Решение задач с параметрами
В последние годы в школьной практике обучения математики наблюдается значительное повышение интереса к задачам с параметрами. Эти задачи формируют широту кругозора и являются мощным стимулом познавательного интереса (при рассмотрении задач с параметрами есть повод заметить, что большинство математических моделей различного рода явлений - физических, экономических и т. д. - по сути своей являются моделями параметрическими). Они развивают умение выдвигать прогноз, строить гипотезу (поскольку часто необходима предварительная прикидка качественного характера решения).
Безусловно, решение задач с параметрами является одним из мощных инструментов формирования мышления вообще и математического в частности, поскольку эти задачи обладают большими потенциальными возможностями для развития умственных операций (сравнения, аналогии, классификации, конкретизации, обобщения), способностей к анализу и синтезу, формируют культуру логических рассуждений.
Дидактически тема "Задачи с параметрами" не обязательно должна рассматриваться как единый блок.
Этот раздел может быть "распылен" по всему школьному курсу. При подготовке к изложению задач с параметрами учителю необходимо учитывать различные учебные цели, которые не ограничиваются лишь научением решению задач с параметрами. Целесообразно дать учащимся основы методологических знаний об исследовательской деятельности, об общих схемах решения задач, математических приемах умственной деятельности, некоторые общие теоретические знания.
Несмотря на имеющийся интерес к задачам с параметрами и понимание необходимости их рассмотрения, в реальной школьной практике дело с их изучением обстоит плохо. Необходимо определить место рассматриваемых задач в программах средней школы.
Потребность развития учащихся, все большее использование уравнений и неравенств с параметрами в практике сдачи ГИА и ЕГЭ определяют необходимость внедрения задач с параметрами в содержание школьного курса математики.
Однако дефицит программного времени подсказывает, что задачи с параметрами следует рассматривать не только на текущих уроках, но и на факультативных занятиях. Практика диктует, что реально эти задачи решаются 20-30% учащимися в урочное время, 50-60% на факультативных занятиях, поскольку именно на этих занятиях можно подробно изложить методику решения параметрических задач каждого типа и отработать методы их решения.
Начинать знакомить учащихся с задачами с параметрами можно в младших классах средней школы в курсе алгебры при рассмотрении линейных, а затем и квадратных уравнений и неравенств. Дальнейшие изучение материала более детально следует рассмотреть в 10-11 классах.
После изучения темы "Решение линейных неравенств с одной переменной" желательно разобрать еще и методы решения параметрических неравенств. А в конце учебного года на уроках заключительного повторения, рассмотреть решение параметрических неравенств с модулем. Эти неравенства вносят разнообразие в учебный процесс и учащиеся с удовольствием берутся за их решение.
Далее при изучении темы "Квадратные уравнения", в частности, при решении уравнений по теореме Виета, следует обратить внимание ребят, что во многих задачах, связанных с квадратными уравнениями, содержащими параметры, также используется теорема Виета.
Часть параметрических задач сводится к нахождению корней квадратного уравнения, расположенных определенным образом относительно заданной точки или заданного промежутка. При этом целесообразно использовать графический метод в силу его наглядности. Применению графического метода должен предшествовать тщательный анализ возможных способов расположения параболы, удовлетворяющих условиям задачи. При этом следует обращать внимание детей на следующие моменты: знак дискриминанта, знаки квадратного уравнения в характерных точках, каковыми являются, например, концы отрезков, расположение вершины параболы в определенных промежутках. Когда это всё отработано, то учащиеся без труда решают квадратные параметрические уравнения по данной тематике.
Приведем планы-конспекты некоторых уроков.
Урок по теме: " Решение линейных уравнений с параметрами".
Цели урока:
- Познакомить и научить учащихся решать уравнения с параметрами.
- Развивать умения анализировать, сравнивать.
- Формировать познавательный интерес к предмету.
Ход урока
1. Фронтальная работа с классом.
На доске написаны уравнения:
1. 1/5х = 13
2. 3х = 0
3. 5х = 5х + 7
4. 8х(2х + 4) = 2(3х - 2)
5. х = 1 будет ли корнем уравнения: 3x·8= 2x·7
Ученики устно решают предложенные уравнения, отвечают на вопросы: как такие уравнения называются, что такое корень уравнения.
2. Изучение новой темы.
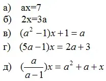
На доске записаны уравнения:

