Методичесое пособие "Комплексные числа" для системы ДО и профессиональных классов
I. Введение.
Во многих разделах математики и ее приложениях невозможно ограничиться лишь рассмотрением действительных чисел. Например, решение уравнений типа х2+х+1=0, х2+1=0.
Для их решения надо расширить множество действительных чисел и таким расширением являются комплексные числа.
Комплексные числа часто называют мнимыми. Это название объясняется тем, что, хотя стали употребляться еще в XVI веке, они долго продолжали называться даже выдающимися математиками чем-то реально не существующими, мнимыми в буквальном смысле. Одному из создателей дифференциального и интегрального исчисления, немецкому математику Г. Лейбницу (1646-1716) принадлежат, например, такие слова:
"Комплексное число - это тонкое и поразительное средство божественного духа, почти амфибия между бытием и небытием".
Но уже во времена К. Гаусса (1777-1855) было дано геометрическое истолкование комплексных чисел как точек плоскости. Трудами выдающихся математиков XIX века О. Коши, Б. Римана, К. Вейерштрасса на базе комплексных чисел была построена одна из самых красивых математических дисциплин - Теория функций комплексной переменной.
II. Определение комплексного числа.
Комплексными числами называют выражения вида a +bi , где a и b - действительные числа, i - некоторый символ и i2=-1, для которых следующим образом вводятся понятия равенства и операции сложения и умножения:
1. a1+b1i и a2+b2i равны тогда и только тогда когда a1=a2 и b1=b2.
2. Суммой a1+b1i и a2+b2i есть число (a1+a2)+(b1+b2)i
3. Произведением чисел a1+b1i и a2+b2i , есть число a1a2 -b1b2+ + (a1b2+a2b1)i
Комплексные числа часто обозначают одной буквой, причем обычно используют буквы z и ω.
Равенство z=a+bi называют алгебраической формой записи числа z.
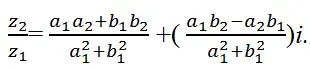
Под разностью z1-z2 понимают число (a1-a2)+(b1-b2)i.
Частное чисел z2 и z1 при условии z1≠0 понимается следующее комплексное число:

Заметим что число 0+bi называют чисто мнимым и записывают bi,
Если b=0, то число a просто действительное.
Действительная часть числа z=a+bi обозначается Rez.
Мнимая часть числа z обозначается Imz.
Тогда z=Rez+Imzi
Пример 1.
Найти сумму и произведение чисел z1=2+5i ,z2=-1+7i.
z1+ z2=(2+(-1))+(5+7)i=1+12i
z1z2=(2+5i)(-1+7i)=-2+14i-5i+35i2=-37+9i
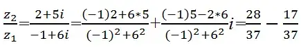
Пример 2.
Найти разность и частное чисел z2=2+5i , z1=- 1+6i
z2-z1=3-i

Пример 3 i3=i*i*i=-i, i4=i*i*i*i=1.
III. Геометрическая интерпретация комплексных чисел. Модуль и аргументы комплексного числа.
Рис.1
Хорошо известно, что между множеством действительных чисел и множеством точек прямой можно установить взаимно однозначное соответствие. Геометрическую интерпретацию можно использовать и при изучении комплексных чисел.
Каждому комплексному числу z=a+bi можно поставить в соответствие точку M(a,b) координатной плоскости.
Причем: a=Rez, b=Imz
Сама координатная плоскость называется комплексной плоскостью. Ось абсцисс называется действительной осью, а ось ординат мнимой осью.
Число z=a+bi есть вектор
, исходящий из начала координат О(0,0) и идущий в точку M(a,b).
При сложении z1 и z2 складываются их действительные и мнимые части. При сложении
складываются их координаты.
Таким образом сумма (разность) комплексных чисел геометрически ,векторов, соответствующих слагаемым комплексных чисел.
Модулем комплексного числа называется длина вектора соответствующего этому числу и обозначается │Z│.
называется комплексно сопряженным числу z=a+bi. Тогда имеем:
. Произведение сопряженных чисел равно квадрату модуля.

Аргументы комплексного числа.
Комплексные числа имеющие один и тот же модуль │Z│= r, соответствуют, очевидно, точкам плоскости расположенными на окружности радиуса r с центром в точке z=0.
Рис. 2
Определение. Аргументом комплексного числа z≠0 называется величина угла между положительным направлением действительной оси и вектором
, причем величина угла считается положительной, если отчет ведется против часовой стрелки и отрицательным, если отчет ведется по часовой стрелке. Для обозначения аргументов комплексного
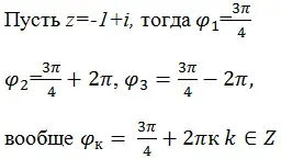
числа z=a+bi используют обозначения arg(a+bi) или argz. Аргумент комплексного числа z определяется не однозначно.

