"Решение систем линейных уравнений". 7-й класс
Скачать презентацию (4.32 МБ)
Тип урока: обобщающий урок.
Вид урока: урок закрепления умений и навыков.
Оборудование: мультимедийная установка, плакаты: Периодическая система элементов Д.И. Менделеева, система кровообращения человека, солнечная система, физическая система СИ, соединительные союзы русского языка.
Цели урока.
1. Содействовать обобщению и систематизации знаний учащихся по теме “Решение систем уравнений”; продолжить закрепление следующих умений: решение систем уравнений графическим способом, способом подстановки, способом сложения (вычитания).
2. Развитие познавательного интереса, совершенствовать навыки решения систем уравнений.
3. Связать математику с другими предметами.
4. Обобщить знания основного программного материала.
Задачи урока.
Воспитательная - формирование нравственных убеждений.
Развивающая – развитие внимания и логического мышления, памяти.
Учебная – обобщить и повторить знания по применению в реальной жизни темы данного урока.
Ход урока
Эпиграф к уроку: “Считай несчастным тот день и тот час, в который ты не усвоил ничего нового и ничего не прибавил к своему образованию” Я.А. Каменский.
I. Организационный момент.
Сегодня на уроке мы должны обобщить весь материал § 16 “Решение систем линейных уравнений”, совершенствовать навыки решения систем уравнений.
1) способ подстановки; 2) способ сложения (вычитания); 3) графическим способом.
II. Проверка домашнего задания. Проверяются решения домашних задач.
III. Фронтальная работа с классом:
Учитель рассказывает о системах окружающих нас в повседневной жизни. Ученики вспоминают о предметах, где они встречали системы. Это предметы: русский язык (соединительные союзы), биология (система кровообращения человека), физика (система СИ), химия (периодическая система элементов), астрономия (солнечная система). Материал закрепляется слайдами из приложения № 1. Слайд № 3-8.
Теоретический опрос: один из учащихся читает контрольный вопрос, располагающийся в учебнике на стр. 198.
1. Дайте определение линейного уравнения с двумя переменными;
2. Что называют решением уравнения с двумя переменными?
3.Что является графиком уравнения ax+by=c, где х, y переменные,
а
0, b
0.
4. Если говорят, что задана система уравнений, что это значит?
5. Что является решением системы линейного уравнения с двумя переменными?
6. Что, значит, решить систему линейного уравнения с двумя переменными?
7. Сколько решений может иметь система линейного уравнения с двумя переменными?
Каждый вопрос сопровождается мультимедийным ответом. Приложение № 1. Слайд № 9,10.
Теоретический материал закрепляется тестом, сопровождаемый взаимопроверкой. Приложение № 1. Слайд № 11.
Тест
1. Какие из перечисленных уравнений являются линейными?
2. Какая пара чисел является решением уравнения 3х-2у=5?
3. Какая пара чисел является решением системы:
4. Какая из перечисленных систем имеет одно решение?
5. Какая из перечисленных систем имеет бесконечно много решений?
6. Какая из перечисленных систем не имеет решения?
Взаимопроверка теста учениками, решение комментируется.
Учитель сообщает, что система, не имеющая решений, называется несовместной.
7. В заданиях теста найдите несовместную систему?
IV. Закрепление изученного материала. Слайд № 12-14. Данную систему решаем
![]()
Графическим способом.
Построить в координатной плоскости графики уравнений системы.
Если прямые, являющиеся графиками линейных функций пересекаются, значит, система имеет единственное решение.

Если прямые параллельны, то система не имеет решений.
Если прямые совпадают, то система имеет бесконечно много решений.

Способом подстановки.
Выражают из какого-нибудь уравнения системы одну переменную через другую;
![]()
Подставляют в другое уравнение системы вместо этой переменной полученное выражение;
![]()
Решают получившиеся уравнение с одной переменной;
![]()
Находят соответствующее значение второй переменной.
![]()
Способом сложения.
Умножают почленно уравнения системы, подбирая множители так, чтобы коэффициенты при одной из переменных стали противоположными числами;

Складывают почленно левые и правые части уравнений системы;
![]()
Решают получившееся уравнение с одной переменной. 11х = -22, х = - 2
Находят соответствующее значение второй переменной.
![]()
Записываем ответ. (-2; 3)
У доски прорешиваются задания графическим способом, где есть несовместная система.
![]()

Способом подстановки решается задача № 1174.
Способом сложения решается задача № 1180.
Самостоятельная работа
Уровень А.
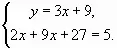
1. Решите систему способом подстановки:
![]()
![]()
2. Решите систему способом сложения:
![]()
![]()
3. Решите задачу.
Периметр прямоугольника равен 26 см. Периметр прямоугольника равен 16 см.
Его длина на 3 см больше ширины. Его ширина на 4 см меньше длины.
Найдите стороны прямоугольника. Найдите стороны прямоугольника.
Уровень Б.
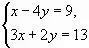
1. Решите систему способом подстановки:
![]()
![]()
2. Решите систему способом сложения:
![]()
![]()
3. Решите задачу.
- Туристическую группу из 42 человек Расселили в двух- и трехместные номера. Всего было занято 16 номеров. Сколько среди них было двухместных и сколько трехместных?
- За покупку канцтоваров на сумму 65 коп. Таня расплатилась пяти- и десятикопеечными монетами. Всего она отдала 9 монет. Сколько среди них было пятикопеечных и сколько десятикопеечных?
Ответы каждого задания располагаются на карточках определённого цвета, которые нужно сложить на край парты в порядке выполнения задания. Среди предоставленных карточках есть лишние.
Результатом самостоятельной работы является триколлор флагов РТ и РФ. Учитель комментирует результаты самостоятельной работы. Приложение № 1. Слайд № 16, 17.
Белый, синий и красный цвета с древних времен на Руси означали:
- белый цвет - благородство и откровенность;
- синий цвет - верность, честность, безупречность и целомудрие;
- красный цвет - мужество, смелость, великодушие и любовь.
Цвета Государственного флага Республики Татарстан означают:
- зеленый - зелень весны, возрождение;
- белый - цвет чистоты;
- красный - зрелость, энергия, сила, жизнь.
Автором Государственного флага Республики Татарстан является народный художник Республики Татарстан, лауреат Государственной премии имени Г. Тукая Тавиль Гиниатович Хазиахметов.
V. Подведение итогов урока.
Учащимся выставляются оценки, комментируется домашняя работа.