Рассмотрим уравнения, у которых коэффициенты заданы не конкретными числовыми значениями, а обозначены буквами. Такие буквы называются параметрами. Эти уравнения тоже линейными, но с параметром. Чтобы решить эти уравнения надо исследовать "а" - параметр.
Что же такое параметр? Рассмотрим небольшой пример. Представьте себе пруд, а в нем плавают рыбки. Количество рыбы в пруду зависит от многих параметров:
а) от степени загрязнения воды;
б) от корма;
в) от числа хищных рыб.
Изменяя эти параметры и регулируя их можно добиться рентабельности производства (но не все параметры можно изменить). Количество рыбы можно представить в виде уравнения, зависящего от параметров, исследуя его можно сделать прогноз.
Всякий процесс можно описать с помощью параметров. Так, например, состояние больного врач-терапевт оценивает по параметрам температуры и давления.
Мы же на уроке будем решать и исследовать параметры линейных уравнений.
В общем виде линейное уравнение с параметрами записывается так:
Ах=В
А, В - это выражения, зависящие от параметров , а Х - неизвестное.
Решить уравнение с параметрами - значит для всех значений параметров найти множество всех корней заданного уравнения.
Линейное уравнение будем исследовать по следующей схеме:
1). Если А=0, то имеем уравнение 0х=В. Тогда, если B≠0 , то уравнение имеет пустое множество решений, а если B=0, то уравнение имеет вид 0х=0 и решением уравнения будет множество всех действительных чисел.
2). Если A≠0, то уравнение имеет единственное решение и x = B/A.
Решаем уравнения, записанные на доске. Примеры а), б) решим устно, а решение остальных запишем.
Пример 1. Решить уравнение: (a2 - 1)x + 1 = a
Решение. Запишем наше уравнение в виде: (a2 - 1)x = a - 1
Будем исследовать :
1) Если a2 - 1 = 0, (a - 1)(a + 1) = 0
a - 1 = 0 или a + 1 = 0
a = 1 a = -1
при a = 1 , уравнение имеет множество решений, т.к. 0·x = 0
при a = -1 , уравнение не имеет корней, т.к. 0·x = -2


3. Домашнее задание:
1. При каких значениях параметра а уравнение ax - x = 3x имеет корень, равный 8.
2. При каких значениях параметра а уравнение (2 + a)x = 2a - 3 не имеет корней.
3. При каких значениях параметра b имеют общий корень уравнения:
a) 3x + 7 = 0 и 2x - b = 0; b) 2x = 3b - 1 и 3x = 5b + 7
Урок по теме: "Решение квадратных уравнений с параметрами, используя теорему Виета".
Цели урока:
1. Научить решать квадратные уравнения с параметрами.
2. Развивать у учащихся умение анализировать, сравнивать.
Ход урока
1. Работа в тетрадях.
На доске написаны уравнения:

Не строя график, определить, при каком значении х квадратичная функция имеет наибольшее (наименьшее) значение.
2. Изучение новой темы.
После того, как учащиеся вспомнили теорему Виета, к доске по-очереди вызываются сильные ученики, которые с комментариями учителя решают уравнения.
Пример 1.
При каких значениях k произведение корней квадратного уравнения x2 + 3x + (k2 - 7k + 12) = 0 равно нулю.
Необходимо напоминать ученикам, что решая уравнение, надо выписывать отдельно чему равен первый, второй коэффициенты и свободный член квадратного уравнения, которое имеет общий вид: ax2 + bx + c = 0 .
Решение. а = 1
в = 3
с = k2 - 7k = 12
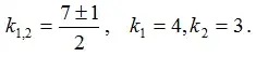
x1·x2 = k2 - 7k + 12 = 0Решая квадратное уравнение, получим:
D = 49 - 48 = 1 отсюда 
Ответ: 4;3.
Пример 2.
В уравнении x2 - 2x + a сумма квадратов корней равна 16. Найдите а.
Решение. Выписываем: x1 + x2 = 2 и x1·x2 = a.
Далее ![]()
Откуда a = 0.
Ответ: a = 0.
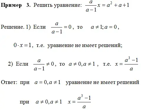
Пример 3.
При каком значении параметра m сумма квадратов корней уравнения x2 + (2 - m)x - m - 3 = 0 будет наименьшая?
Решение. Выписываем x1+ x2 = m - 2 и x1·x2 = -m - 3
= (m - 2)2 - 2(-m - 3) = m2 - 2m + 10
Теперь рассмотрим квадратный трехчлен m2 - 2m + 10, графиком этой функции является парабола, ветви которой направлены вверх, следовательно наименьшее значение будет достигаться
в вершине ![]()
Ответ: при m = 1.
Далее класс решает самостоятельно три уравнения, с последующей проверкой их на доске.
Решить уравнения:
а) При каких значениях k сумма корней квадратного уравнения x2 + (k2 + 4k - 5)x - k = 0 равна нулю?
б) При каком значении параметра m сумма квадратов корней уравнения x2 + (m - 1)x + m2 - 1,5 = 0 наибольшая?
в) В уравнении x2 - 4x + a = 0 сумма квадратов корней равна 16. Найдите a.
3. Домашнее задание:
При каких значениях параметра n сумма корней уравнения x2 - nx + 5 = 0 равна 11? 2?
2. При каких значениях параметра d произведение корней уравнения x2 - 8x - d = 0
равно 21? -2?
3. В уравнении x2 - 2x + a = 0 квадрат разности корней равен 16. Найдите a.