Систематизируем планиметрию
Для подготовки к ЕГЭ (С4) может быть полезна полная систематизация теоретического материала курса планиметрии за 7–9 классы основной школы.
1. Треугольники
1. Признаки равенства треугольников.
а) Если две стороны и угол между ними одного треугольника соответственно равны двум сторонам и углу между ними другого треугольника, то такие треугольники равны.
б) Если сторона и два прилежащих к ней угла одного треугольника соответственно равны стороне и двум прилежащим к ней углам другого треугольника, то такие треугольники равны.
в) Если три стороны одного треугольника соответственно равны трем сторонам другого треугольника, то такие треугольники равны.
2. В треугольнике против большего угла лежит большая сторона.
3. Сумма углов любого треугольника равна 1800.
4. Внешний угол треугольника равен сумме двух других углов треугольника, не смежных с ним.
а, b, с – стороны треугольника
ma, mb, mc – медианы треугольника, la, lb, lc – биссектрисы треугольника,
ha, hb, hc – высоты треугольника, проведенные к соответствующим сторонам
R – радиус описанной окружности; r – радиус вписанной окружности
S – площадь, p – полупериметр
5. Площадь треугольника. S=
aha=
absinC =
=pr =
.
6. Соотношения между сторонами и углами в произвольном треугольнике.
Теорема косинусов: Квадрат стороны треугольника равен сумме квадратов двух других его сторон без удвоенного произведения этих сторон на косинус угла между ними.
a2 = b2 + c2 – 2bc cosA
Теорема синусов: Стороны треугольника пропорциональны
синусам противолежащих углов:
=
= 2R
В любом треугольнике сторона равна диаметру описанной окружности, умноженному на синус противолежащего угла. a=2RsinA;
Теорема тангенсов:
=
; a
b;
7. Медиана треугольника – это отрезок, соединяющий вершину треугольника с серединой противоположной стороны.
1) Медиана треугольника делит его на два равновеликих (равных по площади) треугольника.
2) Три медианы треугольника пересекаются в одной точке (центр тяжести треугольника), которая делит каждую медиану в отношении 2:1, считая от вершины.
3) Медианы треугольника разбивают треугольник на шесть равновеликих треугольников.
4) Формулы для нахождения длин медиан через длины сторон:
ma = ![]()
5) Формулы для нахождения сторон треугольника через длины медиан:
a =
8. Биссектриса треугольника – это отрезок луча, выходящего из
вершины угла треугольника, делящего этот угол пополам, соединяющий
вершину угла с противоположной стороной. Формулы для нахождения
длины биссектрисы:
, где
a1+b1=c
1) Длина биссектрисы выражается через длины сторон треугольника по формулам:
2) Биссектриса внутреннего угла треугольника делит противолежащую сторону на отрезки, пропорциональные прилежащим сторонам. (рис.1)

=
или
=
3) Биссектриса угла между неравными сторонами треугольника делит угол между радиусом описанной окружности и высотой, проведенными из общей вершины пополам. (рис.2)

4) Точка пересечения продолжения биссектрисы, проведенной из вершины треугольника, с описанной окружностью равноудалена от двух других вершин и центра вписанной окружности. (рис.3)

5) Формулы для вычисления биссектрисы угла; lc =

6) Если биссектрисы треугольника АВС АА1 и
СС1 пересекаются в точке Е, то угол АЕС=90° +
(рис.4)

7) Биссектриса внешнего угла треугольника
(рис.5)

9.Высота треугольника – это отрезок луча, выходящего из вершины треугольника, перпендикулярно противолежащей стороне, соединяющий вершину треугольника с ней.
Все высоты треугольника пересекаются в одной точке, которая называется ортоцентром треугольника.
Отрезки, соединяющие основания высот остроугольного треугольника, образуют треугольник, биссектрисы которого лежат на этих высотах.
Во всяком непрямоугольном треугольнике произведение расстояний от ортоцентра до концов высоты есть величина постоянная для всех высот данного треугольника.
Если ВВ1 и СС1 – высоты треугольника АВС, О – центр описанной окружности, то отрезок ОА перпендикулярен отрезку В1С1.
Расстояние от вершины треугольника до ортоцентра вдвое больше, чем расстояние от центра описанной окружности до противоположной данной вершине стороны.
Точки, симметричные ортоцентру треугольника АВС относительно прямых, содержащих его стороны, лежат на описанной окружности треугольника АВС.
Для всякого треугольника зависимость между его высотами ha, hb, hc и радиусом вписанной окружности выражается формулой
10. Подобные треугольники. Признаки подобия треугольников:
а)Если два угла одного треугольника соответственно равны двум углам другого треугольника, то такие треугольники подобны.
б)Если две стороны одного треугольника пропорциональны двум сторонам другого треугольника, а углы между этими сторонами равны, то треугольники подобны.
в)Если три стороны одного треугольника пропорциональны трем сторонам другого треугольника, то такие треугольники подобны.
1) Если треугольники АВС и А1В1С1 подобны, то имеют место следующие равенства:
=
=
=
=
=
=
=
=
= k
2) Отношение площадей подобных фигур равно квадрату коэффициента
подобия.
= k2
3) Если в остроугольном треугольнике АВС проведены высоты АА1 и СС1, то треугольник А1ВС1 подобен треугольнику АВС с коэффициентом подобия cos B.
4) Теорема Фалеса. Если при пересечении сторон угла параллельными прямыми на одной стороне угла отсекаются равные между собой отрезки, то и на другой стороне угла отсекаются также равные между собой отрезки.
5) Обобщенная теорема Фалеса. При пересечении сторон угла параллельными прямыми на сторонах угла отсекаются пропорциональные отрезки.
6) Теорема Минелая. Если треугольник пересекается секущей, то имеет место следующее соотношение: (рис.6)

