Исследование функции на периодичность
Цель: обобщить и систематизировать знания учащихся по теме "Периодичность функций"; формировать навыки применения свойств периодической функции, нахождения наименьшего положительного периода функции, построения графиков периодических функций; содействовать повышению интереса к изучению математики; воспитывать наблюдательность, аккуратность.
Оборудование: компьютер, мультимедийный проектор, карточки с заданиями, слайды, часы, таблицы орнаментов, элементы народного промысла
Эпиграф:
"Математика - это то, посредством чего люди управляют природой и собой"
А.Н. Колмогоров
Ход урока
I. Организационный этап.
Проверка готовности учащихся к уроку. Сообщение темы и задач урока.
II. Проверка домашнего задания.
Домашнее задание проверяем по образцам, наиболее сложные моменты обсуждаем.
III. Обобщение и систематизация знаний.
1. Устная фронтальная работа.
Вопросы теории.
1) Сформируйте определение периода функции
2) Назовите наименьший положительный период функций y=sin(x), y=cos(x)
3). Назовите наименьший положительный период функций y=tg(x), y=ctg(x)
4) Докажите с помощью круга верность соотношений:
y=sin(x) = sin(x+360º)
y=cos(x) = cos(x+360º)
y=tg(x) = tg(x+180º)
y=ctg(x) = ctg(x+180º)

tg(x+πn)=tgx, n € Z
ctg(x+πn)=ctgx, n € Z

sin(x+2πn)=sinx, n € Z
cos(x+2πn)=cosx, n € Z
5) Как построить график периодической функции?
Устные упражнения.
1) Доказать следующие соотношения
a) sin(740º) = sin(20º)
b) cos(54º) = cos(-1026º)
c) sin(-1000º) = sin(80º)
2. Доказать, что угол в 540º является одним из периодов функции y= cos(2x)
3. Доказать, что угол в 360º является одним из периодов функции y=tg(x)
4. Данные выражения преобразовать так, чтобы входящие в них углы по абсолютной величине не превышали 90º .
a) tg375º
b) ctg530º
c) sin1268º
d) cos(-7363º)
5. Где вы встречались со словами ПЕРИОД, ПЕРИОДИЧНОСТЬ?
Ответы учащихся: Период в музыке - построение, в котором изложено более или менее завершенная музыкальная мысль. Геологический период - часть эры и разделяется на эпохи с периодом от 35 до 90 млн. лет.
Период полураспада радиоактивного вещества. Периодическая дробь. Периодическая печать - печатные издания, появляющиеся в строго определенные сроки. Периодическая система Менделеева.
6. На рисунках изображены части графиков периодических функций. Определите период функции. Определить период функции.

Ответ: Т=2; Т=2; Т=4; Т=8.
7. Где в жизни вы встречались с построением повторяющихся элементов?
Ответ учащихся: Элементы орнаментов, народное творчество.

IV. Коллективное решение задач.
(Решение задач на слайдах.)
Рассмотрим один из способов исследования функции на периодичность.
При этом способе обходятся трудности, связанные с доказательством того, что тот или иной период является наименьшим , а также отпадает необходимость касаться вопросов об арифметических действиях над периодическими функциями и о периодичности сложной функции. Рассуждение опирается лишь на определение периодической функции и на такой факт: если Т - период функции, то и nT(n?0) - ее период.
Задача 1. Найдите наименьший положительный период функции f(x)=1+3{x+q>5}
D(f)=R
Решение: Предположим, что Т-период данной функции. Тогда f(x+T)=f(x) для всех x € D(f), т.е.
1+3{x+T+0,25}=1+3{x+0,25}
{x+T+0,25}={x+0.25}
Положим x=-0,25 получим
{T}={0}
{T}=0 <=> T=n, n € Z
Мы получили, что все периоды рассматриваемой функции (если они существуют) находятся среди целых чисел. Выберем среди этих чисел наименьшее положительное число. Это 1. Проверим, не будет ли оно и на самом деле периодом 1.
f(x+1) =3{x+1+0,25}+1
Так как {T+1}={T} при любом Т, то f(x+1)=3{(x+0.25)+1}+1=3{x+0,25}+1=f(x), т.е. 1 - период f. Так как 1 - наименьшее из всех целых положительных чисел, то T=1.
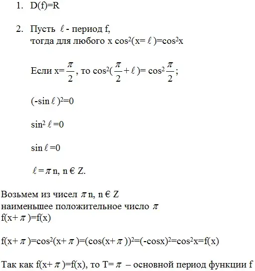
Задача 2. Показать, что функция f(x)=cos2(x) периодическая и найти её основной период.
Решение:

