Объем цилиндра
Скачать презентацию (9.06 МБ)
«Единственный путь, ведущий к знанию - это деятельность»
Б. Шоу
Цели урока:
обучающие цели:
- обобщить знания об объемах тел;
- повторить формулы для вычисления объема прямоугольного параллелепипеда, призмы
- закрепить практические навыки вычисления объемов тел;
- расширить знания в области математики, показать её прикладной характер;
развивающие цели:
- развитие познавательного интереса, логического мышления, пространственного воображения и исследовательских способностей;
- развитие вычислительных навыков, ключевых компетенций, умений сравнивать, анализировать, аргументировать сделанный выбор;
воспитательные цели:
- воспитание ответственности, умения работать в коллективе, принимать самостоятельные решения;
- показать значимость знаний, возможность их применения на практике.
Тип урока: урок комплексного применения знаний.
Оборудование: макеты многогранников, карточки-задания, презентация, оргтехника, бланки рефлексии.
Ход урока
| № п/п | Содержание | Этапы урока | № слайда |
| I | Организационный момент (деление на группы, объявление темы, условий проведения урока, оценивания учащихся). | 1 | |
| II | Актуализация опорных знаний (работа по карточкам, задание из открытого банка заданий ЕГЭ). | 1. Решение заданий В11 | 5-8 |
| 2. «Самые смелые, умелые» | |||
| 3.Решение задач с практическим содержанием | |||
| III | Изучение нового материала (формулировка и изучение теоремы об объеме цилиндра). | «Знание - сила» | 12-14 |
| IV | Применение полученных знаний (решение задач на интерактивной доске и в тетради учащихся). | «Умники и умницы» | 15-19 |
| V | Проверка знаний по изучаемой теме. | «Эврика!» | 20-26 |
| VI | Информация о домашнем задании, подведение итога урока. Рефлексия. | 27-28 |
I. Организационный момент (2 минуты)
Подготовка к уроку: класс разделен на 4 группы.
Объявление темы урока
Тихо звучит приятная музыка .(Приложение №3) Зажигается свет. Включается проектор. На экране (слайд): гостиная в доме 221-б на Бейкер-стрит. На сцене: Шерлок Холмс сидит в кресле и просматривает вечернюю газету. Входит Ватсон. (Слайд 1) (.Презентация)
Холмс. Здравствуйте, друг мой, Ватсон. Я вижу, вы решили на время забыть о медицине и заняться геометрией.
Ватсон. Но как вы узнали?

Холмс. У вас из кармана торчит номер вчерашней газеты с заданиями В11 из открытого банка заданий ЕГЭ по математике. Видно, что вы извели немало чернил, потратили много драгоценных минут, пытаясь решить хотя бы одну из них. Ведь общий уровень геометрической (особенно стереометрической) подготовки выпускников 2012 года по-прежнему остается низким. В Магдагачинском районе он 29%.
Ватсон. Однако с чего вы взяли, Холмс, что я не решил ни одной задачи? Хотя правда, так оно и есть. Я ничего не смог решить.
Холмс. Не обижайтесь, дорогой Ватсон. Кстати, все задачи решаются практически одинаково, если к ним, конечно, правильно подойти и применить нужные формулы и приемы для решения. Правда, я не видел еще задач В11, но… Впрочем, давайте вместе посмотрим.
II. Актуализация знаний
Решение заданий В11
Слайды 2-5 - Решают задачи из части В11 открытого банка.
Девиз этого урока «Единственный путь, ведущий к знанию - это деятельность» Б. Шоу
Слайд 6
Учитель: Перед нами стоит задача проверить прочность наших знаний и умений решать задачи с практическим содержанием и получить новые знания.
Учитель математики. Что нужно для того, чтобы правильно решить задачу с практическим содержанием? Нужно знать необходимые формулы и уметь ими пользоваться.
2) «Самые смелые, умелые»: До урока готовят задания на доске
1 человек - доказывает теорему об объеме призмы, в основании которой лежит прямоугольный треугольник
2 человек - доказать теорему об объеме п-угольной призмы
3 человек - формулы площадей многоугольников (определение призмы, ее элементов)
4 человек - формулы связи сторон и радиусов вписанной и описанной окружности около правильного многоугольника
5 человек - записывает связи радиусов вписанного и описанного правильного многоугольника (схема)
6 человек - домашнее задание объясняет сканированный вариант рабочей тетради
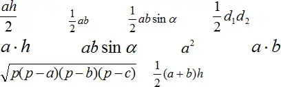
ИТОГ: Назовите и запишите формулы объемов треугольной призмы, п-угольной призмы, призмы в основании которой лежит прямоугольный треугольник, , параллелепипеда, (Vпризмы = Sосн.· h,Vпарал. = abc или Vпарал. = Sосн· h
- 1. Какие величины повторяются во всех перечисленных формулах? (Высота)
- Покажите высоту на прямой призме.
- Можно ли параллелепипед назвать призмой? А куб? (Да, это частные случаи призмы)
- Дайте определение понятия объема;
- Сформулируйте основные свойства объема.
- Назовите стандартные единицы измерения объемов.
- Какие фигуры могут быть в основании призмы? (Треугольник, квадрат, ромб, прямоугольник, параллелограмм, трапеция и др. плоские фигуры) А какой нет. Круг!
- Может ли в основании параллелепипеда быть трапеция? (Нет, потому, что параллелепипед - это призма в основании которой - параллелограмм)
- Рассмотрите многоугольники, представленные на доске. Эти многоугольники могут лежать в основании рассмотренных нами многогранников.
Дано: треугольная призма, а=4см, в=5см, с=7см, H=h, h - большая высота основания.

