Интегрированный урок (физика + математика) "Применение производной при решении прикладных задач"
В математике следует помнить не формулы, а процессы мышления.
В.П. Ермаков
(Приложение 1. Слайд 2)
Урок № 1
(Повторительно-обощающий.)
(Слайд 3-7)
Цель урока: Повторить, обобщить, систематизировать изученный материал.
Задачи урока:
Образовательные:
- Углубление понимания сущности производной путем применения ее для получения новых знаний;
- Установление межпредметных связей;
Воспитательные:
- Воспитание познавательного интереса к учебному предмету
- Воспитание у учащихся культуры мышления;
Развивающие:
- Формирование умений строить логическую цепочку рассуждений;
- Формирование умений проводить обобщение, переносить знания в новую ситуацию;
- Развитие монологической речи в ходе объяснений, обоснований выполняемых действий
- Познакомить учащихся с историей возникновения понятия "Производной"
- Повторить правила вычисления производной;
- Повторить схему исследования функции с применением производной и рассмотреть пример;
- Рассмотреть пример применения производной в задачах геометрического содержания;
- Определить физический смысл производной, рассмотреть использование механического истолкования производной при решении задач, связанных с физическим смыслом;
- Формировать умения учащихся логически мыслить, развивать математическую речь;
- Способствовать развитию познавательного интереса учащихся к математике и физике.
Оборудование:
- интерактивная доска;
- проектор;
- компьютер;
- карточки с задачами.
План урока:
1. Организационный момент.
2. Цели и задачи урока
3. Из истории "Производной" (Выступление учащегося).
4. Применение производной к исследованию функции (выступление учащегося с разбором примера, учащиеся ведут записи).
5. Применение производной при решении прикладных (выступление учащегося с разбором примера, учащиеся ведут записи).
6. Применение производной в решении физических задач (выступление учащегося, учащиеся ведут записи).
Ход урока
1. Учитель сообщается тему и цели урока. (Приложение 1)
2. Выступает учащийся с сообщением "Из истории возникновения понятия "Производная".
1) Учащийся предлагает классу разгадать кроссворд:
(Слайд 8.)
1. Французский математик 17 века Пьер Ферма определял эту линию так: "Прямая, наиболее тесно примыкающая к кривой в малой окрестности заданной точки".
2. В математике это понятие возникло в результате попыток придать точный смысл таким понятиям, как "скорость движения в данный момент времени" и "касательная к кривой в заданной точке".
3. Приращение какой переменной обычно обозначают (дельта)x?
4. Если существует предел в точке А и этот предел равен значению функции в точке А, то в этой точке функцию называют…(Подсказка: График такой функции можно нарисовать одним росчерком карандаша, без
отрыва бумаги.)
5. Эта точка лежит внутри области определения функции, и в ней функция принимает самое большое значение по сравнению со значениями в близких точках.
6. Эта величина определяется как производная скорости по времени.
7. Если функцию y=f(x) можно представить в виде y=f(x)=g(h(x)), где y=g(t) и t=h(x) - некие функции, то функцию f называют…
Из биографии Лагранжа: (Слайд 9.)
Лагранж Жозеф Луи (1736-1813).
Лагранж Жозеф Луи - французский математик, астроном и механик. Наряду с Эйлером - лучший математик 18 века. Родился в Турине 25 января 1736 года.
Отец - полуфранцуз, полуитльянец. Служил в Турине (Италия) военным казначеем Сардинского королевства. Хотел, чтобы сын стал адвокатом и определил его в Туринский университет.
Но в руки Лагранжа случайно попал мемуар по математической оптике, и это изменило приоритеты, с этого момента он стал активно изучать математику. Как результат - уже в 19 лет стал преподавать математику в Королевской артиллерийской школе в Турине. В этой школе он организовал научное общество, из которого впоследствии была сформирована Туринская Академия наук.
В 1755 году Лагранж послал Эйлеру одну из своих работ и в ней он решил ряд задач, которые сам Эйлер решить не смог. Эйлер вместе с Даламбером рекомендует молодого ученого в Берлинскую Академию наук, в которую Лагранж и был избран в октябре 1756 года.
В 1764 году работа Жозефа Лагранжа, посвященная либрации Луны и представленная на конкурс в Французскую Академию наук, была удостоена первой премии. В 1766 году - следующая премия за теорию движения спутников Юпитера. И впоследствии еще 3 премии за различные работы.
