомившись с таблицей классификации, трём учащимся предлагается составить свои уравнения для каждого случая и решить их на доске с последующими комментариями.
Например:
1. 5х2 – 11х + 2 = 0;
D = b2 – 4ac = (-11)2 - 4
5·2 = 81; D >
0, уравнение имеет два корня;
х1 =
=
= 0,2;
х2 =
=
= 2.
Ответ: 0,2; 2.
2. 3х2 – 14х + 16 = 0;
D1 = k2 –ac = (-7)2 -
3
16 = 1; D > 0, уравнение имеет два корня;
х1 =
=
= 2;
х2 =
=
= 2
.
Ответ: 2; 2
.
3. 15х2 +22х - 37 = 0;
D > 0, уравнение имеет два корня;
Так как 15 + 22 – 37 = 0, то х1 = 1, х2 =
= - 2
.
Ответ: 1; - 2
.
Следующим трём учащимся предлагается аналогичное задание, но для других случаев.
4. -15х2 + 22х + 37 = 0;
D > 0, уравнение имеет два корня;
Так как -15– 22 + 37 = 0, то х1 = -1 , х2
=
= 2
.
Ответ: -1; 2
.
5. х2 – 5х + 6 = 0;
D > 0, уравнение имеет два корня;
по теореме, обратной теореме Виета х1+х2 = 5, х1·х2 = 6.
Значит, х1 = 2, х2 = 3.
Ответ: 2; 3.
6. х2 – 6х + 7 = 0;
D > 0, уравнение имеет два корня;
по формуле корней приведенного квадратного уравнения с чётным вторым коэффициентом имеем
х1
+
, х2
-
.
Ответ:
-
,
+
.
Следующему учащемуся предлагается решить квадратное уравнение методом “переброски”.
7. 5х2 + 37х - 24 = 0;
D > 0, уравнение имеет два корня;
составим вспомогательное уравнение
у2 + 37y – 120 = 0; по теореме, обратной теореме Виета у1+ у2 = -37, у1·у2 = -120.
Значит, у1 = -40, у2 = 3, тогда корни исходного уравнения
х1 = - 8, х2 =
.
Ответ: - 8,
.
6. Устные упражнения:
(учащимся предлагается прокомментировать возможные способы рационального решения квадратного уравнения).
1. 2х2 + 3х + 1 = 0; (D > 0, a – b + c = 0);
2. х2 + 5х - 6 = 0; (D > 0, a + b + c = 0);
3. 3х2 - 7х + 4 = 0; (D > 0, a + b + c = 0);
4. 5х2 + 8х + 3 = 0; (D1 > 0, значит, D > 0, a – b + c = 0);
5. у2 - 10y – 24 = 0; (D2 > 0, значит, D > 0, по формуле корней приведенного квадратного уравнения с чётным вторым коэффициентом);
6. у2 + y – 90 = 0; (D > 0, по теореме, обратной теореме Виета);
7. у2 - 8y – 84 = 0; (D2 > 0, значит, D > 0, по формуле корней приведенного квадратного уравнения с чётным вторым коэффициентом);
8. 3х2 - 8х + 5 = 0; (D1 > 0, значит, D > 0, a + b + c = 0);
9. 3х2 + 6х = 0; (неполное квадратное уравнение; случай б));
10. 4х2 - 16 = 0; (неполное квадратное уравнение; случай а));
11. 3у2 - 3y + 1 = 0; (D < 0, уравнение не имеет корней);
12. 14х2 - 5х - 1 = 0; (D > 0, метод “переброски”).
7. Творческая самостоятельная работа
(по карточкам; в двух вариантах; с последующей устной проверкой).

8. Домашнее задание.
1. Повторите таблицу классификации квадратных уравнений.
2. Решите квадратные уравнения наиболее рациональным способом:

3. Составить пять квадратных уравнений с недостающими коэффициентами.