Тема урока: "Текстовые задачи, решаемые алгебраическими (логическими) приемами"
Не всегда уравнения
Разрешают сомнения,
По итогам сомнения
Может быть озарение!
Цели урока:
- за счёт изменений в структуре содержания и организации образовательного процесса, более полно учитывать интересы, склонности и способности учащихся;
- создавать условия для образования учащихся в соответствии с их интересами и намерениями дальнейшего продолжения образования, развивать логическое мышление.
Оборудование: мел, доска, рисунки.
Ход урока
1. Организационный момент.
2. Актуализация известных ЗУН.
Устное решение задач:
а) Во время прилива.
Недалеко от берега стоит корабль со спущенной на воду верёвочной лестницей вдоль борта. У лестницы 10 ступенек. Расстояние между ступеньками 30 см. Самая нижняя ступенька касается поверхности воды. Океан сегодня спокоен, но начинается прилив, который поднимает воду за каждый час на 15 см. Через сколько времени покроется водой третья ступенька верёвочной лестницы.
Пояснение: вода никогда не покроет третью ступеньку, потому что с водой поднимается и корабль, и веревочная лестница.
б) Из Беслана во Владикавказ.
В полдень из Владикавказа в Беслан выходит автобус с пассажирами. Часом позже из Беслана во Владикавказ выезжает велосипедист и едет по тому же шоссе, но конечно, значительно медленнее, чем автобус. Когда пассажиры автобуса и велосипедист встретятся, то кто из них дальше будет от Владикавказа?
Пояснение: встретившиеся путешественники находятся в одном месте, и, следовательно, на одинаковом расстоянии от Владикавказа.
в) Полёт туда и обратно.
Из Беслана в Ростов-на-Дону самолётТУ-144 долетел за 80 минут, а из Ростова-на-Дону до Беслана за1 ч. 20 мин. Почему?
Пояснение: отвечая на этот вопрос часто пытаются объяснить разницу в скорости полёта различными причинами (направлением ветра, скоростью вращения Земли и т.п.), не обращая внимание на то, что 80 мин и1ч. 20 мин. это одно и то же.
г) Сколько было остановок?
- Ребята, мне, как, вероятно, и всем вам, часто приходится пользоваться городским транспортом. Однажды, находясь в автобусе, я решила сделать очень несложный подсчёт. Полагаю, что вы все сильны в математике и поможете мне в этом.
- Итак, я вошла в автобус и пересчитала пассажиров. Их было 17. Автобус тронулся, затем остановился. На первой остановке вошли 6 человек, вышло 2 (будьте внимательны). На следующей остановке вошло 10 человек, никто не вышел. Потом на остановке вошло 3 человека, а вышло 8. На следующей остановке вошло 4 человека и вышло 7.
А потом на остановке
Гражданин один вошёл
С целой кучею обновок.
Сколько было . . . остановок?
Пояснение: этот вопрос оказывается совершенство неожиданным: считали то пассажиров, а не остановки, хотя никто их не предупреждал, что именно надо считать.
д) Разделить поровну.
Требуется разделить 5 одинаковых яблок поровну между восемью мальчиками. Можете ли это сделать с наименьшим числом разрезов?
Пояснение: имеем:
, отсюда видно, что 4 яблока надо разделить пополам и только одно яблоко
разделить на 8 частей.
3. Закрепление новых ЗУН.
Для посадки цветочных клумб возле школы нам нужна рассада. В питомнике рассада астры стоит 27 рублей, петушков - 23 руб. На покупку цветов можно затратить не более 940 руб. Необходимо закупить максимально возможное суммарное количество астр и петушков. При этом астр нужно закупить как можно меньше, но число петушков не должно отличаться от числа астр более, чем на 10. Сколько цветов каждого вида следует закупить при указанных условиях?
Решение.
Пусть х - количество астр,
тогда у - количество петушков,
27х(р.) - стоимость астр,
23у(р.) - стоимость петушков,
(27х+23у) (р.)- стоимость всей покупки,
а по условию не более 940р,
(у-х) - отличие количества петушков от астр,
а по условию не более 10.
Составим систему неравенств:
|
Построим графики уравнений 27х+23у=940 и у-х=10. |
|
||||||
|

