Урок по теме: "Производная. Применение производной к исследованию функции. Касательная к графику функции"
Цели.
- Обобщить и систематизировать правила дифференциирования;
- Повторить алгоритм построение касательной к графику функции, схему исследования функции;
- Решение задач на применение наибольшего и наименьшего значения функции.
Оборудование. Плакат "Производная. Правила вычисления производных. Применения производной".
Ход урока
По картам у учащихся повторение теоретического материала.
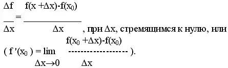
1. Дайте определение производной функции в точке. Что называется дифференциированием? Какую функцию называют дифференциируемой в точке?
(Производной функции f в точке х называется число, к которому стремится отношение 
Функцию, имеющую производную в точке х 0, называют дифференциируемой в этой точке. Нахождение производной f называется дифференциированием.)
2. Сформулируйте правила нахождения производной.
(1. Производная суммы (u + v)'=u'+v';
2. О постоянном множителе (Cu)'=Cu';
3. Производная произведения (uv)'=u'v+uv';
4. Производная дроби (u/v)'=(u'v-uv')/v2;
5. Производная степенной функции (xn)'=nx n+1.)
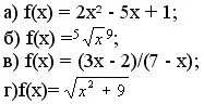
3. Чему равны производные следующих функций:

4. Как найти производную сложной функции?
(Надо последовательно представить ее в виде элементарных функций и взять производную по известным правилам).
5. Чему равны производные следующих функций:
![]()
6. В чем заключается геометрический смысл производной?
(Существование производной в точке эквивалентно существованию невертикальной касательной в точке (х 0 ,f(x0)) графика функции, причем угловой коэффициент этой касательной равен f '(x 0)).
7. Какой вид имеет уравнение касательной к графику функции в точке (x0 ,f(x0))?
(Уравнение касательной имеет вид у=f(x0)+f'(x0)(x-х0))
8. Сформулируете алгоритм построения графика функции с помощью производной.
(1. Найти ООФ.
2. Исследовать на четность.
3. Исследовать на периодичность.
4. Найти точки пересечения графика с осями координат.
5. Найти производную функции и ее критические точки.
6. Найти промежутки монотонности и экстремумы функции.
7. Построить таблицу по результатам исследования.
8. Построить график функции.)
9. Сформулировать теоремы, с помощью которых модно построить график функции.
( 1. Признак возрастания (убывания).
2. Необходимый признак экстремума.
3. Признак максимума (минимума).)
10. Какие формулы существуют для приближенных вычислений функций?
![]()
Практикум. (Приложение)
Индивидуальная работа.
Уровень А (три варианта), уровень Б (один вариант).
Уровень А.
Вариант 1.
1. Запишите уравнение касательной к графику функции
f(x)=(x -1)2 (x -3)3 параллельной прямой у=5-24х.
2. Число 18 педставьте в виде суммы трех положительных слагаемых так, чтобы одно слагаемое было в два раза больше другого, а произведение всех трех слагаемых было наибольшим.
3. Найдите производную функции :
![]()
4. Найдите промежутки возрастания и убывания функции f(x)=(x-1) eх+1.
Вариант 2.
1. Под каким углом к оси абсцисс наклонена касательная к графику функции f(x)=0,x2+x-1,5 в точке с абсциссой х 0 = - 2? Напишите уравнение этой касательной и выполните рисунок к этой задаче.
2. Как в В. 1.
3. Найдите производную функции:
| х2-х | |
| 4. Найдите точки максимумов функции f(x)=x(1/e). |
Вариант 3.
1. Запишите уравнение касательной к графику функции f(x)=2x2-2x3+5, параллельной прямой у=3-10х.
2. Как в В. 1.
3. Дана функция f(x)=e -2х cos 3x. Найдите f'(x), f'(0).
| х2-3х | |
| 4. Найдите точки максимума и минимума функции f(x)=e. |
Уровень Б.
1. Найдите производную функции:
а) f(x) = e -5х;
б) f(x) = log3 (2x2-3x+1).
2. Напишите уравение касательной к графику функции в точке с абсциссой х 0 , если f(x)=e-х, х0 = 1.
3. Найдите промежутки возрастания и убывания функции f(x)=x·e2х.
Итог урока.
Проверяется работа, выставляется отметка за теорию и практику.
Домашнее задание дается индивидуально:
1.
а)повторить производные тригонометрических функций;
б)метод интервалов;
в)механический смысл производной.
2. А: №138, №142, Б: №137(а,б), №140(а).
3. Возмите производную функций:
а) f(x)=x4-3x2-7;
б) f(x)=4x3-6x;
в) f(x)=-2sin(2x-4);
г) f(x)=cos(2x-4).
4. Назовите схему исследования функции.