Семинар по теме "Уравнения высших степеней. Методы их решения". 9-й класс
Основные цели:
- Закрепить понятие целого рационального уравнения -й степени
- Обучить основным методам решения уравнений высших степеней (n > 3)
- Научить по виду уравнения определять наиболее эффективный способ его решения
Формы, методы и педагогические приемы, которые используются учителем на уроке:
- Лекционно-семинарская система обучения (лекции объяснение нового материала, семинары решение задач)
- Информационно-коммуникационные технологии (фронтальный опрос, устная работа с классом)
- Дифференцированное обучение, групповые и индивидуальные формы
- Использование исследовательского метода в обучении, направленного на развитие математического аппарата и мыслительных способностей каждого конкретного ученика
- Печатный материал индивидуальный краткий конспект урока (основные понятия, формулы, утверждения, материал лекций сжато в виде схем или таблиц)
План урока:
- Организационный момент.
Цель этапа: включить учащихся в учебную деятельность, определить содержательные рамки урока. - Актуализация знаний учащихся.
Цель этапа: актуализировать знания учащихся по изученным ранее смежным темам - Закрепление, решение задач (семинар).
Цель этапа: тренировать навыки решения задач по теме "Уравнения высших степеней. Методы их решения" - Подведение итогов.
Цель этапа: еще раз выделить ключевые моменты в материале, изученном на уроке. - Домашнее задание.
Цель этапа: сформулировать домашнее задание для учащихся.
Конспект урока
1. Организационный момент.
Формулировка темы урока: "Уравнения высших степеней. Методы их решения".
2. Актуализация знаний учащихся.
Теоретический опрос беседа. Повторение некоторых ранее изученных сведений из теории. Учащиеся формулируют основные определения и дают формулировки необходимых теорем. Приводят примеры, демонстрируя уровень полученных ранее знаний.
- Понятие уравнения с одной переменной.
- Понятие корня уравнения, решения уравнения.
- Понятие линейного уравнения с одной переменной, понятие квадратного уравнения с одной переменной.
- Понятие равносильности уравнений, уравнения-следствия (понятие посторонних корней), переход не по следствию (случай потери корней).
- Понятие целого рационального выражения с одной переменной.
- Понятие целого рационального уравнения n-й степени. Стандартный вид целого.
- рационального уравнения. Приведенное целое рациональное уравнение.
- Переход к совокупности уравнений более низких степеней путем разложения исходного уравнения на множители.
- Понятие многочлена n-й степени от x. Теорема Безу. Следствия из теоремы Безу. Теоремы о корнях ( Z-корни и Q-корни) целого рационального уравнения с целыми коэффициентами (соответственно приведенного и неприведенного).
- Схема Горнера.
- Методы решения уравнений высших степеней, изложенные на лекции по данной теме/
3. Закрепление, решение задач.
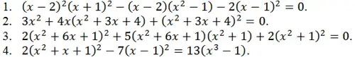
Перейдем теперь к практическому применению методов решения уравнений высших степеней, изложенных на лекции. Будем решать следующие задачи:

Возвратные, обобщенные возвратные и симметрические уравнения:

4. Подведение итогов.
Резюме: Теперь мы овладели основными методами решения различных уравнений высших степеней (для n > 3 ). Наша задача уметь эффективно использовать перечисленные выше алгоритмы. В зависимости от вида уравнения мы теперь можем определять, какой способ решения в данном случае является наиболее эффективным, а также правильно применять выбранный метод.
Домашнее задание
[1]: п.7, стр. 164-174, №№ 33-36, 39-44, 46, 47.
[4]: №№ 9.1-9.4, 9.6-9.8, 9.12, 9.14-9.16, 9.24-9.27.
Возможные темы докладов или рефератов по данной тематике:
- Формула Кардано
- Графический метод решения уравнений. Примеры решения.
- Методы приближенного решения уравнений.
Проверочные работы для учащихся по теме:
Самостоятельная работа.
Вариант 1.
Решите уравнения
- Методом группировки x3 - 7x2 - 21x + 27 = 0
- Используя Горнера 4x3 + x2 - 5 = 0
- Методом замены переменной x4 + 2x3 - 9x2 - 6x + 9 =0
- Методом замены переменной x(x - 1)(x - 2)(x - 3) = 8
- Методом замены переменной (2x - 1)2(x + 2)2 - (2x - 1)(x2 - 4) - 2(x - 2)2 = 0
- Найдите все значения b , при которых один из корней уравнения x3 + 3x2 - bx - 8 = 0 равен. Для каждого из найденных значений b определите остальные корни уравнения.
