Урок по теме "Тождественные преобразования рациональных выражений". 7-й класс
Цель: совершенствовать навыки действий с рациональными дробями; пропаганда проведения первых Зимних континентальных игр Республики Казахстан, принципов олимпийского движения и здорового образа жизни
Учебно-воспитательные задачи:
Образовательные: продолжить формирование системы знаний о способах преобразования рациональных выражений.
Развивающие: создать условия для: развития умения правильно оценивать свои знания на отдельных этапах урока; развития мышления и речи учащихся.
Воспитательные: воспитывать у школьников чувство национальной гордости за свою страну, патриотизм
Оборудование,наглядные пособия: интерактивная доска, мел, доска, компьютеры
Тип урока: урок закрепления знаний
Методы: наглядно-илюстративный, проблемно-поисковый, рассуждения.
Структура урока:
- Организационный этап. Мотивация. ( 2 мин.)
- Актуализация ведущих знаний в стандартной и измененной ситуации (5 мин.)
- Восприятие особенностей экскурсионных объектов, первичное осознание заложенной в них информации (8 мин.)
- Перенос приобретенных знаний и их применение в новых или измененных условиях с целью формирования умений. (20 мин.)
- Этап информации о домашнем задании (2 мин.)
- Подведение итогов урока (2 мин.)
- Этап рефлексии ( 1 мин.)
Девиз азиатских игр и урока
“Единство духа - единство целей!”
Ход урока
1. Организационный этап.
Психологическая мобилизация.
(Ознакомление с темой урока, постановка его целей)
На этом занятии продолжается изучение темы “Тождественные преобразования рациональных выражений”.
Совершенствуются и примененяются знания в новых или измененных условиях с целью формирования умений и навыков.
Методика “Приветствие”
Учитель предлагает учащимся встать в круг, взяться за руки. Учитель говорит:
“Представьте, что сейчас здесь находятся представители всех стран участниц зимних Азиатских игр. Поздоровайтесь так: аккуратно сожмите руки своих соседей. Почувствуйте, у кого они теплые, а у кого – холодные и их нужно согреть. Не размыкая рук, поздоровайтесь так: улыбнитесь сначала соседу слева, потом соседу справа. Не размыкая рук, поздоровайтесь так: подмигните соседу слева, а потом соседу справа так, как будто вы с ним уже знакомы.” По окончании учитель предлагает учащимся разомкнуть руки и занять места за партами.
2. Актуализация ведущих знаний в стандартной и измененной ситуации.
(систематизация знаний умений по пройденному материалу)
Повторяются и систематизируются знания и умения в процессе устного опроса правил.
1. Сформулируйте правило сложения и вычитания дробей с разными знаменателями;
2. Сформулируйте правило умножения дробей;
3. Сформулируйте правило деления дробей;
4. Сформулируйте правило возведения дроби в степень.
Мы повторили основные правила, а следующие задания на применение этих правил.
3. Восприятие особенностей экскурсионных объектов, первичное осознание заложенной в них информации.
Азиатские игры – это спортивные состязания, которые проводятся каждые четыре года среди спортсменов стран Азии. Азиатские игры еще называютАЗИАДЫ.

1-е зимние Азиатские игры проводились в ЯПОНИИ в 1986 году по 7 видам спорта.
Участвовали 7 стран.
2-е зимние Азиатские игры проводились в ЯПОНИИ в 1990 году по 6 видам спорта.
Участвовали 10 стран.
3-и зимние Азиатские игры проводились в КИТАЕ в 1996 годупо 7 видам спорта.
Участвовали 16 стран.
4-е зимние Азиатские игры проводились в КОРЕЕ в 1999 годупо 7 видам спорта.
Участвовали 21 страна.
5-е зимние Азиатские игры проводились в ЯПОНИИ в 2003 году по 11 видам спорта.
Участвовали 17 стран.
6-е зимние Азиатские игры проводились в КИТАЕ в 2007 году по 10 видам спорта.
Участвовали 45 стран.
7-е зимние Азиатские игры проводятся в Казахстане в 2011 году по 11 видам спорта.
Участвуют 30 стран.
4 этап. Перенос приобретенных знаний и их применение в новых или измененных условиях с целью формирования умений.
(продолжение презентации)
Повторяются и систематизируются знания и умения в процессе решения упражнений, записанных на интерактивной доске.
Медеу — самый высокогорный комплекс в мире для зимних видов спорта с самой большой площадью искусственного ледового поля — 10,5 тыс.м2.
Задание 1. Проверьте равенства и ответьте на вопрос: “ На какой высоте над уровнем моря находится данный высокогорный комплекс?”

