Урок алгебры на тему "Формулы сокращенного умножения". 7-й класс
Скачать презентацию (8.36 МБ)
Продолжительность: 2 урока по 45 минут
Класс: 7.
"Тысячи неразгаданных тайн таит в себе наука,
и без вас, без вашей молодости, смелости, энтузиазма,
они не будут разгаданы. Наука ждёт вас, друзья".
Академик А.С. Несмеянов.
Цели урока:
Образовательные:
- Повторить и обобщить пройденный материал по теме "Формулы сокращённого умножения".
- Закрепить умения и навыки применения формул сокращённого умножения на решении математических задач.
Развивающие:
- Расширять кругозор учащихся.
- Развивать познавательную активность, интерес к математике и истории.
- Развивать индивидуальные способности учащихся, потребность к самообразованию.
Воспитательные:
- Воспитание любви к родной стране, её истории.
- Воспитание познавательной активности, чувства ответственности, культуры общения, культуры диалога.
Оборудование:
- Учебник (алгебра 7 класс, авторы: Ю.Н. Макарычев, Н.Г. Миндюк, К.И. Нешков, С.Б. Суворов).
- Дифференцированные карточки для самостоятельной работы.
- Мультимедийная презентация.
План урока:
- Организационный момент:
- Сообщение цели урока.
- Сообщение темы урока.
- Сообщение плана урока.
- Устная работа.
- Обобщение пройденного материала:
- Вводное слово учителя.
- Повторение и закрепление основного материала с использованием исторических фактов.
- Самостоятельная работа.
- Подведение итогов урока.
- Домашнее задание.
Ход урока
На протяжении всего урока идёт обращение к презентации. В презентации есть слайды, на которые происходит переход кликом мыши, а есть слайды с гиперссылками.
Организационный момент.
Слайд 1.
- Здравствуйте, ребята. Садитесь. Тема нашего урока "Формулы сокращённого умножения".
Слайд 2.
Сегодня на уроке мы должны обобщить и повторить пройденный материал. Полученные знания и навыки в применении формул сокращённого умножения закрепим на решении математических задач. В конце урока напишем самостоятельную работу, подведём итог урока, и вы получите домашнее задание.
Слайд 3 (с гиперссылками).
Устная работа.
Слайд 4 (с гиперссылками).
Разгадайте кроссворд.

1. Свойство умножения, используемое при умножении одночлена на многочлен.
2. Способ разложения многочлена на множители.
3. Значение переменной, при котором уравнение обращается в верное равенство.
4. Равенство, верное при любых значениях переменных.
5. Выражение, представляющее собой сумму одночленов.
6. Слагаемые, имеющие одну и ту же буквенную часть.
7. Числовой множитель у одночленов.
Ответы:
- Распределительное
- Группировки
- Корень
- Тождество
- Многочлен
- Подобные
- Коэффициент
Слайд 3, 5 (по клику мыши появляется задание, на следующий клик ответ и т.д., всего 6 заданий).
Замените
одночленом так, чтобы получившееся равенство было тождеством:
Ответы:
a 2m 3b 0,4y x2, y2 x3, 64
- Какими формулами вы пользовались в данном задании?
(по стрелки 5 слайда переходим на 6 слайд)
Слайд 6.
Давайте назовём их и сформулируем.
На слайде 6:
1. Формулы квадрата суммы и разности двух выражений (слайд 7, по стрелочке на слайд 6)
2. Формула разности квадратов (слайд 8, по стрелочке на слайд 6)
3. Формулы суммы и разности кубов (слайд 9, по стрелочке на слайд 6)
Кликом мыши попадаем на слайд 10.
Слайд 10.
3. Обобщение пройденного материала.
Слайд 11.
Ребята, вы знаете, что вся наша страна, всё прогрессивное человечество 12 апреля отмечает День космонавтики.
Слайд 12.
В 1961 году героический космонавт Юрий Алексеевич Гагарин первым слетал в Космос. Люди давно мечтали освоить космическое пространство. Они долго думали над тем, чтобы построить космический корабль, чтобы полететь выше звезд. Люди мечтали узнать небо, а не просто поставить рекорды высоты.
Но прежде чем полетел знаменитый космонавт Юрий Алексеевич Гагарин в безжизненном, холодном, всегда черном пространстве космоса забилось живое сердце. В герметической кабине спутника жила, дышала, летела над миром собака Лайка. Слайд 13.
А, когда же это было, мы узнаем, выполнив следующие задания.
Слайды 14 - 17 (слайды с гиперссылками, чтобы получить ответ на вопрос задания (для проверки), наводим мышь на вопрос и кликнем мышью по нему).
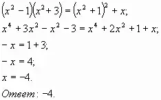
- Какого числа? (3)
Решите уравнение:
Решение:
;
- В каком месяце?
Упростите выражение и выберете верный ответ:
![]()
декабрь октябрь ноябрь
Решение:

