Проект урока по теме "Линейная функция"
Одной из технологий, рекомендуемых для организации учебного процесса, ориентируемой на организацию системно-деятельностного подхода является технология развивающего обучения Д.Б.Эльконина-В.В.Давыдова, в которой все содержание строится на системе научно-теоретических понятий, которые формируются в учебной деятельности, разворачиваемой в форме коллективно-распределительной деятельности.
Логика разворачивания предметного содержания в рамках учебной деятельности определила последовательность этапов работы учителя, которая выражается в особых типах уроков, характерных только для системы РО Д.Б.Эльконина-В.В.Давыдова.
- Урок постановки учебной задачи;
- Урок моделирования";
- Урок конструирования;
- Урок конкретизации открытого способа;
- Урок контроля;
- Урок оценки.
Среди уроков контроля можно выделить урок проверочной работы, направленный на определение уровня освоения знаний с использованием известных учащимся способов (понятий), на формирование действий контроля и оценки, рефлексивных действий, обеспечивающий формирование важнейшей компетенции личности - умения учиться.
|
Технологическая карта урока контроля |
||||
|
Тема урока |
Линейные уравнения. |
Класс |
7 |
|
| Цели урока: |
Проверка усвоения учащимися знаний, умений и навыков по теме "Линейная функция" с использованием известных учащимся способов (понятий), ликвидация пробелов в знаниях учащихся по
данной теме. Формировать умение ясно, точно, грамотно излагать свои мысли в устной и письменной форме.
Формировать умения сотрудничества. Формировать умения контролировать и оценивать свою работу. |
|||
| Основное содержание темы | Проверочная работа | |||
| Термины и понятия | понятие линейного уравнения, способ его решения, корень уравнения. | |||
|
Планируемые образовательные результаты |
||||
|
Личностные |
Метапредметные |
Предметные |
||
|
Познавательные:
Регулятивные:
Коммуникативные:
|
Уметь работать с математическим текстом:
|
||
|
Ресурсы
Информационный материал: Учебник "Алгебра.7класс" В 2 ч. А.Г.Мордкович и др.- 11-е изд.,стер.- М.:Мнемозина,2009. Наглядный материал: Раздаточный материал: тексты заданий. |
Форма работы:
|
|||
Проект урока
| Предмет | Алгебра | |
| Класс | 7 "в" | |
| Учитель | Грушенкова Галина Николаевна | |
| Тема урока | "Линейное уравнение" | |
| Цель урока |
|
|
| Задачи |
|
|
| Место данного урока в теме | На предыдущих уроках учащиеся ввели понятие линейного уравнения и сконструировали способ его решения, решали линейные уравнения, а также уравнения, сводящиеся к ним. Решали текстовые задачи алгебраическим способом: переходить от словесной формулировки условия задачи к алгебраической модели путем составления уравнения. Один из заключительных уроков этапа решения частных задач. | |
| Этапы урока |
I этап - выполнение проверочной работы ( рассчитан на целый урок (прогностическая оценка, непосредственное выполнение работы)).
1. Решите уравнение:
2. В первом вагоне в 1,5 раза больше груза, чем во втором. После того, как из первого вагона выгрузили 5,8 т, то в нем стало на 14,8т больше, чем во втором. Сколько тонн груза было в каждом первоначально? 3. Найдите значение переменной, при котором значение выражения 5у+4 на 18 меньше удвоенного значения выражения 4-у. 4. Решите уравнение:
5. При каком а уравнение ах-4=2х-1 не имеет решения? |
Действия учителя:
Выдает учащимся тексты работ, обязательно распечатанные на каждого ученика, где с левой стороны имеются поля. Действия ученика:
|
| II этап - проверка учителем результатов данной работы. |
Действия учителя:
Действия ученика: ---- |
|
|
III этап - индивидуальная работа учащихся с текстом второй работы, коллективное, обсуждение результатов II работы, вторичный контроль I работы, оценивание.
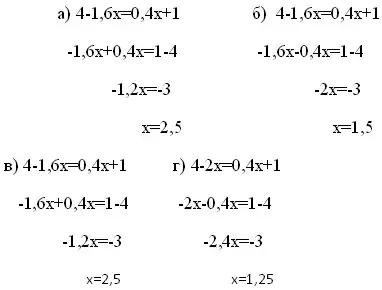
Проверочная работа Ученики 7а класса решали одни и те же примеры по-разному. С какими из приведенных решений ты согласен, с какими нет? Неправильные с твоей точки зрения решения зачеркни, постарайся кратко сформулировать в чем состоит ошибка. Самое хорошее решение отметь галочкой. 1.Решите уравнение 0,8(5-2х)=0,4х+1
2.Какое уравнение равносильно 2х-5/5=2х+1/7? а) 5(2х-5)=7(2х+1)
3. При каком значении переменной выражение 2(7-5х) на 9 меньше выражения 3х+2? Выбери верно составленное выражение: а) 2(7-5х)-(3х+2)=9
4. I число в 11 раз меньше, чем II. Если к I числу добавить 2,8 ,а от II отнять 6, то I число будет меньше II на 7. Найдите I число. Выбери верно составленное уравнение.
5. Решите уравнение: ||2x-1|-3|=5
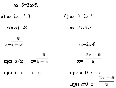
6. Найдите решение уравнения при каждом значении параметра а:
|
Действия учителя:
Действия ученика:
|
|
| IV этап - коллективное обсуждение результатов второй работы. Выясняются основания правильного выбора, выслушиваются аргументы против других вариантов. |
Действия учителя:
Действия ученика:
|
|
| V этап - учащимся выдается на руки их первая работа. Ставится задача найти возможные ошибки, т.е. проводится вторичный контроль. |
Действия учителя:
Действия ученика:
|
|
|
IV этап - домашнее задание.
Составить контрольную работу по теме: "Линейные уравнения". |
Действия учителя:
Действия ученика:
|
|
|
VII этап- итог урока.
(Что можно посоветовать ученику, который будет выполнять подобную работу?) |
Действия учителя:
Действия ученика: 1.Рефлексирует способы решения предложенных задач. |
|
Только после вторичной проверки учитель уже может править работу и оценивать. И если после вторичной проверки у ребенка остаются ошибки, это говорит о том, что у данного ученика они носят устойчивый характер и требуют серьезной отработки и коррекции. Учитель проводит сравнительный анализ выполнения первой и второй работы с целью выявления возможностей детей корректировать свою деятельность. Качество выполнения работы определяется в процентах, результат выставляется в классный журнал и оценочный лист учащегося.
Результат:
- Ученику предоставляется право взглянуть на свою ошибку как бы "со стороны", как на чужую, что облегчает уяснение сущности ошибки.
- Учащиеся, не справившиеся с заданием в первой работе, как правило, оказываются в состоянии выделить правильное решение из предложенных заданий и обосновать свой выбор.
Литература:
- Воронцов А.Б. Практика развивающего обучения по системе Д.Б. Эльконина-В.В. Давыдова. - М.: ЦПРУ "Развитие личности", 1998. - 360 с.
- Давыдов В.В. Теория развивающего обучения. - М.: Интор, 1996. - 544 с.
- Далингер В.А. Системно-деятельностный подход к обучению математике // Наука и эпоха: монография / под ред. О.И. Кирикова. - Воронеж: Изд-во ВГПУ, 2011. - С. 230-243.




