Урок по теме «Повторение формул тригонометрии и использование их при преобразовании выражений и решении тригонометрических уравнений». 10-й класс

Цели урока.

Образовательные:

  • закрепление сформированных умений по решению тригонометрических уравнений;
  • отработка формул тригонометрии;
  • углубление понимания методов решения тригонометрических уравнений;
  • подготовка к контрольной работе № 4.

Развивающие:

  • формировать навык проводить анализ ситуации с последующим выбором наиболее рационального выхода из нее;
  • развитие познавательного интереса учащихся.

Воспитательные:

  • воспитание познавательного интереса к учебному процессу;
  • формирование умения анализировать поставленную задачу;
  • воспитание эмоционально-положительной направленности на практическую деятельность;
  • воспитание информационной культуры учащихся.

Тип урока: урок закрепления изученного материала.

Ход урока

I. Организационный момент. Актуализация знаний.

- Сегодня - последний урок по данной теме, следующий - контрольная работа. Тригонометрические формулы необходимо знать и уверенно применять для успешного решения задач по тригонометрии.

"Дороги не те знания, которые отлагаются в мозгу, как жир; дороги те, которые превращаются в умственные мышцы" - писал Г. Спесер, английский философ и социолог. Так и знания формул необходимо не для того, чтобы всю жизнь мы упрощали выражения, решали уравнения, а для того, чтобы наш мозг постоянно трудился.

На доске написаны уравнения и начала формул, которые учитель задает в качестве дополнительных заданий ученикам, ответившим у доски: Рисунок 1.

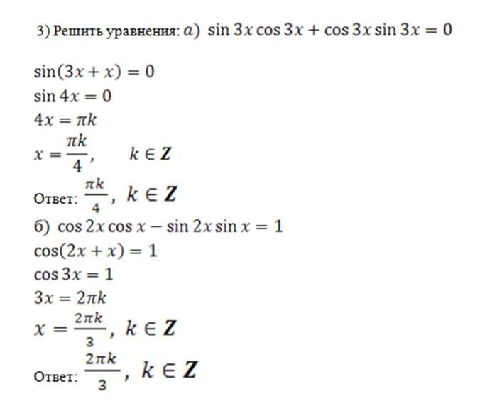
1. Проверка домашнего задания - № 480 (а, б, в, г)

Учитель: Какими формулами вы пользовались при выполнении домашнего задания?

Ученики: Формулами двойного аргумента.

Учитель (вызвал 4 человека к доске для решения ДЗ): пока ребята записывают решение ДЗ, подумайте и скажите, какие формулы надо использовать при решении записанных на доске заданий: Приложение.

(На интерактивной доске - все задания, которые предстоит решить на следующем этапе урока. Ученики выбирают и проговаривают формулы, необходимые для решения соответствующего задания). Рисунок 2.

№ 480 (а, б, в, г) (домашняя работа) Рисунок 3.

2. Подготовка к контрольной работе.

(Учитель вызывает учеников к доске, они решают, отвечают на дополнительные вопросы)

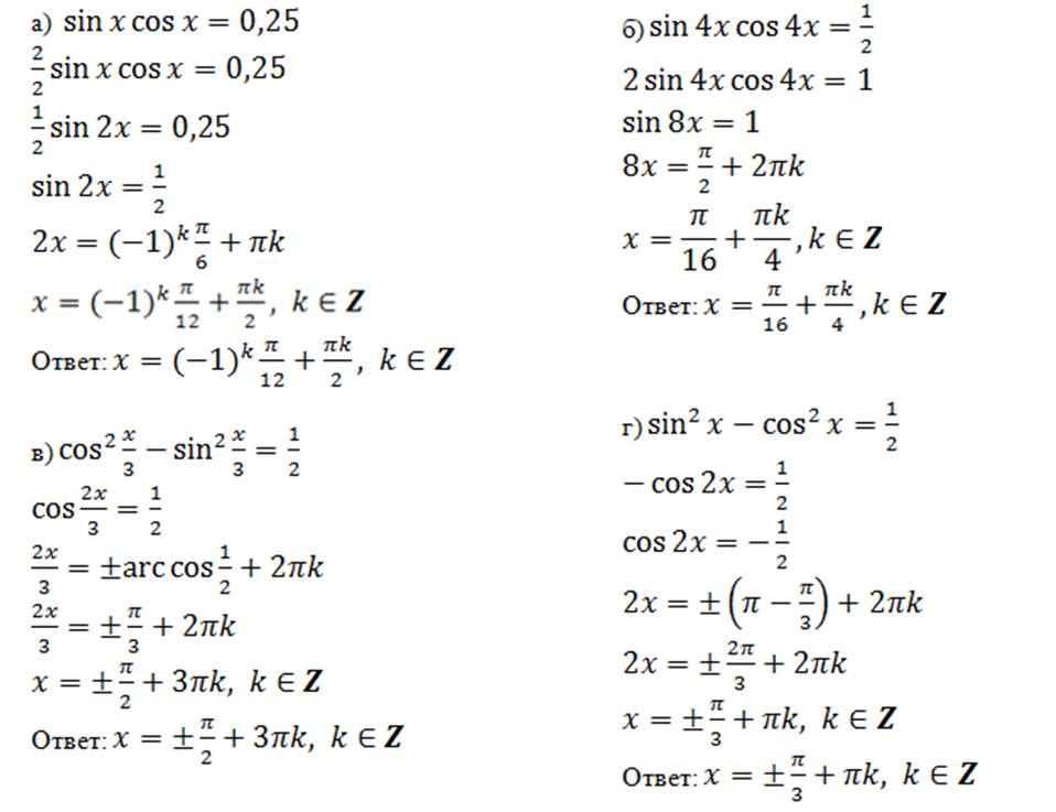
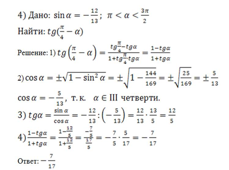
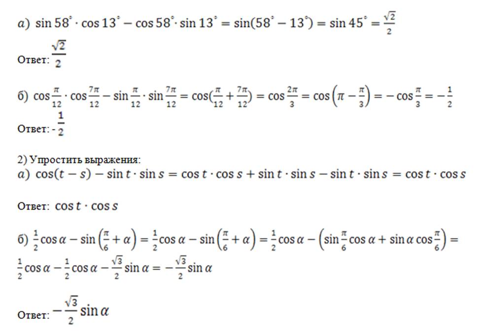
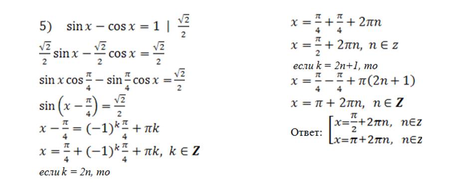
1. Найти значение выражений: Рисунок 4

