Решение задач по темам "Расстояние от точки до плоскости в пространстве" и "Расстояние от точки до прямой в пространстве"
Расстояние от точки до прямой в пространстве
Расстояние от точки до плоскости в пространстве – это длина перпендикуляра, опущенного из этой точки на плоскость.
Алгоритм нахождения расстояния от точки до плоскости:
- Через точку проводим плоскость перпендикулярную данной плоскости. Для этого, на данной плоскости выбираем прямую. К этой прямой проводим две перпендикулярные прямые, образующие плоскость, проходящую через данную точку. Построенная плоскость и данная перпендикулярны по признаку перпендикулярности плоскостей.
- В этой плоскости из данной точки опускаем перпендикуляр на линию пересечения плоскостей.
- Длина перпендикуляра является искомым расстоянием от точки до плоскости.
| 1.
|
В кубе На данной плоскости Ответ: ВО=1. |
|
| 2.
|
В кубе На данной плоскости Ответ: ВО=1. |
|
| 3.
|
В единичном кубе найдите расстояние от
точки В до плоскости На данной плоскости
Ответ: |
|
| 4.
|
В единичном кубе На данной плоскости
Ответ: |
|
| 5.
|
В единичном кубе На данной плоскости
Ответ: |
|
| 6.
|
В единичном кубе Это тот случай, когда нужно сместить точку
В по прямой DB параллельной
Ответ: |
|
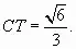
| 7.
|
В единичном тетраэдре DABC найдите расстояние от точки C до плоскости ADB. Проведем плоскость, проходящую через данную точку С и перпендикулярную плоскости ADB . Для этого в плоскоcти ADB выберем прямую АВ и к ней проведем две перпендикулярные прямые, образующие плоскость проходящую через точку С и перпендикулярную плоскости ADB по признаку перпендикулярности плоскостей. Одна прямая СК – высота треугольника АВС, вторая – DК, перпендикулярная АВ по теореме о трех перпендикулярах. В треугольнике DКС опустим перпендикуляр СТ на линию пересечения этих плоскостей DК . Длина СТ искомое расстояние.
Ответ: |
|
| 8.
|
В единичном тетраэдре DABC точка Е-середина DC. Найдите расстояние от точки D до плоскости АВЕ. Треугольники ADC и BDC равносторонние, поэтому высоты этих треугольников AЕ и BЕ, опущенные на общую сторону DC имеют общее основание Е. DE перпендикулярна AЕ и BЕ, поэтому DE перпендикулярна плоскости ABE по признаку перпендикулярности прямой и плоскости. DE является расстоянием от точки D до плоскости ABE. Ответ: DE =0,5. |
|
| 9.
|
В правильной четырехугольной пирамиде
SABCD, все ребра которой равны Для определения искомого расстояния нужно через точку В провести плоскость перпендикулярную плоскости SDC. В данной задаче удобнее определить искомое расстояние от точки К, лежащей на прямой АВ параллельной плоскости SDC и являющейся серединой ребра АВ. Через точку К проводим плоскость перпендикулярную плоскости SDC . Для этого проведем прямую КМ перпендикулярную DC и прямую SM перпендикулярную DM . SM перпендикулярна DM по теореме о трех перпендикулярах. Получили плоскость KSM перпендикулярную плоскости SDC . Из точки К опускаем перпендикуляр КТ на линию пересечения плоскостей SM. Длина КТ есть искомое расстояние.
Ответ: |
|
|
10.
|
В правильной четырехугольной пирамиде найти расстояние от точки D до плоскости SKM, где К и М – середины ребер АВ и ВС соответственно. Необходимо через точку D провести
плоскость перпендикулярную данной SKM. Для этого на
плоскости KMS выбираем прямую КМ, перпендикулярно
которой проводим две пересекающиеся прямые BD и SN.
Прямые BD, SN и данная точка D лежат в одной
плоскости SND. Плоскость SND перпендикулярна данной
SKM по признаку перпендикулярности плоскостей (
Ответ: |
|
| 11.
|
В правильной четырехугольной пирамиде SABCD, все ребра которой равны 1, точка К – середина ребра SA. Найти расстояние от точки C до плоскости KDB. Необходимо провести плоскость перпендикулярную
DKB и проходящую через точку С. Для этого на
плоскости DKB выбираем прямую DB и перпендикулярно ей
проводим две пересекающиеся прямые АС и КО.
Ответ: |
|
Решение задач по теме "Расстояние от точки до прямой в пространстве" читайте здесь





.