Найти: V.
Решение.
V= SоснН
По формуле Герона, найдем ![]()
Sосн.=
= 4
Наибольшая высота треугольника является та, которая проведена к наименьшей стороне. Используем метод площадей.
S=
,
=
, h=
, V= 48
Ответ: V= 48см3.
1 вариант выполняет задание на соответствие
2 вариант
Выполняет задания из части В11 ЕГЭ (приложение 5)
- повторение формул для вычисления площадей геометрических фигур;
Задание: установить соответствие формул площадей с геометрическими фигурами.(приложение 4)

Добавьте недостающие
У доски: 1 человек
Задание на соответствие: Поставить в соответствие многоугольнику формулу
![]()
Формулы для вычисления площадей многоугольников

К инспектированию мы готовы, только практически подготовленный специалист способен инспектировать другого. Вам предстоит сегоднявыполнять роль надзорного органа.
3) «Знание - сила». Решение задач с практическим содержанием
Найдите «Оценочный лист».(приложение 6) Выберите ответственного из группы, кто будет заполнять его. Заполните 1 столбец, напишите фамилии учащихся вашей группы. В течение нашего урока в нем будете отмечать работу членов группы.
Первая группа:«Служба инспекторов Роспотребнадзора» (слайд 7)
(выбирается «главный специалист», который излагает содержание задачи и делает заключение по итогам решения).
Содержание задачи: Классное помещение должно быть таким, чтобы на одного учащегося приходилось не менее 6м3 воздуха. Можно ли в кабинете с параметрами а = 8,5 м, b = 6м, с = 3,6 м заниматься 30 учащимся, не нарушая санитарной нормы?
Решение:
V = аbс или V = Sосн.· h
V = 8,5 · 6 · 3,6 = 183,6(м3)
183,6 : 30 = 6,12(м3) воздуха приходится на одного учащегося.
Заключение эксперта:
Да, в кабинете можно заниматься 30 учащимся.
Вторая группа: «Служба РОСМЕТЕО»(слайд 8)(1 человек выполняет задание на ноутбуке)(приложение 1)
(выбирается «старший метеоролог», который излагает содержание задачи и делает заключение по итогам решения)
Содержание задачи: Суточное выпадение осадков составило 20 мм. Сколько воды выпало за сутки на треугольную (правильный треугольник) клумбу со стороной 6м?
Решение:
Клумба представляет собой геометрическую фигуру - прямую треугольную призму, где h = 20мм, тогда V = Sосн. · h
- Sосн. =

