Урок по теме "Решение квадратных уравнений". 8-й класс
Рассмотрим стандартные (изучаемые в школьном курсе математики) и нестандартные приёмы решения квадратных уравнений.
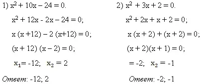
1. Разложение левой части квадратного уравнения на линейные множители.
Рассмотрим примеры:

3) х2 + 10х - 24 = 0.
6(х2 +
х -
х ) = 0 | : 6
х2 +
х -
х -
= 0;
х(х -
) +
(х -
) = 0;
х(х -
) (х +
) = 0;
=
-
.
Ответ:
; -
.
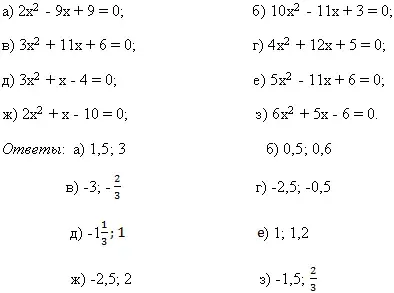
Для самостоятельной работы:
Решите квадратные уравнения, применяя метод разложения левой части квадратного уравнения на линейные множители.
|
а) х2 - х = 0;
г) х2 - 81 = 0; ж) х2 + 6х + 9 = 0; |
б) х2 + 2х = 0;
д) 4х2 - з) х2 + 4х + 3 = 0; |
в) 3х2 - 3х = 0;
е) х2 - 4х + 4 = 0; и) х2 + 2х - 3 = 0. |
Ответы:
|
а) 0; 1
г) ± 9 ж) - 3 |
б) -2; 0
д) з) -3; -1 |
в) 0; 1
е) 2 и) -3; -1 |
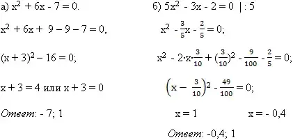
2. Метод выделения полного квадрата.
Рассмотрим примеры:

Для самостоятельной работы.
Решите квадратные уравнения, применяя метод выделения полного квадрата.

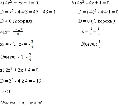
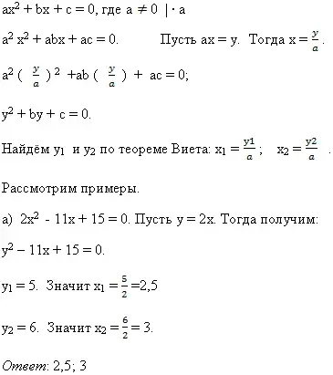
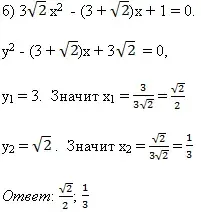
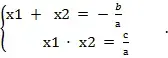
3. Решение квадратных уравнений по формуле.
ах2 + вх + с = 0, (а
| · 4а
4а2х2 + 4ав + 4ас = 0;
2ах + 2ах·2в + в2 - в2 + 4ас = 0;
2 = в2 - 4ас;
= ±
;
2ах = -в ±
;
х1,2 =
.
Рассмотрим примеры.

Для самостоятельной работы.
Решите квадратные уравнения, применяя формулу х1,2 =
.

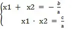
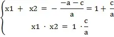
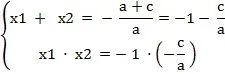
4. Решение квадратных уравнений с использованием теоремы Виета (прямой и обратной)
x2 + px +q = 0 - приведённое квадратное уравнение
по теореме Виета.
Если
то уравнение имеет два одинаковых корня по знаку и это зависит от коэффициента
.
Если
p
, то
.
Если
p
, то
.
Например:
![]()
Если
то уравнение имеет два различных по знаку корня, причём больший по модулю корень будет
, если p
и будет
, если p
.
Например:
![]()
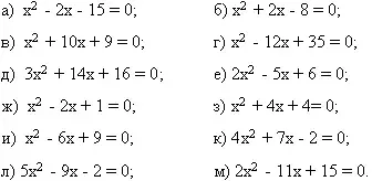
Для самостоятельной работы.
Не решая квадратного уравнения, по обратной теореме Виета определите знаки его корней:

Ответы:
а, б, к, л - различные корни;
в, д, з - отрицательные;
г, е, ж, и, м - положительные;
5. Решение квадратных уравнений методом "переброски".


