Вычисление объемов тел вращения с помощью определенного интеграла
Тип урока: комбинированный.
Цель урока: научиться вычислять объемы тел вращения с помощью интегралов.
Задачи:
- закрепить умение выделять криволинейные трапеции из ряда геометрических фигур и отработать навык вычислений площадей криволинейных трапеций;
- познакомиться с понятием объемной фигуры;
- научиться вычислять объемы тел вращения;
- способствовать развитию логического мышления, грамотной математической речи, аккуратности при построении чертежей;
- воспитывать интерес к предмету, к оперированию математическими понятиями и образами, воспитать волю, самостоятельность, настойчивость при достижении конечного результата.
Ход урока
I. Организационный момент.
Приветствие группы. Сообщение учащимся целей урока.
Рефлексия. Спокойная мелодия.
- Сегодняшний урок мне бы хотелось начать с притчи. "Жил мудрец, который знал все. Один человек захотел доказать, что мудрец знает не все. Зажав в ладонях бабочку, он спросил: "Скажи, мудрец, какая бабочка у меня в руках: мертвая или живая?" А сам думает: "Скажет живая - я ее умертвлю, скажет мертвая - выпущу". Мудрец, подумав, ответил: "Все в твоих руках". (Презентация. Слайд)
- Поэтому давайте сегодня плодотворно поработаем, приобретем новый багаж знаний, и полученные умения и навыки будем применять в дальнейшей жизни и в практической деятельности. "Все в Ваших руках".
II. Повторение ранее изученного материала.
- Давайте вспомним основные моменты ранее изученного материала. Для этого выполним задание "Исключите лишнее слово". (Слайд.)

(Учащийся выходит к И.Д.с помощью ластика убирает лишнее слово.)
- Правильно "Дифференциал". Попробуйте оставшиеся слова назвать одним общим словом. (Интегральное исчисление.)
- Давайте вспомним основные этапы и понятия связанные с интегральным исчислением..
"Математическая гроздь".

Задание. Восстановите пропуски. (Студент выходит и вписывает ручкой необходимые слова.)
- Реферат о применении интегралов мы заслушаем позже.
Работа в тетрадях.
- Формулу Ньютона-Лейбница вывели английский физик Исаака Ньютона (1643-1727) и немецкий философ Готфрида Лейбница (1646-1716). И это не удивительно, ведь математика - язык, на котором говорит сама природа.
- Рассмотрим, как при решении практических заданий используется эта формула.
Пример 1: Вычислить площадь фигуры, ограниченной линиями ![]()
Решение: Построим на координатной плоскости графики функций
. Выделим площадь фигуры, которую надо
найти.

III. Изучение нового материала.
- Обратите внимание на экран. Что изображено на первом рисунке? (Слайд) (На рисунке представлена плоская фигура.)

- Что изображено на втором рисунке? Является ли эта фигура плоской? (Слайд) (На рисунке представлена объемная фигура.)

- В космосе, на земле и в повседневной жизни мы встречаемся не только с плоскими фигурами, но и объемными, а как же вычислить объем таких тел? Например объем планеты, каметы, метеорита, и т.д.
- Об объеме задумываются и строя дома, и переливая воду из одного сосуда в другой. Правила и приёмы вычисления объёмов должны были возникать, другое дело, насколько они были точны и обоснованны.
Сообщение студентки. (Тюрина Вера.)

1612 год был для жителей австрийского города Линц, где жил тогда известный астроном Иоганн Кеплер очень урожайным, особенно на виноград. Люди заготовляли винные бочки и хотели знать, как практически определить их объёмы. (Слайд 2)

- Таким образом, рассмотренные работы Кеплера положили начало целому потоку исследований, увенчавшихся в последней четверти XVII в. оформлением в трудах И. Ньютона и Г.В. Лейбница дифференциального и интегрального исчисления. Математика переменных величии заняла с этого времени ведущее место в системе математических знаний.
- Вот сегодня мы с вами и займемся такой практической деятельностью, следовательно,
Тема нашего урока: "Вычисление объемов тел вращения с помощью определенного интеграла". (Слайд)
- Определение тела вращения вы узнаете, выполнив следующее задание.
"Лабиринт".
Лабиринт (греческое слово) означает ход в подземелье. Лабиринт- запутанная сеть дорожек, ходов, сообщающихся друг с другом помещений.
Но определение "разбилось", остались подсказки в виде стрелок.

