Тема урока: "Иррациональные уравнения"
Важным моментом в подготовке к итоговой аттестации является организация обобщающего повторения. Умения решать уравнения отрабатывается в течение всего школьного курса математики. Иррациональные уравнения, как правило, вызывают затруднения, поэтому требуют хорошего знания теоретического материала, умения проводить исследования различных ситуаций.
Большинство ошибок связано с формальным и поверхностным усвоением учащимися основных понятий и методов решения иррациональных уравнений. У большинства учащихся единственным устойчивым знанием является применение метода возведения обеих частей уравнения в одну и ту же степень, при этом часто забывают делать проверку найденных корней. Для многих этот метод является единственным.
Предлагаемый материал позволяет следующие:
- возместить отсутствие единого обобщения по данной теме в курсе алгебры 11-го класса;
- повторить основные теоретические понятия;
- закрепить основные способы решения иррациональных уравнений;
- закрепить нестандартные способы решения иррациональных уравнений.
Иррациональные уравнения.
Определение. Уравнение с одной переменной f(x)=g(x) называется иррациональным, если хотя бы одна функция f(x) или g(x) содержит переменную x под знаком радикала.
При решении иррациональных уравнений используют тождественные преобразования, применяют метод возведения обеих частей уравнения в одну и ту же степень, а также метод введения новых переменных.
Теорема. Если возвести обе части уравнения f(x)=g(x) в натуральную степень n, то полученное уравнение fn(x)=gn(x) является следствием данного уравнения.
Основными причинами появления посторонних корней является возведение обеих частей уравнения в одну и ту же чётную степень, расширение области определения и др. По этим причинам необходимой частью решения иррационального уравнения является проверка, либо использование области определения заданного уравнения.
1. Метод возведения обеих частей уравнения в одну и ту же степень.
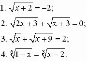
Пример 1. Решить уравнение ![]()
Решение. Возведя обе части уравнения в квадрат, получим

Сделав проверку, убеждаемся, что оба они являются его корнями. Это уравнение служит примером того, что возведение в квадрат исходного уравнения не всегда приводит к появлению посторонних корней.
Ответ: ![]()
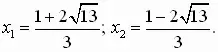
Пример 2. Решить уравнение ![]()
Решение. Найдём область определения уравнения: [2; ?). Возведём обе части уравнения в квадрат, уединим затем полученный радикал и возведём ещё раз в квадрат. Получим корни
уравнения 
После проверки получим корень уравнения 
Ответ: 
Пример 3. Решить уравнение ![]()
Решение. Уравнение перепишем так:
Возведём обе части в квадрат, получим ![]()
![]()
x=2 проверить нетрудно, а
проверять громоздко. Однако заметим, что
при этом значении отрицательно. Значит,
не является решением уравнения.
Ответ: х=2.
2. Метод введения новых переменных.
Пример 4. Решить уравнение ![]()
Решение. Умножив обе части уравнения на 2, получим:

Обозначив
получим:
![]()
Далее, 
Ответ: ![]()
Пример 5. Решить уравнение: ![]()
Решение. Обозначим
тогда ![]()
Составим систему уравнений:

Решением системы является (0; 2) и (2; 0). Таким образом, решение данного уравнения свелось к решению следующей совокупности систем уравнений:
и 
Решив эту совокупность, находим ![]()
Ответ: -15; 1.
3. Искусственные приёмы решения иррациональных уравнений.
Пример 6. Решить уравнение ![]()
Решение. Умножим обе части уравнения на выражение ![]()
После преобразования уравнение примет вид:
![]()
- корень уравнения. Теперь решим уравнение
![]()
Почленно сложив это уравнение с данным, придем к уравнению:
![]()
Решая это уравнение методом возведения в квадрат, получим
Но, х=-4 посторонний корень.
Ответ: 0; 4.
Заменой неизвестной величины решение иррациональных уравнений можно свести к решению тригонометрических уравнений.
При этом полезно помнить:
Если в уравнение входит
то замена
или ![]()
Если в уравнение входит
то замена ![]()
Если в уравнение входит
то
или ![]()
Пример 7. Решить уравнение 
Решение. Сделаем замену
получим:
![]()
Так как
то ![]()
и ![]()
Учитывая, что
получим
Поэтому, ![]()
Ответ: ![]()
4. Использование монотонности функции.
Иногда при решении уравнений не видно преобразований, которые позволяют увидеть замену или применить один из известных способов, хотя сразу виден один или более корней.
Пример 8. Решить уравнение ![]()
Можно решить это уравнение путем двукратного возведения в квадрат. Но рассмотрим другой метод:
Подберём один или несколько корней уравнения.
Докажем, что других корней нет или найти остальные корни.
После проверки
- корень уравнения. Так как функция
возрастает
в области определения, а монотонная функция принимает каждое своё значения один раз, то других корней уравнение не имеет.
Ответ:1.
Пример 9. Решить уравнение ![]()
Решение. При проверке
- корень уравнения. Для того, чтобы использовать свойство монотонности функции,
преобразуем левую часть уравнения.

Так как функция
убывает в области определения, то
-
единственный корень.
Ответ: 1.
Устно.
Доказать, что уравнения не имеют корней:

Дополнительные уравнения.
1.
Ответ: 4. Новые переменные.
2.
Ответ: 6. Возведение в квадрат.
3.
Ответ: 0. Возведение в квадрат.
4.
Ответ: -2; 2. Искусственный способ.
5.
Ответ 0; 2. Замена.
6.
Ответ:
Замена.
7.
Ответ:
К тригонометрическому уравнению.
8. Сколько корней на
имеет уравнение ![]()
Ответ: 3 корня..
9.
Ответ: 1. Монотонность.
10.
Ответ: 1. Монотонность.
Материалы этой статьи будут полезны при подготовке к итоговой аттестации и ЕГЭ, а также при изучении данной темы.