Урок по физике в 11-м классе по теме: "Трансформатор"
Цели:
- изучить назначение, устройство и принцип действия трансформатора;
- совершенствовать интеллектуальные способности и мыслительную деятельность учащихся, коммуникативные свойства речи;
- формировать материалистическое мировоззрение и нравственные качества личности.
Оборудование: трансформатор, катушка с сердечником, кольцо алюминиевое, звонок, таблицы, карточки, магнитопровод.
Демонстрации: работа трансформатора на холостом ходу, работа трансформатора с нагрузкой, явление электромагнитной индукции.
Ученик 1.
Я еще не устал удивляться
Чудесам, что есть на Земле:
Телевизору, голосу раций,
Вентилятору на столе.
Самолеты летят сквозь тучи,
Как до этих вещей могучих
Домечтаться люди могли?
Я вверяю себя трамваю,
Я гляжу на экран кино,
Эту технику понимая,
Изумляюсь ей все равно.
Ток по проволоке струится,
Спутник ходит по небесам.
Человеку стоит дивиться
Человеческим чудесам!!!
Все известно вокруг
Тем не менее,
На Земле еще много того,
Что достойно порой удивления
Твоего, и моего.
(Это стихи Шефрана о создании человеческого разума, а в основе их лежат законы физики.)
Учитель. Любому открытию сопутствует опыт, талант открывателя и даже случай. Если человек своим трудолюбием, упорством достигает истины в чем-либо, то это и есть открытие.На сегодняшнем уроке мы также попытаемся совершить небольшое открытие.
Ученик 2. Уже второй век человечество использует электрический ток в промышленных масштабах. И все эти годы используется в основном переменный ток. В странах Европы и Америки
наибольшее распространение получил ток, меняющий свое направление 100-120 раз в секунду. В России частота переменного тока 50 Гц.
Логично предположить, что переменный ток, имеет какие то преимущества перед постоянным. Разные потребители электрического тока рассчитаны на разные напряжения. Так, большинство электробытовых
приборов рассчитано на напряжение 27 и 220 В., промышленные электродвигатели на 200, 360 и 600 в.
Электрический ток никогда не получил бы такого широкого применения, если бы его нельзя было преобразовывать почти без потерь энергии.
ЭДС мощных генераторов электростанций довольно велика. При передаче электроэнергии используется напряжение в сотни киловатт. Между тем на практике чаще всего нужно не слишком высокое напряжение.
Преобразование переменного тока, при котором напряжение увеличивается или уменьшается в несколько раз практически без потери мощности ( при неизменной частоте тока), осуществляется с помощью
трансформаторов.
Трансформатор преобразует переменный ток так:
, P и v не изменяются.Первый трансформатор был изобретен в 1878 году русским ученым
П.Н.Яблочковым и усовершенствован в 1882 году другим русским ученым И.Ф.Усагиным.
Ученик 3. Биография П.Н. Яблочкова. (Рис. 2)

Рис. 2
Павел Николаевич Яблочков родился в 1847 году в семье мелкопоместного дворянина. Электротехник, изобретатель и предприниматель. Получил образование военного инженера, окончив в 1866 году
Николаевское инженерное училище. Стал сапером, но вскоре вышел в отставку. Отставной поручик увлекался электротехникой. Изучать эту область техники можно было в Офицерских гальванических классах в
Петербурге. Яблочков, вновь одевает военную форму и работает над проблемами, связанными с применением электричества в военном и гражданском деле. Он окончательно вышел в отставку и в 1873 году был
назначен начальником телеграфной службы Московско-Курской железной дороги. Он организовал мастерскую, где проводил работы по электротехнике, которые легли в основу его изобретений в области
электрического освещения, электрических машин, гальванических элементов и аккумуляторов.
К 1875 году относится одно из главных изобретений П.Н.Яблочкова - электрическая свеча, первая модель дуговой лампы. Идея создать электрическое освещение увлекла Яблочкова настолько, что он бросает
работу и на свои скромные сбережения открывает в Москве лабораторию, где проводит работы по электротехнике. В 1878 году в Париже вскоре он пришел еще к одному гениальному решению: стал питать
''русский свет'' переменным током так, как это происходит и сегодня, изобрел трансформатор. В 1879 году Яблочков организовал ''Товарищество электрического освещения'' и электромеханический завод. В
последние годы жизни Яблочков работал над созданием генераторов электрического тока, гальванических элементов. Был одним из инициаторов создания журнала ''Электричество''.
В историю отечественной науки П.Н.Яблочков вошел, как автор ''свечи Яблочкова'', ''русского света'', ''северного света'', изобретатель трансформатора. Умер П.Н.Яблочков в 1894 году.
Ученик 4. Устройство трансформатора.