Графики пересекаются в точке А, координаты (х;у) которой удовлетворяют системе уравнений:
![]()
А (14,2;24,2).
Но т.к. х и у - натуральные числа, то х=14 и у=24.
Ответ: 14 астр, 24 петушков.
2) В г.Беслане строили две новые школы. При строительстве кирпич падает с высоты 1м. С какой скоростью он упадёт на Землю? Во сколько раз увеличится скорость, если высота, увеличиться в 2;4;100 раз?
Решение.
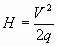
Скорость свободного падения тела связана с высотой падения формулой
, где q- ускорение свободного падения 9,8 м/с2.
Отсюда:
| V2=2Hq, | V= |
| H=1м, | V= |
| H=2м, | V= |
| H=4м, | V= |
| H=100м, | V |
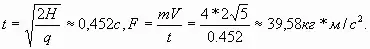
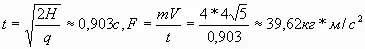
Давайте продолжим задачу и узнаем на сколько опасно находиться под карнизами домов, ответив на вопрос: с какой силой кирпич (сосулька) ударится о землю? Из II закона Ньютона имеем:
Так как
то воспользуемся формулой
, где
- время взаимодействия.
Если
,
, то из формулы
найдём ![]()
Если
,
, то
.
Из анализа решения можно сделать вывод: чем больше
, тем сила удара меньше… Вот почему наличие каски смягчает удар.
3) Осенью мама делает заготовки из овощей. Для того, чтобы законсервировать 2 кг огурцов требуется 1 л воды. Нужно законсервировать 10 кг огурцов. Сколько нужно взять соли для маринада, если она составляет 3,5% всего раствора.
Решение.
Так как на 2 кг огурцов требуется 1 л воды, то на 10 кг потребуется 5л воды.
Пусть х(г) соли требуется на 5000 г воды,
тогда (5000+х)(г) - масса всего раствора.
Составим пропорцию:
(5000+х)(г) р-ра - 100%,
х(г) соли - 3,5%.
Тогда
100% х = (5000+х)3,5%,
96,5х=17500,
х=17500:96,5=181 (г) - соли.
Ответ: 181г.
4) Пассажирский и товарный поезд одновременно выехали из Воронежа и Беслана. После встречи пассажирский поезд прибыл на конечный пункт через 9 часов, а товарный - через 16. Сколько времени каждый поезд был в пути?
Решение.
| Б | А | В |
Если V1 - скорость пассажирского поезда,
V2 - скорость товарного поезда,
тогда АB = 16 V2 , АБ = 9 V1.
До встречи пассажирский поезд ехал
,
тогда товарный поезд ехал
.
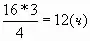
Так как эти времена равны, то

Значит поезда ехали до встречи
.
Поэтому пассажирский поезд был в пути 12+9=21(ч), а товарный поезд был в пути 12+16=28(ч).
Ответ: 21 ч и 28 ч.
Дополнительно.
Экскаватор роет два котлована для строительства спортивно - оздоровительного комплекса в г.Беслане ёмкостью по 20 м3. После того как был вырыт первый котлован, производительность экскаватора уменьшилась на 1 м3/ч. Известно, что через 6,5 ч после начала работы было вырыто полтора котлована. Найдите первоначальную производительность экскаватора.
Решение.
Пусть х(м3/ч) начальная производительность экскаватора,
Тогда
- время затраченное на 1ый котлован,
(х-1) (м3/ч) - новая производительность экскаватора,
время затраченное на 0,5 котлована.
Составим уравнение.
![]()
![]()


Д=в2-4ас=5329-2080=3249>0(2к),
Х1,2=![]()
Х1=
=5(м3/ч),
Х2
.
Ответ: 5м3/ч.
4. Итог урока.
Решение задач является средством обучения и средством развития интеллектуальных качеств учащихся, имеет большую практическую значимость. Путём решения задач вызываем интерес, даём возможность познакомиться с различными практико-ориентированными задачами.