Самостоятельная работа.
Вариант 2.
Решите уравнения.
- Методом группировки 3x3 - 5x2 + 15x - 81 = 0
- Используя схему Горнера 2x3 - 3x2 - 4x + 1 = 0
- Методом замены переменной x4 + 3x3 - 8x2 - 12x + 16 = 0
- Методом замены переменной x(x + 2)(x + 3)(x + 5) = -5
- Методом замены переменной (2x + 1)4 - (2x2 + 5x + 2)2 - 12(x + 2)4 = 0
- Найдите все значения b, при которых один из корней уравнения равен -2. Для каждого из найденных значений b определите остальные корни уравнения.
Анализ усвоения материала и интереса учащихся к теме:
В качестве проверочной работы по теме "Уравнения высших степеней. Методы их решения." учащимся можно предложить приведенную выше самостоятельную работу, рассчитанную на 1 учебный час. Кроме пяти задач на основные методы решения уравнений высших степеней, для более сильных учащихся здесь дополнительно приведена шестая задача на теорему Безу. Проверка работ учащихся показывает, что материал усваивается достаточно хорошо. У отдельных учащихся затруднения обычно вызывают задача номер 5 на замену переменной с учетом однородности уравнения и задача номер 3 на обобщенное возвратное уравнение.
Опыт показывает, что интерес учащихся в первую очередь вызывает возможность подбора Z-корней и Q-корней уравнений при помощи достаточно простого алгоритма с использованием схемы Горнера. Также учащиеся интересуются различными стандартными типами замены переменных, которые позволяют существенно упрощать вид задачи. Особый интерес обычно вызывают графические методы решения. В этом случае дополнительно можно разобрать задачи на графический метод решения уравнений; обсудить общий вид графика для многочлена 3, 4, 5 степени; проанализировать, как связано число корней уравнений 3, 4, 5 степени с видом соответствующего графика. Ниже приведен список книг, в которых можно найти дополнительную информацию по данной тематике.
Список литературы:
- Виленкин Н.Я. и др. "Алгебра. Учебник для учащихся 9 классов с углубленным изучением математики" М., Просвещение, 2007 - 367 с.
- Виленкин Н.Я., Шибасов Л.П., Шибасова З.Ф. "За страницами учебника математики. Арифметика. Алгебра. 10-11 класс" М., Просвещение, 2008 - 192 с.
- Выгодский М.Я. "Справочник по математике" М., АСТ, 2010 - 1055 с.
- Галицкий М.Л. "Сборник задач по алгебре. Учебное пособие для 8-9 классов с углубленным изучением математики" М., Просвещение, 2008 - 301 с.
- Звавич Л.И. и др. "Алгебра и начала анализа. 8-11 кл. Пособие для школ и классов с углубленным изучением математики" М., Дрофа, 1999 - 352 с.
- Звавич Л.И., Аверьянов Д.И., Пигарев Б.П., Трушанина Т.Н. "Задания по математике для подготовки к письменному экзамену в 9 классе" М., Просвещение, 2007 - 112 с.
- Иванов А.А., Иванов А.П. "Тематические тесты для систематизации знаний по математике" ч.1 - М., Физматкнига, 2006 - 176 с.
- Иванов А.А., Иванов А.П. "Тематические тесты для систематизации знаний по математике" ч.2 - М., Физматкнига, 2006 - 176 с.
- Иванов А.П. "Тесты и контрольные работы по математике. Учебное пособие". - М., Физматкнига, 2008 - 304 с.
- Лейбсон К.Л. "Сборник практических заданий по математике. Часть 2 9 класс" - М., МЦНМО, 2009 184 с.
- Макарычев Ю.Н., Миндюк Н.Г. "Алгебра. Дополнительные главы к школьному учебнику 9 класса. Учебное пособие для учащихся школ и классов с углубленным изучением математики." М., Просвещение, 2006 - 224 с.
- Мордкович А.Г. "Алгебра. Углубленное изучение. 8 класс. Учебник" М., Мнемозина, 2006 296 с.
- Савин А.П. "Энциклопедический словарь юного математика" М., Педагогика, 1985 - 352 с.
- Сурвилло Г.С., Симонов А.С. "Дидактические материалы по алгебре для 9 класса с углубленным изучением математики" М., Просвещение, 2006 - 95 с.
- Чулков П.В. "Уравнения и неравенства в школьном курсе математик. Лекции 1-4" М., Первое сентября, 2006 - 88 с.
- Чулков П.В. "Уравнения и неравенства в школьном курсе математик. Лекции 5-8" М., Первое сентября, 2009 - 84 с.
