Практикум "Способы определения коэффициента трения скольжения"
(Занятие каникулярной школы для учащихся 8-9 кл.)
Цель:
- Активизация мыслительной деятельности учащихся.
- Формирование обобщенного умения проводить физические измерения.
- Формирование обобщенного умения проводить экспериментальную проверку физических закономерностей.
- Формирование умения систематизировать полученные результаты в виде таблицы, умение делать вывод на основе эксперимента.
Организация проведения практикума: Все учащиеся принимающие участие в работе практикума делятся на группы. Каждая группа учащихся получает задание с кратким описанием работы.
По окончании выполнения работы учащимся необходимо составить отчет. Отчет состоит из таблицы, вычисления искомой величины и ее погрешности, вывода по работе.
Ход работы
I. Вступительное слово учителя:
Если положить на горизонтальную поверхность брусок и подействовать на него с достаточной силой в горизонтальном направлении, то брусок станет двигаться. Нетрудно убедиться, что в этом случае на брусок действуют четыре силы: в вертикальном направлении - сила тяжести P и сила реакции опоры Q, равные по модулю противоположные по направлению; в горизонтальном направлении - сила тяги F и противоположная по направлению сила трения Fmp.
Чтобы брусок двигался равномерно и прямолинейно, нужно, чтобы модуль силы тяги был равен модулю силы трения.
На этом основан метод измерения силы трения. Следует приложить к бруску силу тяги, которая будет поддерживать равномерное прямолинейное движение этого тела. По этой силе тяги определяют модуль силы трения.
II. Практикум.
Задание группе I.
Определите коэффициент трения скольжения при движении бруска по горизонтальной поверхности стола.
Оборудование: трибометр, деревянная линейка, деревянный бруска с тремя отверстиями; динамометр; набор грузов по механике.
Порядок выполнения работы.
- Вычислите цену деления шкалы динамометра.
- Измерьте вес бруска при помощи динамометра. Результат измерения веса запишите в таблицу.
- Измерьте силу трения скольжения бруска с грузами по столу. Для этого перемещайте брусок с грузами равномерно по столу при помощи динамометра.
- Результат измерения запишите в таблицу.
- Нагружая брусок одним, двумя и тремя грузами, измерьте в каждом случае силу трения. Данные занесите в таблицу.
- Вычислите коэффициент трения скольжения
- Определите инструментальную погрешность коэффициента трения.
- Сделайте вывод.
Легко убедиться, что в случае движения тела по горизонтальной поверхности сила нормального давления равна силе тяжести, действующей на это тело: N = P. Это позволяет вычислить коэффициент трения:
![]()
Цена деления шкалы динамометра, ц.д = 0,1 Н.
1. Определили вес бруска и груза с помощью динамометра, записали в таблицу.
2. Двигая брусок равномерно по деревянной линейке, определили силу тяги, которая равна силе трения. Записали ее значение в таблицу.
| Количество грузов | Fтр, H | P, H | µ |
| Без груза | 0,6 ± 0,1 | ||
| Один груз | 0,3 ± 0,1 | 1,6 ± 0,1 | 0,18 ± 0,06 |
| Два груза | 0,5 ± 0,1 | 2,6 ± 0,1 | 0,19 ± 0,04 |
| Три груза | 0,7 ± 0,1 | 3,6 ± 0,1 | 0,19 ± 0,03 |
3. Определили коэффициент трения для каждого измерения силы трения, занесли их в таблицу.

4. Определили погрешность измерения для каждого значения коэффициента силы трения.

Вывод:
1. Коэффициент трения равен 0,2.
2. Инструментальная погрешность измерения равна 0,06.
3. Коэффициент трения скольжения при взаимном движении тела по поверхности стола является величиной постоянной не зависящей от силы нормального давления.
2. Сравните коэффициент трения покоя, скольжения и качения. Сделайте вывод.
Оборудование: динамометр, брусок деревянный, грузы с двумя крючками - 2 шт., карандаши круглые - 2 шт.
Порядок выполнения работы.
1. Вычислите цену деления шкалы динамометра.
2. Измерьте вес бруска с двумя грузами при помощи динамометра. Результат измерения веса запишите в тетрадь.
3. Измерьте максимальную силу трения покоя бруска по столу. Для этого положите брусок на стол, а на брусок два груза; к бруску прицепите динамометр и приведите брусок с грузами в движение. Запишите показания динамометра, соответствующее началу движения бруска.
4. Измерьте силу трения скольжения бруска с грузами по столу. Для этого перемещайте брусок с грузами равномерно по столу при помощи динамометра. Результат измерения силы запишите в тетрадь.
5. Измерьте силу трения качения бруска по столу. Для этого положите брусок с двумя грузами на два круглых карандаша и перемещайте равномерно брусок по столу при помощи динамометра. Результат измерения силы запишите в тетрадь.
6. Сделайте вывод о том, какая сила больше:
а) вес тела или максимальная сила трения покоя?
б) максимальная сила трения покоя или сила трения скольжения?
в) сила трения скольжения или сила трения качения?
7. Сравните коэффициент трения покоя, трения скольжения и трения качения.
Цена деления шкалы динамометра, ц.д = 0,1 Н.
| Вид трения | Fтр, H | P, H | µ |
| Трение покоя | 0,9 ± 0,1 | 2,6 ± 0,1 | 0,35 |
| Трение скольжения | 0,5 ± 0,1 | 2,6 ± 0,1 | 0,19 |
| Трение качения | 0,1 ± 0,1 | 2,6 ± 0,1 | 0,04 |

