01.03.2014

Обобщающий урок по теме «Тепловые явления». Урок-игра «Своя игра». 8-й класс

Скачать презентацию (3.45 МБ)

Физика, как учебный предмет, имеет свои особенности. Она создает у учащихся представление о научной картине мира, формирует творческие способности учащихся, их мировоззрение.

Все большее значение в современном образовании приобретает личностно-ориентированная педагогика, педагогика субъект-субъектных отношений, педагогика сотрудничества. Поэтому в системе с другими формами обучения, использование которых имеет свои цели и задачи, организация игровой деятельности учащихся имеет большое значение. Игра способствует развитию наблюдательности, умению видеть необычное в знакомых вещах, задавать себе вопросы о тех явлениях, с которыми встречаются в жизни. Игровая деятельность, в которой ученику, понятны цели и доступны методы, позволяет включить в работу всех учеников, мотивировать их к изучению физики.

Игра должна способствовать решению основной учебной задачи урока, например, закреплению и применению знаний - тогда она является обучающим элементом урока.

В данной статье предлагается методическая разработка повторительно-обобщающего урока в 8 классе по теме "Тепловые явления" в форме дидактической игры "Своя игра".

Дидактическая цель: создать нестандартные условия для проверки знаний и умений обучающихся по теме "Тепловые явления".

Тип урока: Урок обобщения и систематизации знаний.

Цели урока:

  • образовательная: обобщение и повторение знаний учащихся по теме: "Тепловые явления", проверить умения применять полученные знания на практике, правильно высказывать мысли, опираясь на изученный материал.
  • воспитательная: развитие интереса к предмету, воспитание ответственного отношения к выполняемой работе, развитие коммуникационных компетенций.
  • развивающая: расширение кругозора, развитие познавательного и прикладного интереса, развитие логического и критического мышления, развитие монологической речи с применением физических терминов; развитие умения видеть физические явления в окружающем мире.

Ход урока

  1. Знакомство всех участников мероприятия с правилами игры.
  2. Проведение игры.
  3. Подведение итогов.

Необходимое оборудование: Компьютер, интерактивная доска, презентация "Своя игра", бумага и ручки для записей, сигнальные лампы для команд.

Правила игры "Своя игра"

Первый и второй раунд

1. Играют одновременно три команды.

2. Игра состоит из трех раундов (первый, второй и финальный).

3. В начале первого и второго раунда объявляются темы и стоимость вопросов (количество баллов, которые можно получить при правильном ответе на вопрос).

4. На каждый ход игры выходят игроки по одному от команды.

5. Игрок выбирает тему и стоимость вопроса, после чего ведущий зачитывает соответствующий вопрос.

6. Если игрок ответил не верно или отказался отвечать, то ответ могут дать игроки других команд.

7. Если никто из игроков не смог правильно ответить на вопрос ,то ответ может дать команда.

Финальный раунд

1. Команда делает ставку (не более заработанных в игре баллов) письменно на листочках и сдает его ведущему.

2. Ведущий озвучивает вопрос финального раунда.

3. В течении 3-5 минут команда письменно дает ответ на вопрос и сдает ответ на проверку.

4. Ведущий дает правильный ответ, комментирует ответы команды.

5. Подводятся итоги игры.

Правила оценивания

Первый и второй раунд

1.При правильном ответе "стоимость" вопроса прибавляется к баллам команды.

2.Если игрок дает не верный ответ, то баллы у него отнимаются, при отсутствии ответа - баллы не начисляются вовсе.

3. Если отвечает команда, то при правильном ответе получает половину "стоимости" вопроса, при неправильном - вычитается половину "стоимости" вопроса, при отсутствии ответа - баллы не начисляются.

4. Если правильный ответ команды не дали, отвечает ведущий или болельщики, получая за правильный ответ приз.

Финальный раунд

1.Команда делает ставку ( не более заработанных в игре баллов) письменно на листочках и сдает его ведущему.

Содержание игры

Первый раунд

1. Найди лишнее

1. На рисунке изображены термометр, весы, барометр, пробирки, мензурки.

(Ответ: пробирки, т.к. не является измерительным прибором).

2. На рисунке изображены портреты Ньютона, Галилея, Ломоносова и Крылова.

(Ответ: Крылов И.А. - не физик, баснописец).

3. Молекула, инерция, молния, радуга.