По рекомендации Даламбера и Эйлера, Лагранж был приглашен прусским королем Фридрихом II и переехал в Берлин. Сначала он руководил физико-математическим отделением Академии наук, а позже стал президентом этой Академии. Берлинский период оказался самым плодотворным в жизни ученого.
В 1767 году Лагранж женился на своей кузине по матери Виктории Конти, но через 16 лет она умерла.
После смерти Фридриха Великого в 1786 году в Германии наступил период апатии к науке, волна возмущений против "непруссаков" - все это сделало Берлин непривлекательным местом жительства для иностранцев, работавших в Академии. Лагранж добился отставки. Но эта отставка была дана ему на унизительных условиях: он еще в течение нескольких лет должен был посылать научные статьи в Берлинскую Академию. Жозеф Луи Лагранж принял все эти условия.
В 1787 году Людовик 16 пригласил Лагранжа стать членом Французской Академии наук и перебраться в Париж. Париж встретил ученого с большими почестями, в Лувре ему была предоставлена квартира, в которой он прожил до начала революции.
В первые годы революции друзья убеждали Лагранжа вернуться в Берлин, но он отказался, желая "увидеть этот эксперимент полностью". Но когда наступил террор, он горько пожалел, что не покинул страну вовремя, а бежать уже было поздно. Он не причислял себя ни к революционерам, ни к защитникам монархии. Четко придерживался середины.
Относились к нему терпимо. Специальным декретом была пожалована пенсия. А в период инфляции его назначили членом Комитета изобретений, затем Комитета монетного дела. Кроме того, Лагранж занимался разработкой метрической системы мер и весов и нового календаря.
В этот период была идея перехода от десятичной системы счисления (которая существует уже почти тысячу лет и к которой все привыкли), к двенадцатиричной. Только благодаря своей иронии и здравому смыслу, Лагранжу удалось удержать число 10.
Лагранж вторично женится в 1792 году на Рене-Франсуазе-Аделаиде Лемонье, дочери своего друга-астронома. И этот брак оказался удачным.
С 1795 года Лагранж переходит на преподавательскую работу. Сначала он - профессор математики в Нормальной школе, затем, когда была основана Политическая школа, тоже стал первым ее профессором.
Ирония судьбы заключалась в том, что величайший математик стал подготавливать молодое поколение, которое впоследствии влилось в когорту наполеоновских военных инженеров.
В эти годы Лагранж публикует такие фундаментальные работы, как "Теория аналитических функций" и "О решении численных уравнений", и в них он подытожил все, что было известно в то время, заложил новые идеи, которые были развиты уже математиками следующего, 19 века.
За 2 дня до смерти он сказал друзьям "… Я сделал свое дело, я добился некоторой известности в математике. Я никогда никого не ненавидел, я не делал ничего плохого…" . Он умер на 78 году жизни, утром 10 апреля 1813 года. Похоронен в Пантеоне.
3. Повторение схемы исследования функции с применением производной.
(Слайд 10, 11.)
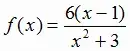
Учащийся с заранее подготовленным решением выходит к доске и предлагает разобрать следующее задание:
Исследовать и построить график функции вида:

Учащийся записывает этапы исследования функции на доске, отдельные этапы сопровождаются слайдами:
- нули функции; (Слайд 14)
- промежутки знакопостоянства; (Слайд 15)
- промежутки возрастания и убывания функции, критические точки; (Слайд 16)
- Таблица; (Слайд 17)
- график функции. (Слайд 18)
4. Схема применения метода поиска наибольших и наименьших значений функции при решении прикладных задач.
(Слайд 19, 20.)
Учащийся с заранее подготовленным решением выходит к доске и предлагает разобрать следующую задачу:
(Слайд 21.)
Задача: Площадь прямоугольника 64 кв.см. Какую длину должны иметь его стороны, чтобы периметр был наименьшим?
5. Применение производной при решении физических задач:
(Слайд 21, 22.)
Заслушать подготовленные заранее сообщения учащихся по примерам применения производных в физике, систематизировать полученные знания, показать формулы из физики и экономики, где используется производная, на интерактивной доске.
- Механическое движение (учитель комментирует этот раздел по подготовленным слайдам).
