Урок алгебры и начала анализа по теме «Иррациональные уравнения». 11-й класс
Цели урока:
- обобщить теоретические знания, используемые при решении иррациональных уравнений;
- организовать работу учащихся на уровне, соответствующем уже сформированных знаний.
- развить культуру научных и учебных взаимоотношений между учениками и между учениками и учителем;
- воспитание навыков совместного решения задач.
Ход урока
1. Организационный момент. Постановка цели, мотивация.
2. Актуализация опорных знаний
Проверка домашнего задания.
1. Определение иррационального уравнения.
2. Назовите иррациональные уравнения:

3. Что значит решить иррациональное уравнение?
4. Основные методы решения иррациональных уравнений.
5. Алгоритм решения иррациональных уравнений, если показатель корня чётное число
3. Фронтальная работа. Решение уравнений.
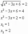
Решим уравнение “методом замены” (показывает учитель).
а) ![]()
![]()
Сделаем замену
причём ![]()
тогда 
не удовлетворяет условию ![]()
Возвращаемся к замене:
Проверка показывает, что оба корня подходят.
Ответ: 1; 2
Иногда удобно ввести не одну, а несколько переменных.
б)
(с комментированием у доски, объясняет обучаемый)
Введем обозначение
,
.
Тогда, ![]()
Выполним почленное сложение обеих частей уравнения
.
Имеем систему уравнений

Т.к. а + в = 4, то
![]()
![]()
Значит:
9 – x = 8 , х = 1.
Ответ : х = 1
в) Сейчас посмотрим, как эта тема отражена в ЕГЭ в уровне В.
Решите уравнение:
1.
- х = 2
2.
= х – 4
3.
= -х
4. х – 3 = ![]()
5. х
– 5
= 0
(Если уравнение имеет более одного корня, то в бланке ответов запишите произведение всех его корней).
4. Контроль усвоения знаний
(Проводим трехуровневую самостоятельную работу)
I вариант
| I уровень | а | б | в | г | |
| 1 | 50 | 48 | 6 | Нет корней | |
| 2 | -2 | 2 | Нет корней | 7 | |
| 3 | Нет корней | 1 | 4 | -4 | |
| I I уровень | а | б | в | г | |
| 1 | -1 | 1 | -3 | 3 | |
| 2 | 2 | 5 | 2 и 5 | Нет корней | |
| I I I уровень | а | b | в | г | |
| 1 | -2 | -2 и -1,5 | Нет корней | - 1,5 | |
| 3 | Нет корней | 2 | - 2 | 1,5 | |
II вариант
| I уровень | а | б | в | г | |
| 1 | 27 | 23 | 7 | Нет корней | |
| 2 | 11 | -15 | Корней нет | 15 | |
| 3 | 5 | Нет корней | 4 | 6 | |
| I I уровень | а | б | в | г | |
| 1 | 2 | 2 и 3 | 3 | -2 и -3 | |
| 2 | 5 | 1 | 5 и 1 | -5 и -1 | |
| I I I уровень | а | б | в | г | |
| 1 | 2,5 | -2 | 2 и 2,5 | 2 | |
| 2 | Нет корней | 7 | -7 | 5 | |
Ответы ставим в бланк для записей ответов. Проверяются работы самопроверкой, ответы записаны на обороте доски.
Для подготовки к экзаменам можно использовать интернет. На доске адреса сайтов, которые можно использовать при подготовке к ЕГЭ. Адреса напечатаны на карточках, они лежат у вас на партах. Вы можете их положить в дневник и пользоваться ими.
На последнем сайте можно найти справочный материал, формулы.
5. Подведение итогов, выставление оценок (заполняем карточки рефлексии).
6. Домашнее задание: п.33, №422(а); № 424(б), №425 (в, г)