Рисунок 5

Рисунок 6

Рисунок 7

3. Блиц-опрос Презентация (Приложение. Слайды 4-6)

А вы сейчас попытайтесь ответить на мои вопросы: (но … очень быстро!!!)

1. Кофункция тангенса - это? (Котангенс)

2. От чего зависит значение функции? (От аргумента)

3. Мера измерения угла? (Градус, радиан)

4. Какой функции недостает: синус, косинус, котангенс? (Тангенс)

5. Значение тригонометрических функций повторяется через? (Период)

6. y = cosx - тригонометрическая… (Функция)

7. Как называется график функции y = sinx? (Синусоида)

8. (0;?) - Что это? (Ордината)

9. Он не только в земле, но и в математике? (Корень)

10. Предложение, требующее доказательства? (Теорема)

11. Число из [0; П], косинус которого равен а? (Арккосинус)

12. Отношение противолежащего катета к гипотенузе? (Синус)

13. y = sinx - нечетная функция, y = cosx -? (Четная)

14. Функции синус, косинус, тангенс и котангенс изучаются в разделе математики, который называется… (Тригонометрия)

Немного истории…

Учитель: В начале изучения темы "Тригонометрия" вы получили задание:

Подготовить сообщение или презентацию по теме:

  1. История возникновения тригонометрии.
  2. Происхождение тригонометрических терминов.
  3. Ученые-математики, которые внесли свой вклад в развитие тригонометрии.

Краткое сообщение о возникновении и развитии тригонометрии делает один из учеников. Приложение. Слайды 7-9.

Подробно - на уроке защиты проектов.

4. Подготовка к ЕГЭ.

Мышление начинается с удивления, заметил 2500 лет назад древнегреческий ученый Аристотель, а великий педагог Сухомлинский считал, что чувство удивления - могучий источник желания знать, от удивления к знаниям один шаг, а математика - замечательный предмет для удивления.

Давайте немного удивимся.

Задание:

Сколько целочисленных решений имеет неравенство? Рисунок 8.

Не ожидали?! Да, всего три целочисленных решения.

5. Домашнее задание: № 482(а) - 486(а).

6. Самостоятельная работа. Рисунок 9.

Через 5-7 минут ученики обмениваются работами, проверяют работу соседа, ставят оценки, сдают учителю.

Критерии:

0 ошибок - "5", 1-2 ошибки - "4", 3-4 ошибки - "3", 5 и более ошибок "2".

Ответы: Рисунок 10.

Литература

  1. А.Г. Мордкович, Л.О. Денищева, Т.А. Корешкова, Т.Г. Мишустина, П.В. Семенов, Е.Е. Тульчинская. Алгебра и начала математического анализа. 10-11 классы. В 2 ч. (базовый уровень). М.: Мнемозина, 2009.
  2. Л.А. Александрова. Алгебра и начала математического анализа. 10 класс. Самостоятельные работы. Под ред. А.Г.Мордковича. М.: Мнемозина, 2009.
  3. Ш.А. Алимов. Алгебра и начала анализа. Учебник для 10 класса. М.: Просвещение, 2009.
  4. Материалы Википедии.
Приложения

Похожие уроки