Рис. 3
Трансформатор состоит: из замкнутого сердечника, изготовленного из специальной листовой трансформаторной стали. На нем располагаются две катушки с различным числом витков из медной проволоки. Одна из обмоток, называется первичной, она подключается к источнику переменного напряжения. Устройства, потребляющие электроэнергию, подключаются к вторичной обмотке, их может быть несколько.Принцип действия трансформатора. Принцип действия основан на законе электромагнитной индукции. При прохождении переменного тока по первичной обмотке в сердечнике возникает переменный магнитный поток, который возбуждает ЭДС индукции в каждой обмотке. Магнитное поле концентрируется внутри сердечника и одинаково во всех его сечениях. Мгновенное значение индукции Ei в любом витке и первичной, и вторичной обмоток одинаково: Е1 = Е2
Потери энергии при работе трансформатора:
- на нагревание обмоток;
- на рассеивание магнитного потока в пространство;
- на вихревые токи в сердечнике и на его перемагничивание.
Меры, принимаемые для уменьшения потерь:
- обмотка низкого напряжения делается большого сечения так, как по ней протекает ток большой силы;
- сердечник делают замкнутым, чтобы уменьшить рассеяние магнитного потока;
- сердечник делают пластинчатым, чтобы уменьшить вихревые токи.
Благодаря этим мерам КПД современных трансформаторов достигает 95-99%.
Это означает, что практически вся энергия тока, проходящего по первичной обмотке трансформатора, превращается в энергию индукционного тока, возникающего во вторичной обмотке. Поскольку каждый виток
первичной и вторичной обмоток пронизывает один и тот же магнитный поток, то в них возникают одинаковые ЭДС , равные по закону Фарадея для электромагнитной индукции, то:
е1 = е2 = - Ф'
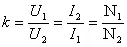
ЭДС Е1 и Е2 действующие во всей первичной или вторичной обмотках, равны произведению ЭДС в одном витке е1 или е2 на число витков в обмотке N1 и N2
Е1 = е1• N1
Е2 = е2• N2
Вывод: ЭДС, действующие в обмотках, прямо пропорциональны числу витков в них.
![]()
Сила тока в первичной обмотке трансформатора во столько раз больше силы тока во вторичной обмотке, во сколько раз напряжение в ней больше напряжения в первичной обмотке:
![]()
Если пренебречь падением напряжения на сопротивлениях обмоток, когда сопротивления малы, то можно записать отношение и для напряжений на обмотках трансформатора
![]()
Учитель: Для анализа электромагнитных процессов, происходящих в трансформаторе, рассмотрим два режима его работы.
Работа трансформатора на холостом ходу

Рис. 4
Если первичную обмотку подключить к источнику переменного напряжения, а вторичную оставить разомкнутой, (этот режим трансформатора называют холостым ходом), то тока в ней не будет, а в первичной обмотке появится слабый ток, создающий в сердечнике переменный магнитный поток. Этот поток наводит в каждом витке обмоток одинаковую ЭДС, поэтому ЭДС индукции в каждой обмотке будет прямо пропорциональна числу витков в этой обмотке.
Е ~ N
При разомкнутой вторичной обмотке напряжение на ее зажимах U2 будет равно наводимой в ней ЭДС Е2.
U2
Е2
В первичной обмотке ЭДС Е1 по числовому значению мало отличается от подводимого к этой обмотке напряжения U1, практически их можно считать равными.
U1
Е1
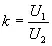
Величина, показывающая, во сколько раз данный трансформатор изменяет напряжение переменного тока, называется коэффициентом трансформации.
При подаче на первичную обмотку трансформатора какого-либо напряжения U1 на вторичной обмотке мы получаем на выходе U2. Оно будет больше первичного, если обмотка содержит больше витков, чем первичная.
Итак, если N2 > N1, то U2 > U1, коэффициент трансформации k < 1 и трансформатор называется повышающим.
Если N2 < N1 и U2 < U1, то k > 1 и трансформатор называется понижающим.
Эти формулы справедливы, если ни первичная, ни вторичная обмотки не содержат активного сопротивления R. Первичная обмотка, как правило, не содержит такого сопротивления, а вторая обмотка может его содержать. Если она все же не содержит сопротивления или им можно пренебречь, то напряжение на выходе такой обмотки равно напряжению U2.
Когда вторичная обмотка трансформатора не имеет сопротивления R2 = 0, то кпд = 100%
Апол = А затр, тогда U1 I1 t = U2 I2 t и U1 I1 = U2 I2 , то Р1 = Р2
и ![]()
следует, что
![]()
Работа трансформатора с нагрузкой. Если во вторичную цепь трансформатора включить нагрузку, то во вторичной обмотке возникает ток. Этот ток создает магнитный поток, который согласно правилу Ленца, должен уменьшить изменение магнитного потока в сердечнике, что в свою очередь, приведет к уменьшению ЭДС индукции в первичной обмотке, поэтому ток в первичной обмотке должен возрасти, восстанавливая начальное изменение магнитного потока. При этом увеличивается мощность, потребляемая трансформатором от сети. (Рис.5).