Задание. Найдите выход из запутанного положения и запишите определение.
Слайд. "Карта инструктаж" Вычисление объемов.
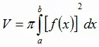
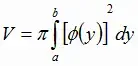
При помощи определенного интеграла можно вычислить объем того или иного тела, в частности, тела вращения.
Телом вращения называется тело, полученное вращением криволинейной трапеции вокруг ее основания (рис. 1, 2)

Объем тела вращения вычисляется по одной из формул:
1.
, если вращение криволинейной трапеции вокруг оси ОХ.
2.
, если вращение криволинейной трапеции вокруг оси ОУ.
Карту инструктаж получает каждый студент. Преподаватель подчеркивает основные моменты.
- Преподаватель объясняет решение примеров на доске.
Пример.
Рассмотрим отрывок из известной сказки А. С. Пушкина "Сказка о царе Салтане, о сыне его славном и могучем богатыре князе Гвидоне Салтановиче и о прекрасной царевне Лебеде" (Слайд 4):

…..
И привез гонец хмельной
В тот же день приказ такой:
"Царь велит своим боярам,
Времени не тратя даром,
И царицу и приплод
Тайно бросить в бездну вод".
Делать нечего: бояре,
Потужив о государе
И царице молодой,
В спальню к ней пришли толпой.
Объявили царску волю -
Ей и сыну злую долю,
Прочитали вслух указ,
И царицу в тот же час
В бочку с сыном посадили,
Засмолили, покатили
И пустили в окиян -
Так велел-де царь Салтан.
(Слайд 5):

Какими же должен быть объем бочки, чтобы в ней поместились царица и её сын?
- Рассмотрим следующие задания
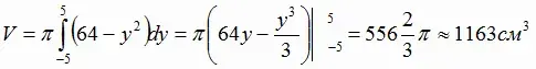
1. Найти объем тела, получаемого вращением вокруг оси ординат криволинейной трапеции, ограниченной линиями: x2 + y2 = 64, y = -5, y = 5, x = 0.
Решение.


Ответ : 1163 cm3.
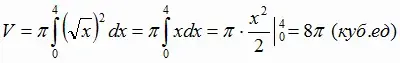
Найти объем тела, получаемого вращением параболической трапеции, вокруг оси абсцисс y =
, x = 4, y = 0.
Решение .

IV. Закрепление нового материала
Пример 2. Вычислить объем тела, образованного вращением лепестка, вокруг оси абсцисс y = x2, y2 = x.
Решение .

Построим графики функции. y = x2, y2 = x. График y2 = x преобразуем к виду y =
.
Имеем V = V1 - V2 Вычислим объем каждой функции

- Теперь, давайте, рассмотрим башню для радиостанции в Москве на Шаболовке, построенной по проекту замечательного русского инженера, почётного академика В. Г. Шухова. Она состоит из частей - гиперболоидов вращения. Причём, каждый из них изготовлен из прямолинейных металлических стержней, соединяющих соседние окружности (рис.8, 9).

- Рассмотрим задачу.
Найти объем тела, получаемого вращением дуг гиперболы
вокруг ее мнимой оси, как показано на рис. 8, где
![]()
Решение.
куб. ед.
Задания по группам. Учащиеся вытягивают жребий с задачами, рисунки выполняют на ватмане, один из представителей группы защищает работу.
1-я группа.
Удар! Удар! Ещё удар!
Летит в ворота мячик - ШАР!
А это- шар арбузный
Зелёный, круглый, вкусный.
Вглядитесь лучше - шар каков!
Он сделан из одних кругов.
Разрежьте на круги арбуз
И их попробуйте на вкус.

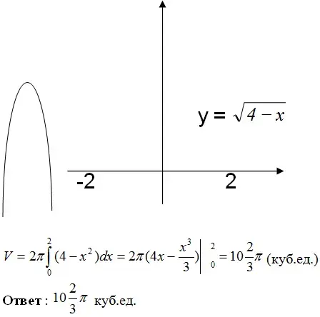
Найти объем тела, получаемого вращением вокруг оси ОХ функции, ограниченную ![]()
Решение.
Ошибка! Закладка не определена.