По количеству верных ответов найти высоту.
1690 1691 1700 3 4 5
Ответ: на высоте 1691 метр над уровнем моря.
Медеу — спортивный комплекс, построенный в горном урочище Медеу на высоте 1691 метр над уровнем моря, вблизи южной столицы Казахстана— города Алматы.
Обратим внимание на следующий пейзаж.
Горнолыжный курорт “Шымбулак” расположен в живописном ущелье Заилийского Алатау на высоте 2260 м над уровнем моря в 25 км от центра города Алматы.
Задание 2. Найти значение выражения и ответить на вопрос: “На какую высоту можно подняться по подъемникам?”
Найти значение выражения при m=1, n=6325 и ![]()

Ответ: на высоте 3163 метра над уровнем моря.
На высоту 3163 метра над уровнем моря стартуют вверх подъемники. Справа и слева перед вами http://www.shimbulak.kz/UserFiles/Image/about_2.jpg предстают величественные горы со снежными склонами и вечно зелеными тянь-шаньскими елями. В течение всего сезона на Шымбулаке проводятся профессиональные и любительские соревнования.
Конькобежный стадион находится в левобережной части г. Астана. Здание конькобежного стадиона общей площадью более 40 000 квадратных метров трапециевидное в плане, состоит из крытой арены с трибунами на 8773 посадочных мест и вспомогательными помещениями, пристроенных зданий: гостиницы, администрации, объединенных кровлей в единый комплекс.
Задание 3.На первом этаже расположена ледовая арена, рассчитанная на две конькобежные дорожки: основная и разминочная. Найти длину этих дорожек.

![]()
![]()
Сравните значения выражений А и В при р=400, и вы узнаете длину этих дорожек
Ответ: 400 метров.
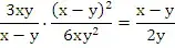
Задание 4. Какая максимальная длина трассы для биатлона?
Комплекс лыжного и биатлонного стадионов в Солдатском ущелье Талгарского района Алматинской области.

Чтобы узнать какая максимальная длина трассы для биатлона, надо
найти значение дроби
..
Ответ: 4 метра.
Задание 5. Узнать, где будут проходить игры по хоккею с шайбой надо упростить выражение.
![]()
Ответ: 2х2+2ху
Дворец спорта “Казахстан” введен в эксплуатацию в 2001 году. В дни Азиады на спорткомплексе пройдут соревнования по хоккею с мячом (бенди).
5. Информации о домашнем задании.
Обеспечить понимание учащимися цели, содержание и способов выполнения домашнего задания.
На дом задается упражнения:
- “Дерзай” № 290
- “Стремись” № 291
- “Покоряй” № 292
Обращается большое внимание на то, что необходимо знать правила сложения и вычитания многочленов и уметь применять их при решении задач.
6. Подведение итогов урока.
Дать оценку работы класса и отдельных учащихся. Итоги урока подводятся оценкой знаний отвечавших учеников, письменными и устными ответами у доски и на рабочих местах.
7. Рефлексия. Методика “Заверши фразу” (устно, по цепочке): Сегодня я...
В Толковом Словаре Ожегова читаем: “преобразовать - совершенно переделать, превратить из одного вида в другой, из одной формы в другую…, изменить к лучшему”
Девиз эстафеты Олимпийского огня – “Огонь новых побед!”
На протяжении урока учащиеся заполняют следующий лист опроса. После выполнения каждого вида задания они проставляют себе баллы: если выполнил первым, то 5 баллов; если выполнил вторым или третьим, то 4 балла; если четвертым или пятым, то 3 балла, но, а если не успел за выше стоящими, то 2 балла.
Лист опроса для детей
Фамилия ученика _________________
| № задания | Вопрос задания | Балл |
| Медео | На какой высоте находиться данный комплекс? | |
| Шымбулак | На какую высоту можно подняться по подъемникам? | |
| Конькобежный стадион | Найти длину дорожек. | |
| Лыжно-биатлонный стадион | Какая максимальная длина трассы для биатлона? | |
| Дворец спорта “Казахстан” | Где проходят игры по хоккею с шайбой? | |
| Итого баллов | ||
| Оценка |
Критерии оценивания:
- 22-25 баллов “5”
- 18-21 баллов “4”
- 15-17 баллов “3”
- Ниже 15 баллов “2”
Литература.
1. Макарычев Ю. Н., Миндюк Н.Г., Нешков К.И., Феоктистов И.Е. Алгебра: Учеб.для учащихся общеобразоват. учреждений. 8 кл. – 10-е изд.- М.: Мнемозина, 2010.
2. Макарычев Ю. Н., Миндюк Н.Г., Нешков К.И., Алгебра: Учеб.для 8 кл. с угл. изучением математики – 6-е изд.- М.: Мнемозина, 2006.