7) Теорема Чевы. Если в треугольнике АВС три прямые пересекаются в одной точке, то верно соотношение: (рис.7)

8) Теорема Стюарта. Точка D находится на стороне ВС треугольника АВС.(рис.8)

11. Вписанная и описанная окружности.
1) В любой треугольник можно вписать окружность. Центр вписанной окружности – точка пересечения биссектрис треугольника.
2) Вокруг любого треугольника можно описать окружность. Центр описанной окружности – точка пересечения серединных перпендикуляров.
3) Формула Эйлера (расстояние между центрами вписанной и
описанной окружностей) ![]()
4) В произвольный треугольник АВС вписана окружность, касающаяся
в точках K, L, M сторон АВ, ВС. и СА соответственно. В произвольно
выбранной точке N
дуге KL проведена касательная к данной
окружности, пересекающая стороны АВ и ВС в точках Q и R
соответственно.
Имеют место соотношения: 1. BL=p-AC, где р – полупериметр треугольника АВС.
2. PBQR = 2BL; (рис.9)

Окружность, касающаяся одной из сторон треугольника, и продолжения двух других его сторон называется вневписанной.
5) Для любого треугольника можно построить три вневписанные окружности.
Радиус вневписанной окружности, касающейся стороны треугольника,
имеющей длину a, выражается формулой
, где S и p –
площадь и полупериметр треугольника АВС.
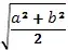
12. Прямоугольный треугольник.
Площадь прямоугольного треугольника можно найти S = ![]()
1)
;
2) Теорема Пифагора а2 + b2 = с2
3)
;
![]()
4)
;
;
5)
Медиана, проведенная к гипотенузе, равна половине гипотенузы и радиусу описанной окружности.
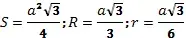
13. Равносторонний треугольник.
Треугольник, у которого все стороны равны, называется
равносторонним. У него все углы равны 600, медианы
являются биссектрисами и высотами. Для равностороннего треугольника
справедливы следующие формулы: ![]()
2. Центральные и вписанные углы. Касательные, хорды, секущие.
Прямая, имеющая с окружностью только одну общую точку, называется касательной к окружности.
1. Касательная перпендикулярна к радиусу, проведенному в точку касания.
2. Отрезки касательных к окружности, проведенные из одной точки, равны и образуют равные углы с прямой, проходящей через эту точку и центр окружности.
Прямая, имеющая с окружностью две общие точки, называется секущей.
3. Угол между касательной и секущей, проходящей через точку касания измеряется половиной дуги окружности, лежащей внутри измеряемого угла. (рис.10)

4. Точка касания двух окружностей лежит на линии центров этих окружностей.
5. Общая касательная, проходящая через точку касания двух окружностей, перпендикулярна к линии центров.
6. Общая хорда двух пересекающихся окружностей перпендикулярна к линии центров.
Угол с вершиной в центре окружности называется центральным.
7. Величина центрального угла равна угловой величине дуги, на которую он опирается.
Угол, вершина которого лежит на окружности, а стороны пересекают ее, называется вписанным углом.
8. Величина вписанного угла равна половине угловой величины дуги на которую он опирается.
9. Вписанные углы, опирающиеся на одну и туже дугу, равны.
10. Вписанный угол, опирающийся на диаметр – прямой.
11. Угол с вершиной внутри круга измеряется полу суммой дуг АВ
иА1В1, лежащих, соответственно, внутри
данного угла и угла, с ним вертикального. <AMB = ![]()
12. Угол, образованный двумя секущими, проведенными из внешней
точки, измеряется полуразностью дуг, лежащих внутри его. <AMB =
(рис.11, 12)


13. Если из точки, лежащей вне окружности, проведены к
окружности касательная и секущая, то произведение секущей на ее
внешнюю часть равно квадрату касательной.
(рис.13)

14. Для любой секущей, проведенной через данную точку А произведение ее длины на внешнюю часть постоянно. (рис.14)

