Область определения функции двух переменных
Цели работы:
- повторить и систематизировать нахождение области определения функции, закрепить это понятие и наглядно представить в координатной плоскости и в пространстве;
- рассмотреть аналитические и геометрические методы не изолированно друг от друга, а в тесной взаимосвязи. Это позволит облегчить переход от стандартных решений конкретных математических задач к нестандартным;
- воспитание интереса к математике и мультимедиа, активности, мобильности; восприятие компьютера, как инструмента обучения;
- использование компьютера для нахождения области определения и построения графиков с помощью графического редактора 3D Grapher 1.2, Copyright © 2000-2002 RomanLab Software и формирование информационной компетентности учащихся.
Определение функции двух переменных
Если каждой паре ( x;y) значений двух независимых друг от друга переменных величин х и у из некоторого множества D соответствует единственное значение величины, то говорят, что z есть функция двух независимых переменных x и y, определенная на множестве D.
Обозначается: z=f(x;y) или z=z(x;y).
Например,
S=ab, S=S(a;b)- функции двух переменных; V=abc, V=V(a,b.c) - функция трех переменных;
A=
- функция трех переменных.
Способы задания функций нескольких переменных
Чтобы задать функцию двух (трех) переменных, нужно указать способ, с помощью которого для каждой пары (тройки) значений аргументов можно найти соответствующее значение функции. Наиболее часто
функция задается аналитически
- это явное задание функции или неявное задание ![]()
Например,
- это явно заданная функция двух переменных; уравнение
задает неявно две функции двух переменных
.
Область определения функции
Непрерывное множество пар
значений независимых переменных
, при которых функция
определена, называется областью определения функции.
Область определения называется замкнутой областью, если она включает в себя свою границу; открытой областью, если она не включает в себя свою границу; ограниченной областью, если может быть помещена в круг конечного радиуса.

Геометрически изобразить область определения функции можно только для функций:

- одной переменной - на прямой
, - двух переменных - на плоскости
, - трех переменных- в пространстве
.
Геометрическое изображение самой функции возможно только для функции двух переменных.

Графиком функции двух переменных является поверхность, проектирующаяся на плоскость
в область D, которая
является областью определения функции.
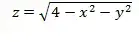
На рис. изображена поверхность графика функции
и ее область определения.
В курсе учебного материала 9-го класса мы рассматриваем следующие задания на нахождение и построение области определения функции.
ПРИМЕРЫ
Найти область определения функции ![]()

Решение. Областью определения данной функции является вся плоскость, т.к. нет ограничений на переменные x и y.
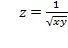
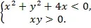
2. Найти область определения функции
.

Решение. Данная функция определена, когда xy > 0, т.е. в тех точках координатной плоскости, в которых знаки координат x и y - одинаковы. Это будут точки, лежащие в I и III координатных четвертях, т.е. множество точек, удовлетворяющих условиям:
и ![]()

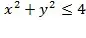
3. Найти область определения функции
.
Решение. Данная функция определена при условии, когда
т.е.
. Это
множество точек, лежащих внутри круга с центром в начале координат, радиус которого равен 2.
Изобразить на координатной плоскости Оху область определения функции
.

Решение. Подкоренное выражение должно быть неотрицательно, т.е.
следовательно,
. Геометрическим решением неравенства служит полуплоскость, расположенная выше прямой
и сама прямая.
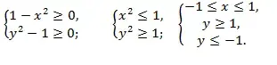
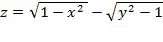
5. Найти область определения функции и изобразить её графически.
.
Решение. Областью определения функции
является множество точек плоскости, координаты которых удовлетворяют системе
неравенств:


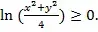
6. Изобразить на координатной плоскости Оху область определения функции![]()
Решение. Эта функция определена, когда подкоренное выражение неотрицательно, т.е.
Данным соотношениям удовлетворяют
координаты всех точек, находящихся внутри кольца, образованного двумя окружностями с центрами в начале координат и радиусами R=3, R=4.
7. Изобразить на координатной плоскости Оху область определения функции
.
Решение. Учащиеся не могут найти область определения данной функции аналитически, но с помощью графического редактора 3D Grapher 1.2 это выполняется легко.