Любые два аргумента комплексного числа отличаются друг от друга слагаемым кратным 2π.
IV. Тригонометрическая форма записи комплексного числа. Операции над комплексными числами.
Помимо алгебраической формы используются и другие формы записи комплексных чисел - тригонометрическая форма и показательная форма записи комплексных чисел.
Рассмотрим тригонометрическую форму записи.
Действительная и мнимая части комплексного числа z=a+bi выражаются через его модуль │Z│=r и аргумент φ следующим образом (рис.2).
![]()
Поэтому комплексное число z может быть записано в следующем виде: z= r(cosφ + isinφ)
Такая запись называется тригонометрической формой записи.
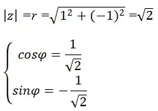
Для того чтобы перейти от алгебраической формы z=a+bi к тригонометрической форме записи числа, достаточно найти его модуль и один из аргументов. Модуль определяется по формуле:

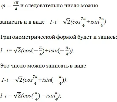
Пример 5.
Записать число z=1-I в тригонометрической форме.

Одним из решений этой системы будет:

но эти записи будут являться алгебраической, а не тригонометрической формой записи комплексного числа.
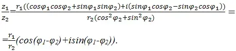
Умножение и деление комплексных чисел записанных в тригонометрической форме.
z1z2 =r1r2(cosφ1cosφ2-sinφ1sinφ2+i(cosφ2sinφ1+cosφ1sinφ2) )= =r1r2(cos(φ1+φ2)+isin(φ1+φ2)).
Таким образом: модуль произведения двух комплексных чисел равен произведению модулей, сумма аргументов есть аргумент произведения.

Следовательно, модуль частного двух комплексных чисел равен частному этих модулей, разность аргументов делимого и делителя является аргументом частного.
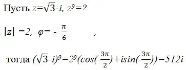
Модуль произведения n комплексных чисел равен произведению всех сомножителей, сумма аргументов всех сомножителей является аргументом произведения. Отсюда, как частный случай, получается формула, которая носит название формулы Муавра.
(r(cosφ+isinφ))n =rn(cosnφ+isinφn)
Пример 6/

Перейдем к операции извлечения корня из данной степени комплексного числа.
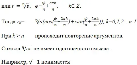
Число z является корнем степени n из числа ω, если zn =ω.
Из данного определения вытекает, что каждое решение уравнения zn=ω является корнем n из числа ω.
Пусть ω≠0, тогда z=r(cosφ+isinφ), ω=s(cosψ+isinψ)
Уравнение zn=ω запишем в виде: rn(cosnφ+isinφn)=s(cosψ+isinψ)
Два комплексных числа равны, когда равны их модули, а аргументы различаются слагаемым кратным 2π, то есть rn=s и nφ=ψ+2πk

как пара комплексных чисел i и -i.
Пример 7.
Найти все значения
. Запишем число ω =-16 в тригонометрической форме ω=16(cosπ+isinπ).

Рис.3
Точки z0,z1,z2,z3 есть вершины квадрата вписанного в окружность радиуса 2.
V. Квадратные уравнения.
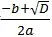
Рассмотрим уравнение: ax2+bx+c=0, a≠0
a,b,c - действительные числа , тогда D=b2-4ac дискриминант и решение задается по формуле: x=
,если D˂0,то уравнение не имеет решение в действительных числах.
Решим это уравнение в комплексных числах, тогда, если D˂0, мы получаем решение в комплексных числах:
: z=![]()
Пример 7.
![]()
Над множеством комплексных чисел справедлива основная теорема алгебры : алгебраическое уравнение n - степени имеет ровно n корней.
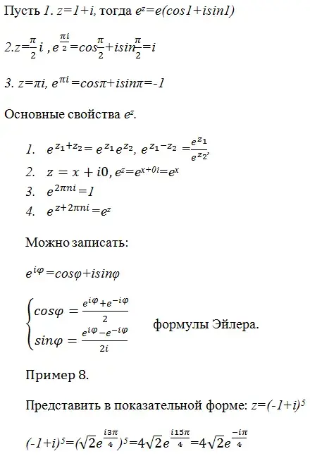
VI. Комплексная степень числа e. Показательная форма записи.
Возведем e в степень z, где z=x+iy.ez=exeiy=ex(cosy+isiny).
Доказательство данной формулы основано на разложении элементарных функций в ряд Тейлора в окрестности нуля.
Пример 8.

Литература:
- А.В. Бицадзе "Основы теории аналитических функций". М, "Наука", 1984 г.
- Г.Н. Яковлев и др. "Алгебра и начала анализа". М, "Наука", 1981 г.