Для самостоятельной работы.
Решите квадратные уравнения, применяя метод "переброски".

6. Решение квадратных уравнений с применением свойств его коэффициентов.
I. ax2 + bx + c = 0, где a
0
1) Если а + b + с = 0, то х1 = 1; х2 = ![]()
Доказательство:
ax2 + bx + c = 0 |: а
х2 +
х +
= 0.
По теореме Виета 
По условию а + b + с = 0, тогда b = -а - с. Далее получим

Из этого следует, что х1 =1; х2 =
. Что и требовалось доказать.
2) Если а - b + с = 0 (или b = а +с ) , то х1 = - 1; х2 = - ![]()
Доказательство:
По теореме Виета 
По условию а - b + с = 0 , т.е. b = а +с . Далее получим:

Поэтому х1 = - 1; х2 = -
.
Рассмотрим примеры.
1) 345 х2 - 137 х - 208 = 0.
а + b + с = 345 - 137 - 208 = 0
х1 = 1; х2 =
= ![]()
Ответ: 1; ![]()
2) 132 х2 - 247 х + 115 = 0.
а + b + с = 132 -247 -115 = 0.
х1 = 1; х2 =
= ![]()
Ответ: 1; ![]()
Для самостоятельной работы.
Применяя свойства коэффициентов квадратного уравнения, решите уравнения

II. ax2 + bx + c = 0, где a
0
х1,2 =
. Пусть b = 2k, т.е. чётное. Тогда получим
х1,2 =
=
=
=![]()
Рассмотрим пример:
3х2 - 14х + 16 = 0 .
D1 = (-7)2 - 3·16 = 49 - 48 = 1
х1,2 =
;
х1 =
= 2; х2 = ![]()
Ответ: 2; ![]()
Для самостоятельной работы.
а) 4х2 - 36х + 77 = 0
б) 15х2 - 22х - 37 = 0
в) 4х2 + 20х + 25 = 0
г) 9х2 - 12х + 4 = 0
Ответы:
а) 3,5; 5,5
б) -1; 2![]()
в) -2,5
г) ![]()
III. x2 + px + q = 0
х1,2 = -
±
2- q
Рассмотрим пример:
х2 - 14х - 15 = 0
х1,2 = 7
= 7 ![]()
х1 = -1; х2 = 15.
Ответ: -1; 15.
Для самостоятельной работы.
а) х2 - 8х - 9 = 0
б) х2 + 6х - 40 = 0
в) х2 + 18х + 81 = 0
г) х2 - 56х + 64 = 0
Ответы:
а) -1; 9
б) -10; 4
в) -9
г) 28
18![]()
7. Решение квадратного уравнения с помощью графиков.
Примеры.
а) х2 - 3х - 4 = 0
х2 = 3х + 4

Ответ: -1; 4
б) х2 - 2х + 1 = 0
х2 = 3х + 4

Ответ: 1
в) х2 - 2х + 5 = 0
х2 = 2х -5

Ответ: нет решений
Для самостоятельной работы.
Решить квадратные уравнения графически:

8. Решение квадратных уравнений с помощью циркуля и линейки.
ax2 + bx + c = 0,
х2 +
х +
= 0.
х1 и х2 - корни.