(Ответ: молекула - не физическое явление).

4. Метр(м), Ньютон(Н), секунда(с), килограмм(кг).

(Ответ: Ньютон - не основная единица СИ).

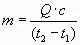
5. Даны формулы:

(Ответ: формула не верна)

2. Приборы и измерения

1. На рисунке изображен термометр. Вопрос: Этот прибор называется ------- и предназначен для измерения-------.

(Ответ: термометр, измеряет температуру тел).

2. На рисунке изображен жидкостный манометр. Вопрос: Этот прибор называется ------- и предназначен для измерения-------.

(Ответ: жидкостный манометр, измеряет разность давления в сосуде и атмосферного давления).

3. На рисунке изображен барометр-анероид. Вопрос: Этот прибор измеряет----------, показания прибора равны---------.

(Ответ: атмосферное давление, оно равно 762 мм.рт.ст.).

4. На рис изображены рычажные весы и набор гирь 10г, 5г, 2г, 500мг,100мг, 50мг. Какова масса взвешиваемого тела в граммах?

(Ответ: 17,65 г).

5. На рисунке изображен опыт по определению объема тела при помощи мензурки. Вопрос: на рисунке изображен опыт по определению----------. Измеряемая величина равна-----------.

(Ответ: опыт по определению объема тела. Объем равен 15 мл.).

3. "Отгадалки"

1. В воде не тонет, в огне не горит.
(Ответ: лед).

2. Без рук и ног, а в дом лезет.
(Ответ: тепло и холод).

3. Вокруг носа вьется, а в руки не дается.
(Ответ: запах).

4.

У планет она большая,
Минимальна у частиц.
Ее на глаз не измеряют,
Ведь у нее немало лиц.
(Ответ: масса).

5.

Никто и ничто меня не остановит
Можно только отсчитать,
Я бесконечности равняюсь,
Со Вселенною под стать.
(Ответ: время ).

4. О явлении (в стихах).

1.

Дым от костра восходит ввысь
И тает, уходя во тьму.
Ты у костра, ты приглядись:
Уходит ввысь…А почему?

(Ответ: Дым от костра плотный, его плотность меньше, чем плотность более холодного воздуха, и он поднимается вверх под действием архимедовой силы.).

2.

Если взять два разных тела
И в жидкость опустить.
Почему одно всплывает,
А другое вмиг ко дну?

(Ответ: Если у тела плотность меньше, чем у жидкости, то оно всплывает, а если больше, чем у жидкости, то тело тонет.).

3.

Во дворе мороз стоит,
Под ногами снег скрипит.
Ты подумай, расскажи,
Почему скрипит, скажи?

(Ответ: Снежинки имеют кристаллическую структуру, и поэтому под ногами снег скрипит, так как ломаются сотни тысяч снежинок-кристалликов.).

4.

Жарче день - обильней росы
Серебрят ночную тьму.
Осаждаются повсюду.
Кто ответит, почему?

(Ответ: В жаркий день испаряется больше воды, чем в обыкновенный день, и абсолютная влажность воздуха возрастает, поэтому под утро при охлаждении воздуха конденсируется больше пара, и будет обильней роса.).

5.

Если ртуть на пол прольётся,
Мигом в шарик соберётся.
Ты ответь мне, почему,
Поясни, и я пойму?

(Ответ: Несмачивающая жидкость принимает форму шара, то есть минимальную поверхность, а смачивающая жидкость растекалась бы по поверхности пола. Ртуть не смачивает дерево.).

5. Ученые-физики

1. Итальянский физик и математик. Основные физические работы в области пневматики и механики, открыл атмосферное давление, нанеся удар сложившемуся мнению о том, что "природа боится пустоты". Изобрел ртутный барометр усовершенствовал воздушный термоскоп Галилея, переделав его в спиртовой термометр. Он первый объяснил ветер вариациями атмосферного давления.

(Ответ: Эванжелиста Торричелли).

2. Один из основоположников гидростатики, установил ее основной закон (давление на поверхность жидкости, производимое внешними силами, передается жидкостью одинаково во всех направлениях). На этом законе основано действие гидравлических прессов и других гидростатических машин.

(Ответ: Блез Паскаль).

