Урок по теме "Деление дробей". 6-й класс
Тип урока: урок изучения нового и первичного закрепления новых знаний.
Цели урока:
- вывести правило деления обыкновенных дробей;
- составить алгоритм деления дробей;
- научить применять правило деления дробей при решении примеров и задач;
- развить логическое мышление и умение пользоваться математической терминологией;
- вызвать у обучающихся практический интерес к предмету;
- развивать культуру устной речи учащихся;
- устранить пробелы в знаниях учащихся по предыдущим темам.
План урока:
1) организационный момент;
2) устное повторение теоретического материала, необходимого для введения новой темы;
3) устная разминка;
4) изучение нового материала. Актуализация темы. Создание проблемной ситуации;
5) первичное закрепление нового материала;
6) физкультминутка;
7) использование нового материала при решении задач;
8) повторение ранее изученного материала. Задачи с историческим содержанием;
9) итог урока: решение теста;
10) задание на дом.
ХОД УРОКА
1. Организационный момент
Раздаются планшеты и маркеры для демонстрации результатов устных вычислений.
2. Устное повторение теоретического материала, необходимого для введения новой темы
На предыдущих уроках мы познакомились со сложением, вычитанием и умножением обыкновенных дробей, но как делить дроби мы пока не знаем. Давайте вспомним:
а) какие два числа называют взаимно обратными;
б) как записать число, обратное дроби;
в) как записать число, обратное смешанному числу;
г) какое число является обратным самому себе;
д) есть ли число, у которого нет обратного.
Ребята отвечают на заданные вопросы.
3. Устная разминка
Предлагаются следующие устные вопросы, заготовленные на слайдах для показа на интерактивной доске, часть которых взята на электронном образовательном ресурсе «Карман для математика» 6 класс, в теме «Взаимно обратные числа», автор Каратанова М.Н. МОУ СОШ№256, г.Фокино. http://karmanform.ucoz.ru/6_klass/vzaimno_obr.rar
Слайд 1 Приложения
1) замените десятичную дробь 1,3 неправильной обыкновенной;
2) запишите число, на которое надо умножить
чтобы произведение равнялось 1;
3) запишите число, на которое надо умножить 12, чтобы произведение равнялось 1;
4) запишите число, на которое надо умножить 1, чтобы произведение равнялось 1;
5) запишите число, на которое надо умножить 2,7, чтобы произведение равнялось 1.
После прочтения каждого вопроса ребята записывают маркером на планшете ответ и одновременно демонстрируют поднятые планшеты учителю. Если ответ у кого-то неверный, то устными рассуждениями добиваемся получения правильного ответа.
4. Изучение нового материала. Актуализация темы. Создание проблемной ситуации.
Пишем тему урока «Деление дробей». Решим уравнение (учитель решает вместе с классом):
• Х =
Ребята рассуждают: чтобы найти неизвестный множитель, надо произведение разделить на известный множитель, то есть пишем
Х =
:
Мы столкнулись с необходимостью делить дробь на дробь. Открываем слайд 2.
Слайд 2 Приложения
Мы видим, что частное Х равно произведению делимого и числа, обратного делителю:
![]()
Вводим вместе с ребятами правило деления обыкновенных дробей. И затем в учебнике читаем формулировку этого правила.
Затем с классом рассмотрим пример 1 из учебника «Математика 6 класс», Виленкин Н.Я и др. на стр.97 и сформулируем алгоритм деления смешанных чисел:
1) представить смешанные числа в виде неправильных дробей;
2) выполнить деление дробей.
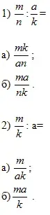
5. Первичное закрепление нового материала
Далее решаем из учебника №596 (а, е, з, л). Два ученика приглашаются к доске, а остальные решают в тетрадях. Затем №596 (б, в, ж, м) самостоятельно в тетрадях с комментированием учителем и самими учениками. Или можно воспользоваться слайдом 3, взятым на электронном образовательном ресурсе «Карман для математика» 6 класс, в теме «Деление дробей», автор Каратанова М.Н. МОУ СОШ№256, г.Фокино. http://karmanform.ucoz.ru/6_kl…
Слайд 3 Приложения
![]()
6. Физкультминутка
Прошу ребят закрыть глаза и слушать. Если моё утверждение верно, то ребята продолжают сидеть спокойно и отдыхать. Если же моё утверждение ложно, то они должны поднять обе руки.