- h = 20 мм, 1 м = 1000 мм, 1мм = 0,001 м, тогда h = 0,02м
- V = 15,3 · 0,02 = 0,306(м3) = 306(дм3)
- 1дм3 = 1 л (воды), тогда 306дм3 = 306 литров воды
Заключение «старшего метеоролога»:
За сутки на клумбу выпало 306 литров осадков.
Третья группаИнспекторы РОСТЕХНАДЗОРА(слайд 9)
Цель: Проверить качество строительно - монтажных работ.
Задача:Для прочности фундамента дома размером 6
в фундамент заливается каркас размером
. Сколько потребуется цемента для прочности такого фундамента?(Плотность цемента 1800-2800 ![]()
Пока учащиеся высказывают свои предположения, один из них выходит к доске, делает соответствующие измерения и вычисляет правильный результат. Учащиеся соотносят свои предположения с этим результатом, проверяя тем самым качество своего глазомера.
Для слабых: Какие геометрические фигуры встречаются на вашем рабочем месте?
У каждого на столе модель многогранника.
Задание: Сделайте необходимые измерения, вычислите на листочке объем данной фигуры.
(Предварительно записать на листочке номер фигуры и ее название).
4 группаТЕХНОЛОГИ (слайд 10)
В современном автомобиле множество запчастей. Само собой, что по ряду причин иногда они ломаются. Самое досадное в данной ситуации то, что наряду с высокой ценой их довольно проблематично купить, даже под заказ. Может,конечно, повезти и нужная запчасть найдется на авторазборке, но чтобы не зависеть от случая будет не лишним освоить их ремонт в «домашних условиях». Первым делом необходимо определится, из какого материала изготовлена наша деталь.
Технологам выдать техническую характеристику материалам

«Сделать соответствующие измерения и определить, из какого материала изготовлен брусок»
Измерительными приборами найти необходимые размеры для нахождения объема. Затем физическими. С помощью физического прибора проверить найденный объем. Измерив массу. Вычислите плотность. По таблице плотности определите материал из которого изготовлена призма.
Приборы и материал: рычажные весы, набор грузов, линейка, брусок (прямоугольный параллелепипед)
| Твердое тело | ρ, кг/ м3 | ρ, г/ см3 | Твердое тело | ρ, кг/м3 | ρ, г/см3 |
| Олово | 7300 | 7,3 | Парафин | 900 | 0,90 |
| Железо | 7874 | 7,874 | Лед | 900 | 0,90 |
| Чугун | 870 - 920 | 8,7 - 9,2 | Дуб (сухой) | 700 | 0,70 |
| Парафин | 4000 | 4,0 | Сосна (сухая) | 400 | 0,40 |
| Алюминий | 2700 | 2,7 | Пробка | 240 | 0,24 |
| Бетон | 1800-2800 | 1,8 - 2,8 | Дерево (ель) | 800 | 0,8 |
| Текстолит | 1300-1500 | 1,3-1,5 | Резина | 1100 | 1,1 |
Задача.
Дано: m=21,3 г, a=4см, в=2,5 см, с=0,8 см.
Найти: ![]()
Решение.
V=abc
=2,7 (г./см3)
Используем таблица плотностей.Ответ: брусок изготовлен из алюминия и текстолита.
Затем выслушиваются группы.(Слайды 11, 12, 13)
Назовите нестандартные единицы измерения объемов. Для каких тел они применимы? Для круглых. Мы умеем вычислять их объемы? Нет.
Вы, будущие работники различных предприятий не раз столкнётесь с ними в своей профессиональной сфере.
Итак, представьте себе такую ситуацию: Вам необходимо отправить Новогодний подарок своим родным. Сколько необходимо купить конфет для данных упаковок? (Слайд 14)
От чего будет зависеть масса покупки?. Что необходимо для этого знать? Скажите, какая проблема из этого вытекает?
Резюмируя ваши высказывания, сформулируем проблему: для этого необходимо знать объемы этих упаковок? Можно ли предположить, что их объемы одинаковы? Нет, т.к. основания призмы и цилиндра с одинаковыми высотами отличаются. Мы знаем, что при выводе формулы площади круга мы использовали прием, описывали и вписывали многоугольник в круг. Повторим определение цилиндра и его элементы: (Слайд 15, 16)
III. Третий этап: «Знание - сила»
Объем призмы мы можем определить, а цилиндра нет. Если сопоставить формы цилиндра и призмы, то можно ли предположить, что и объем цилиндра тоже можно найти по формуле ![]()
Чтобы разрешить эту проблему вы самостоятельно рассмотрите пункт учебника.
На этом этапе учащиеся самостоятельно изучают по учебнику доказательство теоремы
IV. Изучение нового материала (формулировка и изучение теоремы о нахождении объема цилиндра)
Учитель: Начинаем 3 этап «Знание - сила» (Слайд 17)
Учитель: Сформулируем теорему об объеме цилиндра
Пока учащиеся заняты изучением теоремы, учитель проверяет запись ответов на тест и соответствие. Так же учитель выставляет баллы за ответы командам в подготовленную таблицу.
V. Применение полученных знаний
Решение задачина интерактивной доске и в тетради учащихся (Слайд 18)
Выполнение практической работы
Найти объемы фигур, сделав нужные измерения
Вычислите объемы цилиндров практически и теоретически (Слайд 19) , с помощью формулы. Сравните полученные результаты. Найдите массу их. Вычислите плотность. По таблице плотностей определите из какого материала они изготовлены. (Слайд 20)
Заслушиваются ответы.
Физкультминутка. Разминка для глаз.
Голову держите прямо, не запрокидывайте. Взгляд направлен вверх (в потолок), а теперь глаза вниз, вверх. Повторить 4-5 раз.
Посмотреть влево: глаза смотрят на стену. Посмотреть вправо: глаза смотрят на другую стену. Повторить 4-5 раз.
Не поворачивая головы, глазами плавно описать восьмерку или знак бесконечности. Несколько раз в одну и несколько раз в другую. Стараться чаще моргать. Повторите 3-4 раза.
Не поворачивая головы, глазами описать окружность. Делать плавно, со временем увеличивая скорость. Повторить 4-5 раз.
Пока учащиеся заняты изучением теоремы, учитель проверяет запись ответов на тест и соответствие. Так же учитель выставляет баллы за ответы командам в подготовленную таблицу.
VI. Применение полученных знаний.
Решение задач на интерактивной доске и в тетради учащихся (14 минут)
Четвертый этап «Умники и умницы»
Учитель: Переходим к следующему этапу, который называется «Умники и умницы». С использованием слайдов проводится решение задач. По 2 задачи на карточках выполняют задания типа В11
Задача №1-2 [1](Слайд 21)
Задача №3-4[2] (Слайд 22)
Задача № 5-6[3] (Слайд 23)
Задача № 7-8[4] (Слайд 24)
VII. Подведение итогов (7 минут)
Сейчас будет последний этап. Он называется «Эврика!». (Слайд 25) Это интерактивныйтест(приложение 2)по изученной теме выполняется на интерактивной доске и 2 человека работают сами (6 минут).
Рефлексия. «Пространство личностного роста» (слайд 26)