Задача 3. Найдите основной период функции
f(x)=sin(1,5x)+5cos(0,75x)
Решение:
1. D(f)=R
Допустим Т-период функции, тогда для любого х справедливо соотношение
sin1,5(x+T)+5cos0,75(x+T)=sin(1,5x)+5cos(0,75x)
Если х=0, то
sin(1,5T)+5cos(0,75T)=sin0+5cos0
sin(1,5T)+5cos(0,75T)=5
Если х=-Т, то
sin0+5cos0=sin(-1,5Т)+5cos0,75(-Т)
5= - sin(1,5Т)+5cos(0,75Т)
|
sin(1,5Т)+5cos(0,75Т)=5
- sin(1,5Т)+5cos(0,75Т)=5 |
Сложив, получим:
10cos(0,75Т)=10
cos
=1
=2πn, n € Z
T=
, n € Z
Выберем из всех "подозрительных" на период чисел
наименьшее положительное и проверим, является ли оно периодом для f. Это
число ![]()
Имеем:
f(x+
)=sin(1,5x+4π)+5cos(0,75x+2π)= sin(1,5x)+5cos(0,75x)=f(x)
Значит
- основной период функции f.
Задача 4. Проверим является ли периодической функция f(x)=sin(x)
Решение:
Пусть Т - период функции f. Тогда для любого х
sin|x+Т|=sin|x|
Если х=0, то sin|Т|=sin0, sin|Т|=0 Т=πn, n € Z.
Предположим. Что при некотором n число πn является периодом
рассматриваемой функции πn>0. Тогда sin|πn+x|=sin|x|

Отсюда вытекает, что n должно быть одновременно и четным и нечетным числом, а это невозможно. Поэтому данная функция не является периодической.
Задача 5. Проверить, является ли периодической функция
f(x)= 
Решение:
D(f)=R
Пусть Т - период f, тогда
, отсюда sinT=0, Т=πn, n € Z. Допустим, что при некотором n число πn действительно является периодом данной функции. Тогда и
число 2πn будет периодом

Так как числители равны, то равны и их знаменатели, поэтому

Значит, функция f не периодическая.
Работа в группах.
Задания для группы 1.
Проверьте является ли функция f периодической и найдите ее основной период (если существует).
f(x)=|cosx|
Задания для группы 2.
Проверьте является ли функция f периодической и найдите ее основной период (если существует).
f(x)=cos(2x)+2sin(2x)
Задания для группы 3.
f(x)=|sin|x||
По окончании работы группы презентуют свои решения.
VI. Подведение итогов урока.
Рефлексия.
Учитель выдаёт учащимся карточки с рисунками и предлагает закрасить часть первого рисунка в соответствии с тем, в каком объёме, как им кажется, они овладели способами исследования функции на периодичность, а в части второго рисунка - в соответствии со своим вкладом в работу на уроке.
| Мои умения исследовать
функции на периодичность |
Мой вклад в работу
на уроке |
|
|
|
VII. Домашнее задание
1). Проверьте, является ли функция f периодической и найдите её основной период (если он существует)
a). f(x)=√x
b). f(x)=x2-2x+4
c). f(x)=2tg(3x+5)
2). Функция y=f(x) имеет период Т=2 и f(x)=x2+2x при х € [-2; 0]. Найдите значение выражения -2f(-3)-4f(3,5)
Литература/
- Мордкович А.Г. Алгебра и начала анализа с углубленным изучением.
- Математика. Подготовка к ЕГЭ. Под ред. Лысенко Ф.Ф., Кулабухова С.Ю.
- Шереметьева Т.Г. , Тарасова Е.А. Алгебра и начала анализа для 10-11 классов.