В Приложении приведено ещё несколько примеров, с решениями, для учащихся девятых классов.
Для учащихся 10-11 классов мы предлагаем систему упражнений по нахождению и построению области определения функции двух переменных. При этом отрабатываются свойства логарифмических, тригонометрических и обратных тригонометрических функций. Данные упражнения можно использовать при изучении нового материала, при повторении, при решении уравнений и неравенств.
Найти и изобразить на плоскости область определения функции

![]()
Решение. Область определения функции есть пересечение областей определения слагаемых функции. Для первой функции подкоренное выражение должно быть неотрицательным, т.е.
Если значение логарифмической функции неотрицательно, то выражение, стоящее под знаком логарифма, должно быть больше или равно единице, т.е.
отсюда
. Это неравенство задает нам
множество точек плоскости, лежащих вне окружности с центром в начале координат, радиуса 2, включая и точки данной окружности. Вторая функция
определена при
Следовательно,
Имеем две параболы с вершиной в начале координат
. Поэтому полученное неравенство задает нам часть
плоскости, заключенную между этими параболами, включая границы без начала координат. Третья функция определена при ![]()
Областью определения данной функции является общая часть найденных областей определения слагаемых.
Покажите на координатной плоскости xOy область определения функции
.
Решение. Ограничения для функции имеют вид: ![]()



3. Изобразить область определения функции![]()
Решение. Эта функция определена при
, т.е.

![]()
Областью определения является часть плоскости, расположенная между двумя прямыми.
4. Найти область определения функции
.
Решение. Областью определения функции
является решение неравенства
. Поэтому нужно решить неравенство ![]()
Решая данное неравенство, получим
Это область, заключенная между двумя параболами
и
.

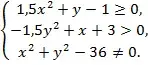
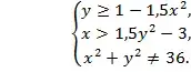
5. Построить область определения функции ![]()
Решение. Область определения данной функции определяется системой неравенств:

![]()
Первое неравенство определяет круг с центром в точке (-2;0) и радиусом равным 2 за исключением его границы: ![]()
Второе неравенство определяет I и III координатные четверти, за исключением осей.
В Приложении приведено ещё несколько примеров, с решениями, для учащихся десятых и одиннадцатых классов.
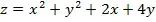
Рассмотрим задание С5, используя функцию двух переменных.
Найдите все значения параметра а, при которых система
, имеет ровно два решения.
Решение. Из второго уравнения находим y =
. Первое уравнение принимает вид
.
Пусть
. В этом случае уравнение
имеет
единственное решение
.
Запишем второе уравнение в виде
= 0. Его
дискриминант равен 4
, и он
положителен, поскольку
. Уравнение имеет два различных корня
и
Значит, в этом случае система имеет ровно два решения
и
.
Пусть теперь
1. В этом случае уравнение
если и имеет корни, то только больше единицы
Но тогда дискриминант уравнения
= 0 отрицателен. Решений нет.
Ответ:
.
С помощью графического редактора задаем функцию двух переменных
,
Находим значения а, при которых функция обращается в ноль.

На рисунке видно, что решением является интервал от 0 до 1.
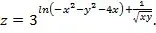
При подготовке учащихся к итоговой аттестации мы сталкиваемся с тем, что задания уровня С5 решаются тяжело и не сразу. А ведь это функция двух переменных! Оперирование геометрическими образами упрощает решение задач с параметрами, а в некоторых случаях геометрический подход часто является единственно возможным методом решения. В сборнике ЕГЭ-2011 предложено задание.
Найдите все значения а, такие, что для любого х выполняется неравенство
.
Решение. Рассмотрим функцию ![]()
Если
то
убывает.
Если
то
возрастает.
Значит, наименьшее значение функции
равно или
, или
. Поэтому решение задачи получаем из решения системы
![]()
Решений нет.

Ответ:
.
C помощью графического редактора мы построили график функции
и определили значение параметра а при
. График функции в системе координат выглядит следующим образом.

Список источников и литературы.
- Математика (математический анализ): учебно-методическое пособие для студентов нематематических специальностей / О.Ю. Ватюкова, Е.Е.Зайцева, Ю.В.Зайцева и др.; ВолГУ.-4-е изд., Волгоград: Волгоградское научное издательство, 2009. - 238с.
- Дифференциальное исчисление функций нескольких переменных: типовой расчет по высшей математике / Сост.: А. В. Анкилов, Н. Я. Горячева, Т. Б. Распутько.- Ульяновск: УлГТУ, 2004.-32 с.
- ЕГЭ 2011. Математика. Типовые тестовые задания / И.Р. Высоцкий, Д.Д. Гущин, П.И.Захаров, В.С. Панферов, и др.; под ред. А.Л. Семенова, И.В. Ященко. -М.: Издательство "Экзамен", 2011.-63с.
- Самое полное издание типовых вариантов реальных заданий ЕГЭ: 2010: Математика/авт.- сост. И.Р.Высоцкий, Д.Д. Гущин, П.И. Захаров и др.; под ред. А.Л. Семенова, И.В. Ященко. -М.: АСТ: Астрель, 2010.-93с.
- Мордкович А.Г. Алгебра . 9 класс. В 2 ч. Ч.1. Учебник для учащихся общеобразовательных учреждений / А.Г.Мордкович, П.В.Семенов .-11-е изд., стер. -М.: Мнемозина, 2009.-224 с.
- Смирнова И.М. Геометрия. 10-11 кл.: Учеб. для общеобразоват. учреждений (гуманитарный профиль).- М.: Мнемозина,2004. -223с.