Отрезок, соединяющий две точки окружности, называется хордой.
15. Если две хорды окружности пересекаются, то произведение отрезков одной хорды равно произведению отрезков другой хорды.
16. Во всяком вписанном четырехугольнике произведения отрезков, на которые разбиваются диагонали точкой их пересечения, равны.
17. Геометрическое место точек из которых данный отрезок виден под постоянным углом, состоит из двух дуг окружностей, симметрично расположенных относительно данного отрезка.
3. Четырехугольники
1.Выпуклый четырехугольник.
d1, d2 – диагонали,
– угол между диагоналями, S – площадь, ![]()
а) Сумма углов выпуклого четырехугольника равна 3600.
б) Если четырехугольник можно вписать в окружность, то суммы пар противоположных углов равны 180о.
в) Если четырехугольник можно описать вокруг окружности, то суммы противоположных сторон равны.
г) Если последовательно соединить середины сторон любого выпуклого четырехугольника, то получится параллелограмм, причем его площадь вдвое меньше площади четырехугольника.
д) Середины двух противоположных сторон любого четырехугольника и середины его диагоналей либо лежат на одной прямой, либо являются вершинами параллелограмма.
е) Теорема Птолемея:Сумма произведений противоположных сторон вписанного четырехугольника равна произведению его диагоналей. ac+bc=d1d2
ж) Диагонали четырехугольника перпендикулярны тогда и только тогда, когда суммы квадратов противоположных сторон равны.
2. Параллелограмм
Выпуклый четырехугольник, противоположные стороны которого папарно параллельны, называется параллелограммом.
Противоположные стороны и углы параллелограмма равны. Диагонали параллелограмма точкой пересечения делятся пополам. Диагонали параллелограмма делят его на четыре равновеликих треугольника.
a,b – с тороны,
– острый угол между сторонами
d1, d2 – диагонали,– острый угол между диагоналями
ha, hb – высоты, проведенные к соответствующим сторонам
3. Ромб
Параллелограмм, у которого все стороны равны, называется ромбом.
а) Диагонали ромба взаимно перпендикулярны.
б) В любой ромб можно вписать окружность. ![]()
, где r – радиус вписанной
окружности.
4. Прямоугольник
Параллелограмм, у которого все углы прямые, называется прямоугольником.
а) Диагонали прямоугольника равны.
б) Вокруг любого прямоугольника можно описать окружность. d = 2R, где R – радиус описанной окружности.
– стороны, d –
диагональ,
– острый угол между диагоналями
5. Квадрат
Параллелограмм, у которого все стороны равны и все углы равны, называется квадратом.
а) Диагонали квадрата равны и перпендикулярны.
б) В квадрат можно вписать окружность.
, где r –
радиус вписанной окружности.
в) Вокруг квадрата можно описать окружность. d = 2R, где R–
радиус описанной окружности.
;![]()
6. Трапеция
Выпуклый четырехугольник, две стороны которого параллельны, а две другие не параллельны, называется трапецией.
– основания, d1,
d2– диагоналb,
– острый угол между
диагоналями,
– средняя линия, h – высота.
а) Если в равнобедренную трапецию можно вписать окружность, то средняя линия равна боковой стороне.
б) В равнобедренной трапеции перпендикуляр, опущенный из вершины меньшего основания на большее делит его на части, большая из которых равна по длине средней линии.
в) Если диагонали равнобедренной трапеции взаимно перпендикулярны, то длина высоты трапеции равна средней линии, а площадь равна квадрату высоты.
г) Если в равнобедренную трапецию можно вписать окружность, то
высота трапеции есть среднее геометрическое ее оснований. ![]()
д)
, где MN – параллельно основаниям трапеции и
делит боковую сторону в отношении m:n.
е)
, где MN– параллельно основаниям и проходит через
точку пересечения диагоналей.
ж) Точка пересечения диагоналей трапеции, точка пересечения продолжений боковых сторон и середины оснований лежат на одной прямой.
з) Если трапеция разделена прямой, параллельной ее основаниям на
две равновеликие трапеции, то отрезок этой прямой, заключенной
между боковыми сторонами, равен
.
и) Диагонали трапеции делят ее на 4 треугольника, два из которых подобны, а два имеют одинаковую площадь.
к) Если трапеция разделена прямой, параллельной ее основаниям на
две подобные трапеции, то отрезок этой прямой, заключенной между
боковыми сторонами, равен ![]()
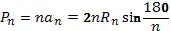
4. Правильные многоугольники
Выпуклый многоугольник называется правильным, если у него все углы равны и все стороны равны.
а) Соотношения между стороной
, радиусом вписанной
, и радиусом описанной окружности
:
;
; ![]()
б) Периметр и площадь правильного n– угольника:
;
в) Сумма угловправильного n-угольника равна 180(n-2).
г) Угол правильного n-угольника равен
.
5. Длина окружности, площадь круга.
![]()
; ![]()