(Слайд 23-26.)
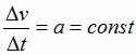
В этом разделе рассматривается механический смысл производной:
Производная от координаты по времени есть скорость.
x'(t) = n (t)
Производная от скорости по времени есть ускорение.
n'(t) = а(t)
Учащийся № 1 предлагает задачу с разбором решения.
Задача № 1. (Слайд 27, 28)
Дано:
x(t)=-270+12t
Найти: ט(t); а(t)-?
Решение:
1. ט (t)=x'=(-270+12t)'= (-270)'+(12t)'=0+12=12 м/c
2. a(t)= ט'=x'= (12)'= 0 м/с2
Ответ: 12м/с, 0 м/с2
Зачада № 2. (Слайд 29, 30, 31.)
Дано: x(t) = - 5t 3+ 2t 2 + 5t
Найти: ט = ט (t );
а = а (t )
Решение:
1. (t)=x'=(-5t3)'+(2t2)'+(5t)'=
-15t2+2•2t+5•1 =>
ט(t)=-15t2+4t+5
(Уравнение, описывающее скорость движения тела.)
![]()
t=1с, то
![]()
2. ![]()
a(t)=-30t+ 4
(Уравнение, описывающее ускорение тела.)
Если t=0 c, то a(0)=4 м/c2
t=1 с, то
а(1)=-30+4=-26 м/c2
Ответ: ט(t)=-15t2+4t+5 ; a(t)=-30t+ 4
- Гармонические колебания - колебания, происходящие по закону sin или cos.
(Учитель комментирует этот раздел по слайдам 33, 34, 35.)
Общий вид уравнения, характеризующий гармонические колебания;
Ввод параметров, определяющих гармонические колебания;
Учащийся № 2 разбирает задачу № 3 (Слайд 36, 37, 38.)

Определить по графику период, амплитуду и частоту колебаний. Найти максимальную силу, действующую на тело массой 150 г.
Решение:
Из графика:
xmax= 0,4(м); Т=0,4(с); φ0=0.
ν = 1/Т = 1/0,4 = 2,5(с-1)
Х= 0,4sin(2π•2,5t) = 0,4sin5πt
V= x'= (0,4sin5πt)'= 2πcos5πt,
где Vmax = 2π = 6,28 (м/с)
а =V'=(2πcos5πt)'=
= -2π5πsin5πt = -98,6sin5πt
где amax= -98,6 м/с2- амплитуда ускорения
F = m•amax
F = 0,15•(-98,6)= -14,8 [H]
Ответ: xmax= 0,4(м); Т=0,4(с);
ν=2,5с-1; F = -14,8 [H].
Урок № 2 (продолжение)
Цель урока: Закрепить полученные знания при решении различных прикладных задач, контроль знаний учащихся.
Задачи урока:
1. Способствовать выработке навыков в применении производной к решению прикладных задач.
2. Развивать логическое мышлении при установлении связи физических величин с понятием производной.
3. Воспитывать умение работать в коллективе, брать на себя ответственность за принятое решение.
План урока:
1. Учитель ставит цели и задачи урока перед учащимся.
2. Учащиеся класса делятся на группы.
3. Каждая группа получает карточки с задачами
4.Учащиеся решают задачи в группах с последующим самоконтролем по готовому решению, которое предлагает учитель, ведут записи в тетрадях.
5. Подведение итога урока, выставление оценок, запись д/з
Ход урока
Формулы из физики и экономики, где используется производная:
υ(t) = х/ (t) - скорость.
a(t) = υ/ (t) - ускорение.
J(t) = q/ (t) - сила тока.
C(t) = Q/ (t) - теплоемкость.
d(l) =m/ (l) - линейная плотность.
K(t) = l/ (t) - коэффициент линейного расширения.
ω(t) = φ/ (t) - угловая скорость.
а(t) = ω/ (t) - угловое ускорение.
N(t) = A/(t) - мощность.
П(t) = υ / (t) - производительность труда.
где υ (t) - объем продукции.
J(x) = y / (x) - предельные издержки производства, где y - издержки производства в зависимости от объема выпускаемой продукции x.
II. А) Работа в группах (15 минут)
I группа.
Тема: "Прямолинейное движение материальной точки".