3. Древнегреческий ученый, математик и механик. Его математические работы намного опередили свое время. Пионер математической физики, один из создателей механики как науки. Ему принадлежат различные технические изобретения. С одним из его открытий мы сталкиваемся почти каждый день. Он - один из первых учёных, работавших на войну, и первая жертва войны среди людей.

(Ответ: Архимед ).

4. Великий итальянский учёный. Открыл явление инерции, установил принцип относительности движения в механике, изобрёл астрономическую трубу, с помощью которой открыл четыре спутника Юпитера, исследовал законы свободного падения тел, развивал учение Коперника о движении Земли.

(Ответ: Галилео Галилей).

5. Великий русский учёный, основатель Московского университета. Ему принадлежат выдающиеся труды по физике, химии, горному делу и металлургии. Он развил молекулярно-кинетическую теорию теплоты, в его работах предвосхищены законы сохранения массы и энергии.

(Ответ: Михаил Васильевич Ломоносов).

Второй раунд

1. Интересный факт

1. Большинство людей убеждено, что водяной пар белого цвета, и очень удивляются, слыша, что это неверно.

(Ответ :В действительности водяной пар совершенно прозрачен, невидим и, следовательно, не имеет вовсе цвета. Тот белый туман, который в обыденной жизни называют "паром", представляет собой не пар в физическом смысле слова, а воду, распыленную в мелкие капельки).

2. Известно, что в сауне температура воздуха 120-140 °C, что гораздо выше температуры кипения воды. При такой температуре можно готовить яичницу, а сырое яйцо окажется запеченным. Каким же образом человек не только выдерживает эту температуру, но и получает удовольствие?

(Ответ: С поверхности кожи происходит интенсивное испарение, что приводит к охлаждению организма. Немецкие ученые выяснили, что человек может находиться до 10 минут в очень сухой сауне при температуре 210 °C.).

3.Лед плавает в воде. Это свойство воды - аномалия в природе, замечательное исключение. Что было бы, если бы лед был тяжелее воды?

(Ответ :Произошло бы промерзание водоемов. Зимой намерзающий сверху более плотный лед тонул бы в воде, непрерывно опускаясь на дно водоема. Летом лед, защищенный толщей холодной воды, не мог бы растаять. Постепенно все озера, реки и т.д замерзли бы.)

4. Будут ли затоплены материки Мировым океаном, если весь плавающий в нем лед по каким-нибудь причинам растает

(Ответ: Уровень Мирового океана не изменится.

Нет. Вес льда равен весу воды, получившейся из него при таянии, следовательно, по закону плавания тел, вода займет объем погруженной части льда.)

5. Женщины утверждают, что вуаль греет, что без нее лицо зябнет. При взгляде на легкую ткань вуали, нередко с довольно крупными ячейками, мужчины не очень склонны верить этому утверждению, и думают, что согревающее действие вуали - игра воображения.

(Ответ: Как бы крупны ни были ячейки вуали, воздух через такую ткань проходит все же с некоторым замедлением. Тот слой воздуха, который непосредственно прилегает к лицу и, нагревшись, служит теплой воздушной маской, - слой этот, удерживаемый вуалью, не так быстро сдувается ветром, как при отсутствии ее. Поэтому нет основания не верить женщинам, что при небольшом морозе и слабом ветре лицо во время ходьбы зябнет в вуали меньше, чем без нее.)

2. Обычное вещество

1. Верно ли, что снег "греет" землю?

(Ответ: Снег"грет"землю благодаря своей низкой теплопроводности.)

2. Почему вода применяется в системах охлаждения машин?

(Ответ: Потому, что вода имеет исключительно высокую теплопроводность.)

3. Один поэт так написал о капле:

Она жила и по стеклу текла,
Но вдруг её морозом оковало,
И неподвижной льдинкой капля стала,
А в мире поубавилось тепла.
Так ли это?

(Ответ: Льдинка образуется в результате кристаллизации, а при этом энергия выделяется, значит, тепла прибавилось.)

4.

"Татьяна пред окном стояла,
На стекла хладные дыша,
Задумавшись, моя душа,
Прелестным пальчиком писала
На отуманенном стекле
Заветный вензель О да Е."
(А.С.Пушкин)

Какое физическое явление происходило, когда Татьяна дышала "на стекла хладные"?

(Ответ: Конденсация водяного пара.)

5. Почему зимой в сильные морозы реки не промерзают до дна?

