Урок алгебры по теме "Свойства степени с натуральным показателем". 7-й класс
Цели урока:
- Образовательные: – отработка умений систематизировать, обобщать знания о степени с натуральным показателем, закрепить и усовершенствовать навыки простейших преобразований выражений, содержащих степени с натуральным показателем.
- Воспитательные: – воспитание познавательной активности, чувства ответственности, культуры общения, культуры диалога.
- Развивающие: – развитие зрительной памяти, математически грамотной речи, логического мышления, сознательного восприятия учебного материала.
Тип урока: – обобщающий урок по теме.
Ход урока
1. Организационный момент.
2. Проверка домашнего задания
3. Тема урока. Эпиграф урока.
“Пусть кто-нибудь попробует вычеркнуть из математики
степени, и он увидит, что без них далеко не уедешь”
М.В. Ломоносов
4. Устная работа.
1. Выполните действия
а) х9 ˖ х16
б) х18 : х9
в) (х4)3 ˖ х15 =
г) х12 : (х2)3 =
2. Вычислите значение выражения:
а) (-4 -2)
б) -4 ˖ 22
в) 4 – (-2)2
г) -(4 ˖ 2)2
3. Покажите с помощью стрелки, равно ли значение выражения нуля, положительному числу или отрицательному:

5. Задания на вычисления.

Выполните действия со степенями и, используя найденные ответы и данные таблицы, узнайте названия денежных единиц других стран.
| Страна | Выражение | Ответы | Основная денежная единица |
| Индия | а10˖а7 | а8 | юань |
| Польша | а21:а12 | а9 | злотый |
| Китай | (а2)4 | 16а4 | крона |
| Таиланд | (3а)2 | а24 | песо |
| Япония | а4˖а7:а9 | а2 | йена |
| Турция | (а4)3˖а | а17 | рупия |
| Швеция | (-2а)4 | а13 | лира |
| Аргентина | ((а2)3)4 | 9а2 | бат |
| Венгрия | (-а3)3 | -8а3 | лей |
| Румыния | (-2а)3 | -а9 | форинт |
6. Физкультминутка. (Упражнение по профилактике
нарушения зрения.)
Почти 90% всей информации
человек воспринимает глазами. Если устают глаза, снижается наше
внимание и активность.
1. Закройте глаза на несколько
секунд, сильно напрягая глазные мышцы, затем раскройте их,
расслабив мышцы. Повторите 3–4 раза.
2. Поморгайте несколько раз глазами, не напрягая мышц. Сделайте
глубокий вздох и медленный выдох.
3. Посмотреть на указательный палец вытянутой руки на счет 1–4,
потом перевести взор вдаль на счет 1–6. Повторить 4–5 раз.
5. В среднем темпе проделать 3–4 круговых движения глазами в правую
сторону, столько же в левую сторону. Расслабив глазные мышцы,
посмотреть вдаль на счет 1–6. Повторить 1–2 раза.
7. Выполнение тестовых заданий.
8. Вариант 1.
А1. Найдите значение выражения: (-2)2˖(-2)3 .
1) -64
2) 32
3) -32
4) 64
А2. Найдите значение выражения: 6˖0,56:0,53 .
1) 3
2) 1,5
3) 0,75
4) 0,375
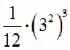
А3. Найдите значение выражения:
.
1) 121,5
2) 40,5
3) 243
4) 364,5
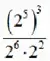
А4. Найдите значение выражения:
.
1) 32
2) 64
3) 128
4) 8
А5. Найдите значение выражения: (0,25)6˖86 .
1) 32 2) 64 3) 128 4) 8
А6. Найдите значение выражения: 424:144 .
1) 81
2) 27
3) 196
4) 243
А7. Представьте данное выражение в виде степени: y7˖y2˖y5 .
1) y9
2) y70
3) y14
4) y10
9. Вариант 2.
А1. Найдите значение выражения: 32˖33 .
1) 729
2) 243
3) 81
4) 162
А2. Найдите значение выражения: 5˖(-0,2)8:(-0,2)5 .
1) 0,04
2) -0,008
3) -0,04
4) 0,008
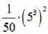
А3. Найдите значение выражения:
.
1) 255,5
2) 125,5
3) 22,5
4) 12,5
А4. Найдите значение выражения:
.
1) 9
2) 27
3) 81
4) 243
А5. Найдите значение выражения: (0,125)6˖166 .
1) 64
2) 25
3) 32
4) 128
А6. Найдите значение выражения: 354:74.
1) 125
2) 25
3) 625
4) 70
А7. Представьте данное выражение в виде степени: y4˖y3˖y6.
1) y13
2) y72
3) y35
4) y27
10. Результаты урока:
Подведение итогов урока, выставление оценок.
– Перечислите свойства степени с натуральным показателем.
Оценки за урок поставим после проверки работы с тестами, учитывая, ответы тех учащихся, которые отвечали в течение урока.
11. Задание на дом.