Кодирование изображений
Цели урока:
- повторить основные принципы представления данных в памяти компьютера, научить вычислять объем графической информации;
- развивать познавательные интересы учащихся;
- воспитывать чувства прекрасного.
План урока
- Организационный момент.
- Разминка.
- Решение задачи на повторение. Алгебра логики.
- Дополнительный материал.
- Решение задачи на повторение. Кодирование текстовой информации.
- Объяснение нового материала.
- Решение задач на закрепление.
- Дополнительный материал.
- Итог урока.
ХОД УРОКА
Оргмомент.
Сегодня на уроке мы с вами поговорим обизобразительном искусстве. Этот вид искусства воспринимается зрительно (живопись, скульптура, графика, фотоискусство). С древности существуют два основных взгляда на искусство: это образы реального мира, созерцая которые зритель получает наслаждение (Аристид); искусство вдохновляется высшими силами и выражает чувства и ощущения человека (Платон).А также научимся вычислять объем графической информации.
Разминка.
Учитель читает вопросы, ученики быстро отвечают.
- Виды компьютерной графики. (Векторный и растровый)
- Предмет в школьном курсе непосредственно связанный с графикой. (ИЗО)
- Изображение художником самого себя. (Автопортрет)
- Из сочетания, каких цветов складывается вся красочная палитра на экране. (Красного, зеленого, синего)
- Знаменитая картина, о которой все слышали, но еще никто не видел... (Репина "Приплыли")
- Положительный образ, воплощающий нравственные ценности. (Герой)
- Чему равен 1 Мегабайт? (1024 Килобайт)
- Любые люди, предметы и явления, находящиеся перед художником, когда он их изображает. (Натура)
- Главное действующее лицо произведения. (Герой)
- Одна точка на мониторе. (Пиксель)
- Как из Килобайт перейти в байты? (Умножить на 1024)
- Намеренно искаженный с юмористической или сатирической целью портрет. (Шарж)
- Российский живописец, изображал море, морские сражения, борьбу с морской стихией (1817-1900). (Айвазовский Иван Константинович)
- Чему равен 1 дюйм? (2,54 см)
- Горе овощное. (Горе луковое)
Решение задачи на повторение. Алгебра логики
Для какого из приведенных фамилий ложно высказывание: НЕ ((Букв в слове 5) И (Последняя буква Н))?
1) Серов; 2) Репин; 3) Левитан; 4) Шишкин.
Решение. А = Букв в слове 5, В = Последняя буква Н.

Ответ: Репин.
Дополнительный материал из области искусства
Ильям Ефиммович Ремпин (24 июля [5 августа] 1844 — 29 сентября 1930) — русский художник-живописец, мастер портрета, исторических и бытовых сцен. Академик Императорской Академии Художеств.
Мемуарист, автор ряда очерков, составивших книгу воспоминаний “Далёкое близкое”. Преподаватель, был профессором — руководителем мастерской (1894—1907) и ректором (1898—1899) Академии художеств, одновременно преподавал в школе-мастерской Тенишевой; среди его учеников — Б. М. Кустодиев, И. Э. Грабарь, И. С. Куликов, Ф. А. Малявин, А. П. Остроумова-Лебедева, давал также частные уроки В. А. Серову.
Одной из известных картин является “Запорожцы пишут письмо турецкому султану” (1880—1891). Прочитать рассказ о данной картине. По тексту определить героев данной картины. Обратить внимание учащихся на упорство художника в работе над произведением, и его ухищрения в достижении цели. Как часто, мы бросаем решать те или иные задачи, которые нам не удались в первые минуты работы.
“В 1878 году, от гостя в Абрамцеве, Репин услышал рассказ украинского историка о том, как турецкий султан писал к запорожским казакам и требовал от них покорности. Ответ запорожцев был смел, дерзок, полон издёвок над султаном. Репин пришёл в восторг от этого послания и сразу сделал карандашный эскиз. После этого он постоянно возвращался к этой теме, работая над картиной более десяти лет. Она была закончена только в 1891 году. Картина имеет 3 списка (не считая этюда). Первый Репин подарил другу, историку Дмитрию Яворницкому, а тот — Павлу Третьякову. Большая часть моделей для него взята из Екатеринославской губернии.Писарь — Яворницкий, Иван Сирко — киевский генерал-губернатор Михаил Драгомиров, раненый в голову казак — художник Николай Кузнецов; войсковой судья в чёрной шапке — Василий Тарновский; молодой казачок в круглой шапке — его сын, обладатель обширной лысины — Георгий Алексеев, предводитель дворянства Екатеринославской губернии, обер-гофмейстер двора его Величества, почётный гражданин Екатеринослава и страстный нумизмат. Поначалу он отказался позировать с затылка. Пришлось пойти на хитрость. Яворницкий пригласил его посмотреть свою коллекцию, а позади тайком усадил художника, и пока предводитель любовался монетами, Репин быстро набросал портрет. Георгий Петрович узнал себя уже в Третьяковке и обиделся.”
Решение задачи на повторение. Кодирование текстовой информации.
Учащимся раздаются карточки с текстом.
Определитеинформационный объём рассказа в кодировке КОИ-8, в которойкаждый символ кодируется 8 битами.
Решение. Посчитаем сколько строк в тексте и сколько символов в каждом ряду (в презентации). Строк – 22, символов в строке – 64.

