Производная показательной и логарифмической функции
Скачать презентацию (527.87 КБ)
Метод решения хорош, если с самого начала мы можем предвидеть -
и в последствии подтвердить это, - что, следуя этому методу, мы достигнем цели.
Г.Лейбниц
ТИП УРОКА: Закрепление и совершенствование знаний.
ЦЕЛИ:
- Дидактическая: Повторить и закрепить производную показательной и логарифмической функций; закрепить методы решения наибольшего и наименьшего значения функции; повторить уравнение касательной; совершенствовать применение полученных знаний при решении задач;
- Развивающая: Развитие логического мышления, памяти, познавательного интереса, продолжить формирование математической речи и графической культуры, вырабатывать умение анализировать;
- Воспитательная: Приучать к эстетическому оформлению записи в тетради, умению общаться, прививать аккуратность.
Оборудование: классная доска, компьютер, проектор, экран, карточки с заданиями теста, с заданиями для работы всех обучающихся.
Формы работы: фронтальная, индивидуальная, коллективная.
ХОД УРОКА
1. ОРГАНИЗАЦИОННЫЙ МОМЕНТ
2. ПОСТАНОВКА ЦЕЛИ
3. ПРОВЕРКА ДОМАШНЕГО ЗАДАНИЯ
- производная сложной функции;
- задания С3 из второй части ЕГЭ;

Ответ:
- работа личных кабинетов в Интернет (просмотр результатов)
4. АКТУАЛИЗАЦИЯ ЗНАНИЙ
1) Какая функция называется показательной?
2) Какая функция называется логарифмической?
3) Чему равна производная показательной функции? (
)
4) Что такое натуральный логарифм? (
)
5) Что такое число е?
6) Чему равна производная от
? (
)
7) Чему равна производная от натурального логарифма? ![]()
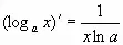
8) Чему равна производная логарифмической функций? ![]()
(на доске работает ученик с дом. работой С3)
5. УСТНАЯ РАБОТА для всех обучающихся
1. Вычислить устно:
2. Вычислить производную сложной функции (работает весь класс и записывает решение в тетрадь):
(Пока ученик работает у доски, 6-м учащимся даются карточки с аналогичными заданиями)
6. УСТНАЯ РАБОТА (вопросы)
- Общий вид уравнения касательной (
) - Чему равен угловой коэффициент касательной? (
) - Признак возрастания и убывания функции.
- Критические точки, точки экстремума и экстремумы функции.
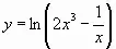
7. Устно: Дана функция
. Найти угловой коэффициент касательной, проведенной в точке с абсциссой
.
Работа всего класса (у доски и в тетради)
8. Составить уравнение касательной к графику функции
в точке с абсциссой
.
Вопрос всему классу
Какие задания, связанные с понятием "касательная" встречаются в ЕГЭ?
9. (прототип В8 - ЕГЭ) - работают устно
а) На рисунке изображен график производной функции, определенной на интервале (-5, 10). Найдите промежутки возрастания функции . В ответе укажите длину наибольшего из них.

б) На рисунке изображен график производной функции , определенной на интервале (-11, 2). Найдите точку экстремума функции на отрезке (-10, -5).

в) На рисунке изображен график производной функции, определенной на интервале
. Найдите количество точек, в которых касательная к
графику функции параллельна прямой
или совпадает с ней.

10. Вспомнить алгоритм нахождения наибольшего и наименьшего значения функции на отрезке и на промежутке.
Работа на доске и в тетради.
(прототип В14 - ЕГЭ)
а). Найдите точку минимума функции ![]()
б). Найдите наибольшее значение функции ![]()
в). Найдите наименьшее значение функции
на отрезке
.
11. Мини-тест с самоконтролем.
Тест

Ключи к тесту:
№1 №2 №3 №4 Вариант №1 5 5 -1 -6 Вариант №2 6 3 -0,5 51
Ребята меняются друг с другом работами и выступают в роли экспертов.
12. Выступление учащегося класса о создании сайта с генератором тестов.
13. ДОМАШНЕЕ ЗАДАНИЕ
Учитель поясняет домашнее задание, обращая внимание на то, что аналогичные задания были рассмотрены на уроке. Учащиеся внимательно прослушав пояснения учителя, записывают домашнее задание.
- ФИПИ (открытый банк заданий) № 26727, 26724, 77489, 245179, 245183 (В-14)
- uztest.ru (производные показательной и логарифмической функции)
- С3 - задание второй части ЕГЭ
14. ПОДВЕДЕНИЕ ИТОГОВ
Сегодня на уроке мы повторили производную показательной и логарифмической функций; закрепили методы решения наибольшего и наименьшего значения функции; повторили уравнение касательной, которые предлагаются на ЕГЭ по математике в прототипах В8 и В14.
Выставление оценок.