- Постройте 8 осей, которые будут отражать уровень вашего участия в различных этапах урока.
- Условно разбейте каждую ось на 3 единичных отрезка.
- Обозначьте на ней точкой собственный достигнутый результат.
- Последовательно соедините точки отрезками.
- Получилось пространство Вашего личностного развития на уроке.
Чем больше получившаяся область, тем лучше.
Смысл этого приема можно выразить следующими словами: «Я пишу для того, чтобы понять, что я знаю, что я думаю». Это свободное письмо на заданную тему, в котором ценится самостоятельность, проявление индивидуальности, дискуссионность, оригинальность решения проблемы, аргументации.
Домашнее задание:Написать эссе - «Математика в моей будущей профессии» или по изученной теме. (слайд 27)
Пример: Позвольте представиться, я - формула объема цилиндра. Со дня моего открытия помогаю людям решать геометрические задачи.
Моя формулировка звучит так: «Объем цилиндра равен произведению площади основания на высоту».
Я помогаю решать задачи по нахождению объема цилиндра, могу определить как изменится объем если изменить его высоту, как изменится объем если изменить его площадь основания.
К сожалению, моя формулировка проста, поэтому ученики стараются реже использовать в решении задач эту формулу, что очень обидно. Я надеюсь, что ученики осознают мою безусловную важность и станут чаще ее применять при решении задач, а иначе вы не сможете выполнить задание В 11 на ЕГЭ.
Итог урока: Обращение к афоризмам считаю важным и ненавязчивым воспитательным моментом урока.
Наш урок доказал возможность расширения внутришкольных предметных рамок. Обычно на одном уроке мы изучаем в основном предметные вопросы.
А в жизни - наоборот решаются вопросы разных областей знаний.
«Когда мы стремимся искать неизвестное, то становимся лучше, мужественнее и деятельнее тех, кто считает, что неизвестное нельзя найти и нечего искать» Пусть эта мысль Платона сопутствует Вам на жизненном пути.(Слайд 28)
Литература
- Статья В.А. Руденко «О завершеньи урока замолвите слово» Ж/л «Математика. Все для учителя» №11(23)
- Крейдлин Г. Е., Шмелёв А. Д. Математика помогает лингвистике: Кн. для учащихся. - М.: Просвещение, 1994.
- Шестаков С. А., Гущин Д. Д. ЕГЭ 2010. Математика. Задачи В11. Рабочая тетрадь / Под ред. А. Л. Семёнова и И. В. Ященко, - М.: МЦНМО, 2012.