(Ответ: Вода при температуре +4° С имеет наибольшую плотность и находится у дна реки. Благодаря этому прекращается конвективное перемещение воды в вертикальном направлении и дальнейшее остывание воды не происходит.)

3. Физика на кухне

1. Почему опытная хозяйка, прежде чем разливать чай по стаканам, кладет в них металлические ложки?

(Ответ: Функция ложек в данном случае предохраняющая.Попав на дно, горячая жидкость, прежде чем нагреть стекло(которое плохо проводит тепло), успевает отдать часть своего тепла хорошему проводнику- металлической ложке. Температура жидкости снижается, сглаживается неравномерность нагревания стакана, снижается опасность растрескивания стекла.)

2. Капля воды, попав на раскаленную плиту, начинает на ней прыгать. Почему?

(Ответ: Раскаленная плита, нагревая поверхность капли, образует вокруг оболочки пар. Этот пар подбрасывает каплю вверх.)

3. Почему вода, налитая на мерзлую клюкву, замерзает?

(Ответ: Температура клюквы значительно ниже 0° С. Вода отдает тепло клюкве, охлаждается и замерзает.)

4.

Ю.П. Кузнецов. Самовар

Вот самовар,
мерцающий, потливый,
Стоит со шпорой крана, как петух.
Когда самовар бывает "потливым"?

(Ответ : Когда в помещении, где стоит самовар, тепло, а вода в самоваре холодная. Влага, содержащаяся в воздухе, конденсируется на поверхности самовара в виде "пота".)

5. В кастрюле бурно кипит вода, и в ней варятся макароны. Кипит ли вода в трубках макарон?

(Ответ: Нет. Чтобы вода в макаронах кипела, ей необходимо сообщать тепло от более нагретого тела. Вода в кастрюле не может быть нагретой выше температуры кипения. Поэтому температура воды в полости макарон может лишь сравняться с температурой воды в кастрюле .)

4. Догадки Холмса

1. Была зима. Шерлок Холмс вошел в комнату с улицы. Сквозь замерзшие окна был виден лишь край дороги. "Хозяйка квартиры ленивая", - подумал он. Почему он сделал этот вывод?

(Ответ: Окна в квартире хозяйки замерзли. Значит, в пространство между рамами проник из комнаты теплый влажный воздух и, соприкасаясь с холодным стеклом, замерз на нем. Следовательно, окна плохо утеплены.)

2. Придя в гости, Шерлок Холмс подошел к окну и посмотрел в него "Ваш дом каменный и холодный"- заметил он. Что позволило ему так сказать?

(Ответ: В окно он увидел, что дом каменный и стены его тонкие; кирпич же не очень хороший теплоизолятор).

3. Хозяйка дома, где был Холмс, подошла к двери и впустила в комнату кошку. Посмотрев на кошку, Шерлок Холмс сказал: "Погода на улице холодная". Как он это определил?

(Ответ: Очевидно по шерсти , при холодной погоде шерсть, особенно пушистой , что бы в промежутках между ворсинками было больше воздуха, плохого проводника тепла.)

4. "Блины вкусны тогда, когда горячие", - сказала хозяйка, приглашая Шерлока Холмса к столу. Чтобы они дольше оставались горячими, - продолжала она, - я ставлю тарелку с блинами на плетенный из проволоки поднос. "Прошу Вас, Лучше ставить их на деревянную подставку", - посоветовал Холмс. На чем основан этот совет?

(Ответ: Теплопроводность дерева меньше, чем металла, потому на деревянной подставке тарелка остывает медленнее.)

5. "Хотите чаю?" - спросил хозяин дома Шерлока Холмса. "Да" - ответил гость. "Вот и хорошо, - сказал хозяин - Но я люблю горячий чай, потому кладу в него кусочек сахара только перед тем как пить". "Разумнее это делать раньше, сразу, как вам налили его", - посоветовал Шерлок Холмс. Прав ли он?

(Ответ: Прав. Если сахар положить сразу в горячий чай, то его температура сразу понизиться, а чем она ниже, т.е. чем меньше отличается от комнатной, тем медленнее чай остывает.)

Финальный раунд.

В каком соотношении надо взять объемы свинца и олова, чтобы их теплоемкости были одинаковы?

Необходимые справочные материалы:

Ответ:

Приложения

Похожие уроки