Ответ: 1,4 Кбайт.
Объяснение нового материала. Кодирование изображений.

Как измерить объем графической информации?
Наложим на изображение мелкую сетку – растр. В результате картинка разбилась на ячейки. Каждая ячейка окрашена в один цвет и называется точкой (или пикселом). Цвет можно закодировать, то есть поставить ему в соответствие уникальное целое число. И тогда изображение превращается в набор целых чисел. Закодированное таким образом изображение, называется растровым.
Введем обозначения:
N – количество разных цветов, используемых при кодировании изображения;
i – число битов, необходимых для кодирования цвета одной точки изображения (глубина цвета).
Между данными величинами существует связь N=2i.
Примеры типов изображений и их кодирования
|
Тип изображения |
Количество цветов |
Кодирование |
| Черно-белое изображение | N=2: черный, белый | 2i =2, т.е. i=1, что означает: для кодирования цвета достаточно одного бита. Например: 0 – черный, 1 - белый |
| Изображение из 3-х цветов | N=3: например, черный, белый, серый | 2i=3. одного бита недостаточно для кодирования трех цветов, поэтому берем ближайшее целое с избытком – 2. Например: 00, 01, 11 |
| Изображение из 4-х цветов | N=4, например, черный, темно-серый, светло-серый, белый | 2i=4, т.е. i=2. Например: 00, 01, 10, 11 |
Все многообразие красок на экране получается путем смешивания трех базовых цветов: красного, синего, зеленого. Каждый пиксель на экране состоит из трех близко расположенных элементов, светящихся этими цветами.
|
Двоичный код восьмицветной палитры |
|||
|
к |
з |
с |
цвет |
|
0 |
0 |
0 |
Черный |
|
0 |
0 |
1 |
Синий |
|
0 |
1 |
0 |
Зеленый |
|
0 |
1 |
1 |
Голубой |
|
1 |
0 |
0 |
Красный |
|
1 |
0 |
1 |
Розовый |
|
1 |
1 |
0 |
Коричневый |
|
1 |
1 |
1 |
Белый |
Задание 1. Построить двоичный код приведенного черно – белого растрового изображения, полученного на мониторе с размером растра 10*10.

Задание 2. Дан двоичный код 8-цветного изображения. Размер монитора – 10*10 пикселей. Что изображено на рисунке (зарисовать)?

Решение.

Для хранения одного образа экрана потребуется объем памяти, равный произведению ширины экрана (в пикселях) на высоту экрана (в пикселях) и на i (глубину цвета).
I=W*H*i(битов)
W – ширина изображения в точках (пикселях);
H – высота изображения в точках (пикселях).
Решение задач на закрепление.
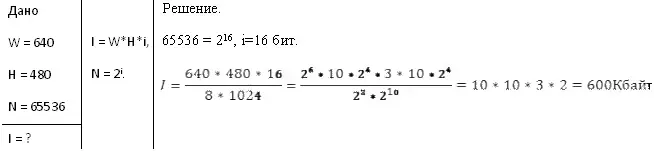
Задача 1. Рассчитайте объем видеопамяти, необходимой для хранения растрового изображения, занимающего весь экран монитора с разрешающей способностью 640*480 пикселов, если используется палитра из 65536 цветов.

Ответ: 600 Кбайт.
Задача 2. Для хранения растрового изображения размером 320*400 пикселов потребовалось 125 Кбайт памяти. Определите количество цветов в палитре.

Ответ: 256 цветов.
Дополнительный материал.
Познакомимся ещё с одним произведением Ильи Репина.
“Иван Грозный и сын его Иван 16 ноября 1581 года” (также известна под названием “Иван Грозный убивает своего сына”) — картина, написанная в 1883-1885 годы. Изображает эпизод из жизни Ивана Грозного, когда он в припадке гнева нанёс смертельный удар своему сыну царевичу Ивану. Картина показывает муку раскаяния на лице Грозного и кротость умирающего царевича, со слезами на глазах прощающего обезумевшего от горя отца. Хранится в собрании Государственной Третьяковской галереи в Москве.
Бывает так, что в порыве гнева люди незаслуженно обижают своих родных, близких сердцу людей, да и чужих людей тоже. Сейчас в Интернет часто выкладывают ролики об жестоком отношении друг к другу. А потом жалеют о случившемся. Хорошо, когда есть возможность осознать и извиниться, исправить положение. Но может случиться, как в данной картине, и исправить ситуацию будет невозможно. Поэтому, постараемся быть терпимыми, научимся “держать себя в руках”.
Итог урока.
Я надеюсь, что урок вам понравился. Вы узнали, как кодируются изображения и как найти объем графической информации. А также, на уроке познакомились с творчеством Ильи Репина, а те, кто знаком с его творчеством, еще раз окунулись в мир прекрасного.
Литература:
- Менделев В.А. Энциклопедия необходимых знаний. – Х.: Книжный клуб, 2007.
- Вовк Е.Т. Информатика: пособие для подготовки к ЕГЭ. – М.:КУДИЦ-ПРЕСС, 2009.
- Семакин И.Г. Практикум. Информатика и ИКТ. – М.: Бином. Лаборатория знаний, 2009.
- Ресурсы: Интернет.