- Чтобы разделить дробь на дробь, надо делимое умножить на число, обратное делителю (верно).
- Чтобы найти дробь от числа, надо число разделить на дробь (ложно).
- Число, обратное 0,5, есть число 5 (ложно).
- 3 • 1/3 = 1 (верно).
- Существует число, обратное нулю (ложно).
- 80% - это 0,08 (ложно).
- Число, обратное 1, равно 1 (верно).
Продолжаю урок.
7. Использование нового материала при решении задач
Решим задачу №610 из учебника. Одного ученика приглашаю к доске, остальные решают в тетрадях.
Решение: пусть Митя нашёл Х грибов, тогда Коля нашёл 1
Х грибов. Составим и решим уравнение:
![]()
Х = 28
Митя нашёл 28 грибов, а Коля 64 - 28 = 36 (грибов)
Либо можно использовать слайд 4, взятый на электронном образовательном ресурсе «Карман для математика» 6 класс, в теме «Деление дробей», автор Каратанова М.Н. МОУ СОШ№256, г.Фокино. http://karmanform.ucoz.ru/6_klass/delenie-dr.rar
Слайд 4 Приложения
Решить задачу:
В первом ящике 8кг винограда, что в 1
раза больше, чем во втором, и в 1
раза
меньше, чем в третьем. Сколько килограммов винограда в трёх ящиках?
Решение:
1) 8 : 1
= 7 (кг) - во втором ящике
2) 8 • 1
= 9 (кг) - в третьем ящике
3) 8 + 7 + 9 = 24 (кг) - в трёх ящиках
8. Повторение ранее изученного материала
Решим задачу с историческим содержанием.
Историческая справка: грандиозный пир устроил царь Алексей Михайлович 29 июня 1672г. в честь рождения сына Петра Алексеевича (будущего царя Петра I). Сотни яств подавали в Грановитой палате.
Праздничный обед завершали сладкие блюда. Сначала подали 20 блюд со сладостями. Потом появилась «коврижка большая», сделанная в виде герба Государства Московского, а потом вынесли большого орла,
вылитого из сахара. Затем внесли «сахарный Кремль с людьми пешими и конными». Подробнее об этом сладком столе рассказано в задаче: на пиру в честь рождения царевича Петра Алексеевича
на стол подали 40 блюд с конфетами. Число блюд с фруктами в сахаре составляло 3/4 от числа блюд с конфетами. Сколько блюд всего было с конфетами и фруктами?
Решение:
1) 40 •
= 30 - блюд с фруктами
2) 30 + 40 = 70 - блюд подали с конфетами и фруктами в сахаре
9. Итог урока: решение теста
Если осталось время до звонка, решаем небольшой тест. На откидной части доски уже подготовлен текст теста.
|
I вариант
1. Представить в виде дроби: 2. Выполнить действие:
|
II вариант
1. Представить в виде дроби: 2. Выполнить действие:
|
Тест выполняется в тетрадях, а буквы выбранных ответов ученики записывают на планшетах. Затем прошу поочерёдно продемонстрировать планшеты учеников, выполнявших первый вариант теста, а затем - второй. Проверяем правильность решения теста и разбираем ошибки.
10. Задание на дом
1) пункт 17 Деление. Прочитать текст учебника на стр.98 под рубрикой «Говори правильно»;
2) №633 (а-е), 640, 645.
Используемая литература:
1. Математика. Математика 6 класс Н.Я.Виленкин и др.
2. Слайды №№ 7, 9 из ЭОР «Карман для математика». Тема «Взаимно обратные числа», автор Каратанова М.Н. МОУ СОШ№256, г.Фокино. http://karmanform.ucoz.ru/6_klass/vzaimno_obr.rar
3. Слайд № 5 из ЭОР «Карман для математика». Тема «Деление дробей», автор Каратанова М.Н. МОУ СОШ№256, г.Фокино. http://karmanform.ucoz.ru/6_kl…
4. История Москвы в задачах по математике. С.С.Перли, Б.С.Перли.