Рис. 5
Если же вторичная обмотка трансформатора имеет сопротивление вторичной обмотки R2 (говорится о длине проводников из которых изготовлена обмотка, или о материале проводника, или о
сечении и диаметре проводов обмотки), то на выходе вторичной обмотки напряжение U2' будет меньше расчетного напряжения U2 на величину падения напряжения
U = I2 • R2 на этом сопротивлении из-за потерь энергии тока на джоулево тепло. На выход (на нагрузку) Rн ''пойдет'' меньшее напряжение:
U2' = U2 -
U = U2 - I2 • R2
Потери напряжения
U находят по закону Ома для участка цепи:
U = I2
• R2, откуа ![]()
(отмечаем, что такой же ток течет и в нагрузке Rн, так как R2 и Rн соединены последовательно).
Напряжение на нагрузке по закону Ома для участка цепи сопротивлением
, тогда ![]()
Учитывая, что
можем всегда найти нужную величину напряжения или силы тока,
количество витков в катушках.
, где Ап = U2'• I2 • t ; Аз = U1 • I1 • t , то 
Использование трансформаторов. Трансформаторы используются в технике и могут быть устроены очень сложно, однако незыблемым остается принцип их действия: '' изменяющееся магнитное поле, созданное переменным током в первичной обмотке, пронизывая витки вторичной обмотки, индуцирует в ней переменный ток той же частоты, но другого напряжения''. В современных мощных трансформаторах суммарные потери энергии не превышают 2-3%.
- на заводах и фабриках при подаче напряжения к двигателям станков 380-660 В.
- при передаче электроэнергии по проводам от 100 до 1000В;
- для электросварки и электроплавки;
- в радиотехнике; и др.
Решение задач
Задача 1. Как, вы думаете, что будет, если первичную обмотку подключить к источнику постоянного тока?
Ответ: В этом случае трансформатор сгорит, так как первичная обмотка обычно имеет ничтожно малое сопротивление, и поэтому произойдет короткое замыкание.
Задача 2. Если сопротивление первичной обмотки, подключенной к источнику постоянного тока велико, то изменится ли напряжение во вторичной обмотке?
Ответ: Никакого изменения напряжения этот трансформатор дать не сможет из-за отсутствия явления электромагнитной индукции. Если такой трансформатор подключить к источнику постоянного тока, то ток пойдет по первичной обмотке и вокруг нее возникает магнитное поле, которое будет пронизывать вторичную обмотку. Т.е. магнитный поток вторичную обмотку будет пересекать, но он будет постоянным и значит скорость его изменения Ф' = 0, поэтому ЭДС индукции во вторичной обмотке Е2 = 0.
Задача 3. Сколько витков должна иметь вторичная обмотка трансформатора, чтобы повысить напряжение с 220 до 11000В, если в первичной обмотке 20 витков? Каков коэффициент трансформации?
Задача 4. Под каким напряжением находится первичная обмотка трансформатора, имеющая 1000 витков, если во вторичной обмотке 3500 витков и напряжение 105В?
Задача 5. Мощность, потребляемая трансформатором, 90 Вт. Определите силу тока во вторичной обмотке, если напряжение на зажимах вторичной обмотки 12 В и КПД трансформатора 75%.
Задача 6. Первичная обмотка понижающего трансформатора включена в сеть напряжением 220 В. Напряжение на зажимах вторичной обмотки 20В, ее сопротивление 1 Ом, сила тока 2А. Определите коэффициент трансформации и КПД трансформатора.
Задача 7. Первичная обмотка трансформатора, включенного в цепь переменного тока с напряжением 220 В, имеет 1500 витков. Определить число витков во вторичной обмотке, если она должна питать цепь с напряжением 6,3В, при силе тока 0,5 А
Нагрузка активная. Сопротивление вторичной обмотки равно 0,2 Ом.
Сопротивлением первичной обмотки пренебречь.
Задача 8. Первичная обмотка понижающего трансформатора с коэффициентом трансформации к = 10 включена в сеть переменного тока с напряжением U1 = 120 В.Сопротивление вторичной обмотки R2 = 1,2 Ом, ток в ней I2 = 5А. Найти напряжение на нагрузке трансформатора и сопротивление нагрузки. Найти число витков во Вторичной обмотке, если первичная обмотка содержит 10000 витков. Чему равен кпд этого трансформатора.
| Дано: | Решение: |
| k = 10
U1 = 120 B R2=1,2Ом J2 = 5A N1=10 000 U2' = ? N2 = ? Rн = ? кпд = ? |
Зная коэффициент трансформации трансформатора k, найдем число витков во вторичной обмотке N2 "k" показывает, во сколько раз наш понижающий трансформатор уменьшает
напряжение Напряжение в обмотках прямо пропорционально числу витков в них По закону Ома J2= R2 и RH соединены последовательно, то J2=JH по закону Ома для участка цепи сопротивления RH: J2 = Работа тока на зажимах вторичной обмотки Aпол = Работа тока в первичной обмотке Аз = U1 КПД трансформатора КПД = |
Я еще не устал удивляться