Тема урока: "Логарифмическая функция, ее свойства и график"
Тип урока: лекция; метод проблемного изложения.
Учебная задача: "Открыть" совместно с обучающимися новый вид функции - логарифмическую функцию, как функцию, обратную к показательной; выделить её основные свойства, используя свойства взаимно обратных функций.
Диагностируемые цели:
В результате обучающийся имеет следующие компетенции:
- Определение логарифмической функции.
- Что логарифмическая и показательная функции являются взаимно обратными.
- Как из графика показательной функции получить график логарифмической функции.
- Строить график логарифмической функции, зная график взаимно обратной ей показательной функции.
- Проверять свойства логарифмической функции по ее графику.
- Выделять свойства логарифмической функции, используя свойства обратной ей показательной функции.
- Строить график логарифмической функции, зная график взаимно обратной ей показательной функции.
- Значимость изучения логарифмической функции при описании явлений природы.
Свойства данной функции зависят от основания в сравнении его с единицей
Ход урока
1. Приветствие.
- опрос эмоционального состояния обучающихся (если у вас плохое настроение, вы садитесь на корточки, если среднее - на стул, если высокое - встаете), таким образом, они смотрят на окружающих и видят настроение друг друга.
2. Опрос домашнего задания.
- 2 учащихся за доской восстанавливают домашние задачи;
- 3 учащихся на первых партах отвечают на вопросы (что называется показательной функцией, свойства показательной функции, график показательной функции - возрастающей и убывающей);
- с остальным классом - вспоминаются свойства логарифмов.

3. Мотивационно-ориентировочная часть.
Сначала обучающимся раздается незаполненная таблица.
- Какая функция называется показательной функцией?
(Показательной функцией называется функция y=ax, где а - заданное число, a>0, a
1).
Заносим в первый столбец таблицы.
- Какими свойствами обладает показательная функция?
(Область определения функции, множество значений функции, монотонность).
- Запишите свойства показательной функции в таблицу.
Учащиеся заполняют первый столбец таблицы.
| Показательная функция. Свойства показательной функции. | |
Показательной функцией называется функция y=ax, где а - заданное число, a>0, a
|
- Схематически в тетради изобразите графики функций y=ax при a>1, y=ax при 0<a<1.
|
y = ax, 0 < a < 1
|
y = ax, a > 1
|
- Давайте проверим, обратима ли функция y=ax. Для этого сформулируйте определение обратимой функции.
(Если функция f(x) принимает каждое своё значение только при одном значении x, то эту функцию называют обратимой.)
- Выясните, обратима ли функция y=ax.
(Функция у = a
обратима, так как каждое значение y принимается при единственном значении аргумента. Это значение можно найти, решая уравнение у =
a
относительно x, тогда получим x=loga y. В этом равенстве поменяем местами x и y: y=loga
x. Функции у = a
и y=loga x являются взаимно обратными).
- Мы не знаем, является y=loga x функцией или нет. Проверим, является ли y=loga x функцией, то есть: для любого ли x существует единственное y.
loga a
=1, loga a
=
, loga a
=-1, loga
a0=0
Следовательно, y=loga x является функцией, так как какое бы x мы не взяли, для него существует единственное y.
- Таким образом, мы получили функцию, давайте исследуем эту функцию?
Учитель формулирует определение логарифмической функции:
Функцию y = logax, (a > 0, a
1) называют логарифмической функцией.
Ученики начинают заполнять второй столбец таблицы.
- Назовите свойства взаимно обратных функций.
(1. Область определения обратной функции совпадает со множеством значений исходной функции, а множество значений обратной функции совпадает с областью определения исходной функции.
2. Если функция y=f(x) возрастает, то обратная к ней функция также возрастает, если функция y=f(x) убывает, то обратная к ней функция убывает.
3. Если функция имеет обратную, то график обратной функции симметричен графику данной функции относительно прямой y=x).
Далее идёт заполнение таблицы на основании свойств взаимно обратных функций.
|
у = a Показательной функцией называется функция y=ax, где а - заданное число, a>0, a |
y=loga x Функцию y = logax, (a > 0, a |
|
1. О.О.Ф. x 2. М.З.Ф y>0 График функции у = ax пересекает ось Оу в точке (0,1) 3.При каких значениях a показательная функция у = ax, где a>0, a При a>1 функция у = ax, где a>0, a |
1. О.О.Ф. x>0
2. М.З.Ф. y График функции y=loga x пересекает ось Ох в точке (1,0) 3.При каких значениях a логарифмическая функция y=loga x, где x>0, a>0, a При a>1 функция y=loga x возрастает; при 0<a<1 убывает. Уже можно высказать некоторые идеи о расположении графика логарифмической функции. при a>1 при 0<a<1 loga a1=1, loga a2=2 loga a-2=-2 Выясним, при каких значениях x логарифмическая функция принимает положительные и отрицательные значения, то есть x=? y>0 (y<0). Для этого воспользуемся определением логарифма, тогда x=ay. если a>1, y>0, то аy>1, то есть x>1; если 0<a<1, y>0, то 0<ay<1, то есть 0<x<1; если a>1, y<0, то 0<ay<1, то есть 0<x<1; если 0<a<1 y<0, то аy>1, то есть x>1; Итак, получаем:
IMG2 |
- Из третьего свойства взаимно обратных функций следует, что графики взаимно обратных функций симметричны относительно прямой y=x. Тогда, зная как выглядит график показательной функции, давайте построим график логарифмической функции.


На интерактивной доске проверяем правильность графиков.
Задание:
В одной координатной плоскости построить графики следующих функций:
g(x) = ln x, h(x) = log5x, f(x)=lg x. Сделайте вывод о расположении графиков функций относительно осей координат в зависимости от основания логарифмической
функции.

Ученики строят графики в тетради, а один на доске.
Вывод. При a > 1 чем больше основание логарифмической функции, тем ближе к осям координат располагается график логарифмической функции.
На интерактивной доске проверяем правильность графиков.
Задание: В одной координатной плоскости построить графики следующих логарифмических функций: f(x) = log0,1x, g(x) = log0,3x, h(x) = log0,5x.

Вывод. При 0 < a < 1 чем больше основание a логарифмической функции, тем дальше от осей координат располагается график логарифмической функции.
На интерактивной доске проверяем правильность графиков.
Рефлексивно-оценочный этап.
- Что нового вы узнали на уроке?
(Новый вид функции - логарифмическая функция)
- Сформулируйте определение логарифмической функции.
(Функцию y = logax, (a > 0, a
1) называют логарифмической функцией)
- Назовите свойства логарифмической функции.
(Область определения функции, множество значений функции, монотонность, знакопостоянства)
- Какой факт нам помог установить свойства логарифмической функции?
(Что логарифмическая и показательная функция являются взаимно обратными).
- Чем мы будем заниматься на следующем уроке?
(Мы будем решать задачи на отработку изученного материала)
- Какие именно?
(Находить область определение функции, множество значений функции, определять характер монотонности, решать логарифмические уравнения)
Домашнее задние.
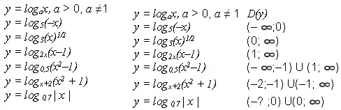
Задание: Какое значение аргумента x является допустимым для следующих функций (устно)
Ответы

Подведение итогов.
Выставление оценок, обсуждение ошибок.