- Скажите, пожалуйста, где мы встречаемся с данной фигурой?
Дом. задание для 1 группы. ЦИЛИНДР (слайд) .
"Цилиндр - что такое?" - спросил я у папы.
Отец рассмеялся: Цилиндр - это шляпа.
Чтобы иметь представление верное,
Цилиндр, скажем так, это банка консервная.
Труба парохода - цилиндр,
Труба на нашей крыше - тоже,

Все трубы на цилиндр похожи.
А я привёл пример такой -
Калейдоскоп любимый мой,
Глаз от него не оторвёшь,
И тоже на цилиндр похож.
- Задание. Домашняя работа составить график функции и вычислить объем .
2-я группа. КОНУС (слайд).

Сказала мама: А сейчас
Про конус будет мой рассказ.
В высокой шапке звездочёт
Считает звёзды круглый год.
КОНУС - шляпа звездочёта.
Вот какой он. Понял? То-то.
Мама у стола стояла,
В бутылки масло разливала.
- Где воронка? Нет воронки.
Поищи. Не стой в сторонке.
- Мама, с места я не тронусь,
Расскажи ещё про конус.
- Воронка и есть в виде конуса лейка.
Ну-ка, найди мне её поскорей-ка.
Воронку я найти не смог,
Но мама сделала кулёк,
Картон вкруг пальца обкрутила
И ловко скрепкой закрепила.
Масло льётся, мама рада,
Конус вышел то, что надо.
Задание . Вычислить объем тела полученный вращением вокруг оси абсцисс

Дом. задание для 2-й группы. ПИРАМИДА (слайд).

Я видел картину. На этой картине
Стоит ПИРАМИДА в песчаной пустыне.
Всё в пирамиде необычайно,
Какая-то есть в ней загадка и тайна.
А Спасская башня на площади Красной
И детям, и взрослым знакома прекрасно.
Посмотришь на башню - обычная с виду,
А что на вершине у ней? Пирамида!

Задание. Домашняя работа составить график функции и вычислить объем пирамиды
Вывод.
- Объёмы различных тел мы вычисляли опираясь на основную формулу объёмов тел с помощью интеграла.
Это является ещё одним подтверждением того, что определённый интеграл есть некоторый фундамент для изучения математики.
- Ну а теперь давайте немного отдохнем.
Найди пару.
|
![]() |
Математическое домино мелодия играет.

"Дорога та, что сам искал, вовек не позабудется…"
Исследовательская работа. Применение интеграла в экономике и технике.
Тесты для сильных учащихся и математический футбол.
Математический тренажер.

2. Совокупность всех первообразных от данной функции называется
А) неопределенным интегралом,
Б) функцией,
В) дифференциацией.

7. Найти объем тела, получаемого вращением вокруг оси абсцисс криволинейной трапеции, ограниченной линиями:

Д/З. Вычислить объемы тел вращения.
Рефлексия.
Приём рефлексии в форме синквейна (пятистишия).
1-я строка - название темы (одно существительное).
2-я строка - описание темы в двух словах, два прилагательных.
3-я строка - описание действия в рамках этой темы тремя словами.
4-я строка - фраза их четырёх слов, показывает отношение к теме (целое предложение).
5-я строка - синоним, который повторяет суть темы.
- Объем.
- Определенный интеграл, интегрируемая функция.
- Строим, вращаем, вычисляем.
- Тело, полученное вращением криволинейной трапеции (вокруг ее основания).
- Тело вращения (объемное геометрическое тело).
Вывод (слайд).
- Определенный интеграл - это некоторый фундамент для изучения математики, которая вносит незаменимый вклад в решение задач практического содержания.
- Тема "Интеграл" ярко демонстрирует связь математики с физикой, биологией, экономикой и техникой.
- Развитие современной науки немыслимо без использования интеграла. В связи с этим, начинать его изучение необходимо в рамках средне специального образования!
Выставление оценок . (С комментированием.)
Великий Омар Хайям - математик, поэт, философ. Он призывает быть хозяевами своей судьбы. Слушаем отрывок из его произведения:
Ты скажешь, эта жизнь - одно мгновенье.
Её цени, в ней черпай вдохновенье.
Как проведёшь её, так и пройдёт.
Не забывай: она - твоё творенье.