- В каком году? (1957)
Вычислите значение выражения:
y = - 458
Решение:
![]()
Если ![]()
За Лайкой полетели другие собаки Белка и Стрелка. Слайд 18.
Также полетели морские свинки, обезьяны, попугаи, мыши, кролики - все они честно послужили великой мечте.
В космос могут летать не только мужчины, но и женщины. А первая женщина космонавт - Валентина Терешкова. Слайд 19.
С тех пор много космонавтов разных стран побывали в космосе.
Слайд 20.
12 апреля 1961 года в 3 часа 00 минут на стартовой площадке Байконура начались заключительные проверки космического корабля. Евгений Анатольевич Карпов вошел в спальню и потряс Гагарина за плечо:
- Юра, пора вставать...
После физзарядки - завтрак.
В 6 часов 00 минут. Началось заседание Государственной комиссии. Оно было очень коротким: "все готово". После заседания было окончательно подписано полетное задание Космонавту-1.
Слайд 21.
Находясь на железной площадке перед входом в кабину корабля, Гагарин приветственно поднял обе руки - прощание с теми, кто оставался на Земле. Потом скрылся в кабине.
Слайд 22.
9 часов 9 минут. Отделение первой ступени. Гагарин должен услышать, как отделилась эта ступень, и почувствовать, что вибрация резко уменьшилась. Ускорение возрастает, так же как и перегрузки. На пункте наблюдения ждут доклада Гагарина...
Слайд 23.
- Сброс головного обтекателя... Вижу Землю... Красо-та-то какая!..
Юрий Гагарин стал близким для всех народов земного шара. Но больше всего волновалась и переживала за него, конечно же, Родина. Слайд 24.
В 10 часов 55 минут. Обгоревший железный шар стукнулся о вспаханную почву - поля колхоза "Ленинский путь", юго-западнее города Энгельса, неподалеку от деревни Смеловка. Неподалеку на парашюте опустился Юрий Гагарин.
Первой, кто увидел Юрия Гагарина, была Анна Акимовна Тахтарова. Она стала известна всему миру как человек, который первым встретил космонавта. Она говорила так: "Подняла я голову, вижу - человек идет в мою сторону. Оторопь меня взяла - очень уж странно тот человек был одет, не по-нашему. И появился-то он неожиданно - с ясного неба, словно снег на голову. Потом гляжу: человек улыбается. И до того душевная у него улыбка, что весь мой страх как рукой сняло..."
Через несколько минут спортивный комиссар Иван Борисенко, который находился в специальной группе поиска, попросил Гагарина предъявить удостоверение (этого требовал спортивный кодекс). Потом, записав все необходимые сведения и проверив опознавательные знаки космического корабля, на котором была надпись "Восток - СССР", зарегистрировал три абсолютных космических рекорда:
- Каковы же эти рекорды вы узнаете, выполнив задания.
Слайды 25 - 28 (слайды с гиперссылками, чтобы получить ответ на вопрос задания (для проверки), наводим мышь на вопрос и кликнем мышью по вопросу)
- Рекорд продолжительности полёта - ... минут (108)
Решите уравнение:
![]()
Решение:

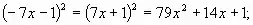
- Рекорд на высоту полёта - ... километров (327)
Разложите на множители и найдите верный ответ:
![]()
327 326
Решение:
![]()
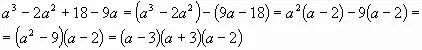
- Рекорд максимального груза, поднятого на эту высоту - ... килограммов (4725)
Вычислите наиболее простым способом:
![]()
Решение:

Слайд 29.
4. Самостоятельная работа. Приложение 1
Дифференцированная самостоятельная работа выполняется по карточкам.
Учащиеся сами выбирают уровень сложности.
Слайд 30.
Карточка №1 (средний уровень)
№ 1. Представьте в виде многочлена:
.
№ 2. Разложите на множители:
;
.
№ 3. Упростите выражение:
;
.
№ 4. Решите уравнение:
.
Карточка №2 (высокий уровень)
№ 1. Представьте в виде многочлена:
.
№ 2. Разложите на множители:
;
.
№ 3. Упростите выражение:
;
.
№ 4. Решите уравнение:
.
Решение:
Карточка №1.
№ 1. Представьте в виде многочлена:
.
№ 2. Разложите на множители:
;
.
№ 3. Упростите выражение:
;
.
№ 4. Решите уравнение:
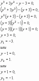
Карточка №2.
№ 1. Представьте в виде многочлена:
.
№ 2. Разложите на множители:
;
.
№ 3. Упростите выражение:
.
№ 4. Решите уравнение:
Ответ: -3; 1; -1.
5. Подведение итогов урока.
Ребята, мы с вами повторили и закрепили полученные знания по теме "Формулы сокращённого умножения". Оценки за самостоятельную работу вы узнаете на следующем уроке.
Слайд 31.
6. Домашнее задание.
Выполнить тест по теме "Формулы сокращённого умножения". Приложение 2
Каждому учащемуся даётся тестовое задание на отдельном листе. Выполнять задание надо в рабочей тетради, а на листе написать свою фамилию, и отмечать верные ответы.
Слайд 32.
И в завершение урока мне хочется сказать, что из 40000 профессий, существующих на Земле, профессия космонавта самая трудная, опасная и ответственная. Это настоящий подвиг. Подвиг научный, технический, организационный, но, прежде всего - человеческий.
Мы только стоим на пороге новой эры - космической. Несмотря на то, что после первого полета человека к звездам на околоземных орбитах побывали уже сотни людей из разных государств, мы делаем лишь первые шаги.
Слайд 33.
Когда последний закруглен виток,
Так хорошо сойти на Землю снова,
И окунуться после всех тревог.
В живую красоту всего земного.
Галактика в сеченье звездных трасс,
Нам на нее глядеть, не наглядеться,
Но, поднимаясь в небо всякий раз,
Своей Земле мы оставляем сердце.
Слайд 34.
С наступающим, вас праздником! Урок окончен.
Ответы к тесту:
№1 №2 №3 №4 №5 №6 Вариант 1 a d b d c б Вариант 2 c d a d b в


;