Материальная точка движется прямолинейно по закону x(t) = 2t + 0,4t2 . Каков характер движения точки? Найти координату, скорость и ускорение точки в момент t = 5с.
Координата движущейся прямолинейно материальной точки меняется по закону
x(t) = -2t3 + 4t2 + 0,5t. Запишите уравнение зависимости скорости и ускорения от времени. Через сколько секунд после начала движения точка остановится?
Вывод: Производная от координаты по времени есть скорость, а от скорости по времени - ускорение. Ускорение - вторая производная от расстояния по времени, т. е. производная от скорости по времени.
II группа
Тема: "Исследование функции с применением производной и построение графика".
1. Повторить схему исследования функции .
2. Исследовать функцию и построить график: 
III группа.
Тема: "Механические колебания"
- Что такое колебание? Какие колебания называются гармоническими?
- Координата материальной точки, совершающей гармоническое колебание, изменяется по закону: х(t)=20sin4pt; Определить амплитуду колебаний, максимальное значение скорости и ускорения точки.
- Тело участвует в гармоническом колебании, происходящем по закону:
х(t)=0,5 cos (2pt +
). Записать уравнения изменения его скорости и ускорения по времени. Чему равна координата, скорость и
ускорение тела в момент t=0,5 с?
Вывод: Производная от координаты по времени есть скорость, а от скорости по времени - ускорение. Ускорение - вторая производная от расстояния по времени, т. е. производная от скорости по времени. ω(t) = φ/ (t) - угловая скорость; а(t) = ω/ (t) - угловое ускорение
IV группа.
Тема: Решение практических задач.
1. В чем суть метода математического моделирования?
2 . Задача: В равнобедренный треугольник с основанием 60 см и боковой стороной 50 см вписан прямоугольник наибольшей площади. Две вершины прямоугольника лежат на основании треугольника, две другие на
боковых сторонах. Найдите стороны прямоугольника.
III. Выработка коллективного решения о применении производной в различных областях естественных наук.
Учитель консультирует группы в поисках решения, координирует их деятельность, следит за решением задач. Наиболее активные учащиеся в группах поощряются положительной оценкой. Группа может проверить свое решение по готовому, предложенному учителем.
Учитель математики: А теперь подведем итоги урока, ответив на вопросы:
- Что дают нам знания о производной?
- Какие задачи можно решать, используя физический и геометрический смысл производной?
IV. Итог урока:
- Мы сегодня повторили применений производной при решении различных математических и физических задач.
Интеграция знаний.
Таблица связи понятий физики и математики.
| Понятия на языке физики | Обозначение и формулы | Понятие на языке математики |
| Время | t | Независимая переменная, аргумент. |
| Положение материальной точки, ее координата. | x | Зависимая переменная. |
| Закон движения. | x = f(t) | Функция. |
| Приращение времени, интервал времени. | Δt = t2 - t1 | Приращение аргумента. |
| Перемещение. | Δx = x(t2) - x(t1) | Приращение функции. |
| Средняя скорость. | vср = |
Отношение приращения функции к приращению аргумента. |
| Скорость (мгновенная) |
v(t) = lim vср.
v(t) = x′(t) |
Производная. |
| Закон, описывающий равномерное движение. |
x - x0 = v(t - t0) |
Линейная функция. |
| Скорость равномерного движения. |
V = x′ = k |
Коэффициент при t, угловой коэффициент прямой. |
| Закон, описывающий равноускоренное движение. |
x = at2/2 + v0t + x0 |
Квадратичная функция. |
| Скорость равноускоренного движения. |
v = x′ = at + v0 |
Линейная функция. |
| Ускорение равноускоренного движения. | a = v′ | Удвоенный коэффициент при t. |
Те вопросы, которые мы сегодня рассмотрели, помогут вам при решении задач по математике и физике на экзаменах.
Литература
- Учебник для общеобразовательных учреждений под редакцией А.Н.Колмогорова, М , 2010г, Изд-во Просвещение.
- Газета "Математика", № 24 , Статья "Применение производной", авт. Н.Муратова, Изд-во "Первое сентября", 2005 г.
- Рымкевич А.П. "Сборник задач по физике", Изд-во Дрофа, М., 2006 г.
- Волков В.А. Поурочные разработки по физике 11 класс. Изд-во "ВАКО", 2006 г.
- www.wikipedia.ru