Вывод:
а) Вес тела больше чем максимальная сила трения покоя.
б) Максимальная сила трения покоя больше чем сила трения скольжения.
в) Сила трения скольжения больше чем сила трения качения.
г) При неизменном весе тела, наименьшее значение коэффициент трения имеет при качении тела, а наибольшее в случае покоя.
3. Определите коэффициент трения скольжения при движении бруска вдоль поверхности резины, нешлифованной деревянной рейки, наждачной бумаги.
Оборудование: динамометр, брусок деревянный, грузы с двумя крючками - 2 шт., отрез линолеума, деревянная нешлифованная рейка, наждачная бумага.
Порядок выполнения работы.
1. Вычислите цену деления шкалы динамометра.
2. Измерьте вес бруска при помощи динамометра. Результат измерения веса запишите в таблицу.
3. Измерьте силу трения скольжения бруска с грузами по поверхности резины, деревянной нешлифованной линейки и по поверхности наждачной бумаги. Для этого перемещайте брусок с грузами равномерно по
столу при помощи динамометра. Результат измерения запишите в таблицу.
4. Вычислите коэффициент трения скольжения.
5. Сделайте вывод.
Цена деления шкалы динамометра, ц.д = 0,1 Н.
| Виды трущихся поверхностей | Fтр, H | P, H | µ |
| Дерево по дереву (гладкая поверхность) | 0,5 ± 0,1 | 2,6 ± 0,1 | 0,19 |
| Дерево по дереву (нешлифованная деревянная рейка) | 0,9 ± 0,1 | 2,6 ± 0,1 | 0, 35 |
| Дерево по линолеуму | 1,1 ± 0,1 | 2,6 ± 0,1 | 0, 42 |
| Дерево по наждачной бумаге | 2,6 ± 0,1 |
Вывод:
1. Сила трения:
а) зависит от рода трущихся поверхностей.
б) зависит от шероховатости трущихся поверхностей.
в) чем больше шероховатости поверхности, тем коэффициент трения больше.
2. Способы увеличения или уменьшения силы трения скольжения:
Увеличить: увеличить шероховатость трущихся поверхностей, насыпать между трущихся поверхностей частицы (стружку, опилки, песок).
Уменьшить: шлифовка, полировка трущихся поверхностей, нанесение смазки.
Задание группе II.
Измерение коэффициент трения скольжения, используя наклонную плоскость
Оборудование: линейка деревянная от трибометра, брусок деревянный, линейка измерительная, штатив.

Порядок выполнения работы.
1. Используя штатив, закрепите линейку под углом к столу.
2. Положите брусок на закрепленную под углом деревянную линейку.
3. Меняя угол наклона линейки, найдите такой максимальный угол, при котором брусок еще покоится.
4. Измерьте длину основания линейки и высоту подъема линейки.
5. Рассчитайте значение коэффициента трения скольжения дерева о дерево по формуле:
![]()
6. Рассчитайте погрешность измерения.
7. Вывод.

Экспериментальные данные.
Измерили высоту подъема и длину основания линейки.

Вывод:
1. Коэффициент трения равен 0,3.
2. Погрешность измерения равна 0,0016.
2. Измерение коэффициента трения скольжения, через опрокидывание бруска
Оборудование: брусок деревянный, линейка деревянная от трибометра, нить, линейка ученическая.
Порядок выполнения работы.
Теоретическое обоснование: Брусок с привязанной к длинной грани нитью поставьте торцом на горизонтальную поверхность стола и тяните за нить. Если нить закреплена невысоко над поверхностью стола, то брусок будет скользить. При определенной высоте h точки А крепления нити сила натяжения нити F опрокидывает брусок.

Условия равновесия для этого случая относительно точки - угла опрокидывания:
Fh - mga/2 = 0;
Согласно II закону Ньютона: F - Fтр = 0;
N - mg = 0.

Обработка результатов.
1. Рассчитайте по формуле значение коэффициента трения скольжения дерева о дерево.
2. Определите погрешность измерений.
3. Запишите полученный ответ с учетом допущенных погрешностей измерений.
4. Сделайте вывод.
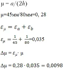
Экспериментальный расчет.
a = 45 ± 1 мм, h = 80 ± 1 мм.

Вывод:
1. Коэффициент трения равен 0,28.
2. Инструментальная погрешность измерения равна 0,0098.
3. Измерение коэффициента трения скольжения с помощью карандаша.
Оборудование: карандаш, линейка деревянная от трибометра, линейка ученическая.
Порядок выполнения работы.
Теоретическое обоснование: Поставьте карандаш на стол вертикально, нажмите на него, наклоните и наблюдайте характер его падения. При небольших углах наклона к вертикали карандаш не проскальзывает относительно поверхности стола при любой величине силы, прижимающей его к столу. Проскальзывание начинается с некоторого критического угла, зависящего от силы трения.
Записываем второй закон Ньютона в проекциях на координатные оси при угле наклона, равном критическому. (Силой тяжести mg, действующей на карандаш, по сравнению с большой силой F пренебрегаем).

Обработка результатов:
1. Рассчитайте по формуле значение коэффициента трения скольжения дерева о дерево.
2. Определите погрешность измерений.
3. Запишите полученный ответ с учетом допущенных погрешностей измерений.
4. Сделайте вывод.
Экспериментальный расчет.
1. Обработка результатов
α = 300,
µ= tgα = sina /cosa
µ = 0,58
Вывод:
1. Коэффициент трения равен 0,58.
III. Подведение итогов практикума:
Сила трения скольжения зависит:
а) От рода трущихся поверхностей.
б) От шероховатости трущихся поверхностей.
в) Прямо пропорционально от силы давления.
г) Коэффициент трения скольжения при взаимном движении тела по поверхности является величиной постоянной не зависящей от силы нормального давления.
д) Чем больше шероховатости поверхности, тем коэффициент трения больше.