Пусть А(0; 1), С(0;![]()
По теореме о секущих:
ОВ
· ОД = ОА · ОС.
Поэтому имеем:
х1 · х2 = 1 · ОС;
ОС = х1 х2
К(
; 0), где
= -![]()
F(0;
) = (0;
) =
)
S(-
;
)
Итак:
1) Построим точку S(-
;
) - центр
окружности и точку А(0;1).
2) Проведём окружность с радиусом R = SA/
3) Абсциссы точек пересечения этой окружности с осью ох являются корнями исходного квадратного уравнения.
Возможны 3 случая:
1) R > SK (или R >
).
Окружность пересекает ось ох в точке В(х1; 0) и D(х2; 0), где х1 и х2 - корни квадратного уравнения ax2 + bx + c = 0.
2) R = SK (или R =
).
Окружность касается оси ох в тоске В1(х1; 0), где х1 - корень квадратного уравнения
ax2 + bx + c = 0.
3) R < SK (или R <
).
Окружность не имеет общих точек с осью ох, т.е. нет решений.

Примеры.
1) x2 - 2x - 3 = 0.
Центр S(-
;
),т.е.
х0 =
= -
= 1,
у0 =
=
= - 1.
(1; - 1) - центр окружности.
Проведём окружность (S; AS), где А(0; 1).

Ответ: х1 = - 1; х2 = 3.
2) x2 - 5x + 4 = 0.
х0 =
= -
= 2,5; у0
=
=
= 2,5.

Ответ: х1 = 1; х2 = 4.
3) x2 + 4x + 4 = 0.
х0 =
= -
= - 2,
у0 =
=
= 2,5

Ответ: х = -2.
4) x2 - 2x + 3 = 0.

х0 =
= -
= 1,
у0 =
=
= 2.
Ответ: нет решений.
Для самостоятельной работы.
Решить следующие квадратные уравнения с помощью циркуля и линейки:

9. Решение квадратных уравнений с помощью номограммы
Для решения используют Четырёхзначные математические таблицы В.М. Брадиса (таблица XXII, стр. 83).
Номограмма позволяет, не решая квадратного уравнения x2 + px + q = 0, по его коэффициентам определить корни уравнения. Например:

5) z2 + 4z + 3 = 0.
Оба корня отрицательные. Поэтому сделаем замену: z1 = - t. Получим новое уравнение:
t2 - 4t + 3 = 0.
t1 = 1 ; t2 = 3
z1 = - 1 ; z2 = - 3.
Ответ: - 3; - 1
6) Если коэффициенты p и q выходят за пределы шкалы, то выполняют подстановку z = k · t и решают с помощью номограммы уравнение: z2+ pz + q = 0.
к2 t2 + p· kt + q = 0. |: к2
t2 +
t +
= 0.
к берут с расчётом, чтобы имели место неравенства:

Для самостоятельной работы.
С помощью таблицы Брадиса решить следующие квадратные уравнения:

10. Геометрический метод решения квадратных уравнений
Рассмотрим примеры, которые решаются с помощью геометрии.
Пример 1. (из "Алгебры" ал-Хорезми)

х2 + 10х = 39.
10 : 4 = 2
;
· 2
= 6
.
SABCD = х2 + 4Sпр. + 4Sкв. = х2 + 4·2
х + 4 · 6
= х2 + 10х + 25.
Заменим х2 + 10х на 39.
SABCD = 39 + 25 = 64 = 82.
Значит сторона АВ = 8.
х= 8 - 2
- 2
=8 - 5 = 3.
х = 3
х1 + х2 = -10,
3 + х2 = -10,
х2 = -13.
Ответ: - 13
Пример 2. (решение уравнения древними греками)
у2 + 6у - 16 = 0.
у2 + 6у = 16, |+ 9
у2 + 6у + 9 = 16 + 9
(у + 3)2 = 25

у + 3 = ± 5,
у1 = 2, у2 = -8.
Ответ: -8; 2
Для самостоятельной работы.
Решите геометрически уравнение у2 - 6у - 16 = 0.
Ответ: - 2; 8.