Примеры с параметрами и методы их решения
В последние годы на вступительных экзаменах, на итоговом тестировании в форме ЕГЭ предлагаются задачи с параметрами. Эти задачи позволяют диагностировать уровень математического и, главное, логического мышления абитуриентов, способность осуществлять исследовательскую деятельность, а также просто знание основных разделов школьного курса математики.
Взгляд на параметр как на равноправную переменную находит своё отражение в графических методах. В самом деле, поскольку параметр "равен в правах" с переменной, то ему, естественно, можно
"выделить" и свою координатную ось. Таким образом, возникает координатная плоскость
. Отказ от традиционного выбора букв
и
для обозначения осей, определяет один из эффективнейших методов решения задач с параметрами -
"метод областей". Наряду с другими методами, применяемыми при решении задач с параметрами, я знакомлю своих учеников и с графическими приёмами, обращая внимание на то, как
распознать "такие" задачи и как выглядит процесс решения задачи.
Самые общие признаки, которые помогут узнавать задачи, подходящие под рассматриваемый метод:
- в задаче фигурирует лишь один параметр
и одна переменная
;
они конструируют некоторые аналитические выражения
,
и
т.д.; - графики уравнений
,
и т.д. в системе координат
строятся несложно. - Процесс решения задач схематично выглядит так:
- строится графический образ;
- пересекается полученный график прямыми, перпендикулярными параметрической оси;
- "снимается" нужная информация.
- Переходим к решению задач, к которым рекомендации более конкретны:
- получить равенство вида
, выражая параметр через переменную; - на плоскости
строить график функции
.
Задача 1. "При каких значениях параметра
неравенство
выполняется при
всех
?"
Решение. 1). Раскроем модули с учётом знака подмодульного выражения:
![]()
2). Запишем все системы получившихся неравенств:
а) 
б)
в) 
г) 
3). Покажем множество точек, удовлетворяющих каждой системе неравенств (рис.1а).
4). Объединяя все области, показанные на рисунке штриховкой, можно заметить, что неравенству
не удовлетворяют
точки
, лежащие внутри парабол.
На рисунке видно, что при любом значении параметра
можно найти область, где лежат точки, координаты которых удовлетворяют исходному неравенству.
Неравенство
выполняется при всех
, если
. Ответ: при
.
Рассмотренный пример представляет собой "открытую задачу" - можно рассмотреть решение целого класса задач, не изменяя рассмотренное в примере выражение
, в которых технические трудности построения графиков уже преодолены.
Задача. При каких значениях параметра
уравнение
не
имеет решений? Ответ: при
.
Задача. При каких значениях параметра
уравнение
имеет
два решения? Запишите оба найденных решения.
Ответ:
, тогда
,
;
, тогда
;
, тогда
;
, тогда
,
.
Задача. При каких значениях параметра
уравнение
имеет
один корень? Найдите этот корень. Ответ: при
при
.
Задача. Решите неравенство
.
("Работают" точки, лежащие внутри парабол).
Ответ:
,
;
,
;
, решений нет;
,
;
,
.
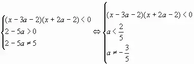
Задача 2.Найдите все значения параметра а, при каждом из которых система неравенств
образует на
числовой прямой отрезок длины 1.
Решение. Перепишем исходную систему в таком виде 
Все решения этой системы (пары вида
) образуют некоторую область, ограниченную параболами
и
(рис 1).
Очевидно, решением системы неравенств будет отрезок длины 1 при
и при
. Ответ:
;
.
Задача 3.Найдите все значения параметра
, при которых множество решений неравенства
содержит число
, а так же содержит два отрезка длиной
, не имеющие общих точек.
Решение. По смыслу неравенства
; перепишем неравенство, умножив обе его части на
(
), получаем неравенство:
,
,
,
,
(1)
Неравенство (1) равносильно совокупности двух систем:
1)
2)
![]()
Покажем области, которые соответствуют этим системам (рис. 2).
Очевидно, интервал
не может содержать отрезка длины
. Значит, два
непересекающихся отрезка длины
содержатся в интервале
Это возможно
при
, т.е. при
. Ответ:
.
Задача 4.Найдите все значения параметра
, при каждом из которых множество решений неравенства
содержит отрезок длиной 4 и при этом содержится в некотором отрезке длиной 7.
Решение. Проведём равносильные преобразования, учитывая, что
и
.
,
,
,
,
; последнее неравенство равносильно совокупности двух систем:
1)
2)
![]()
Покажем области, которые соответствуют этим системам (рис. 3).
1) При
множество решений - это интервал
длиной, меньшей 4. При
множество решений - это объединение двух интервалов
.Содержать отрезок длиной 4 может только интервал
. Но тогда
, и объединение
уже не содержится ни в каком отрезке длиной 7. Значит, такие
не удовлетворяют условию.
2)
множество решений - это интервал
.
Он содержит отрезок длиной 4, только если его длина больше 4, т.е. при
. Он содержится в отрезке длиной 7, только если его длина не
больше 7, т. е. при
, тогда
. Ответ:
.
Задача 5. Найдите все значения параметра
, при которых множество решений неравенства
содержит число 4, а также содержит два непересекающихся отрезка длиной 4 каждый.
Решение. По условия
. Домножим обе части неравенства на
(
). Получим равносильное неравенство, в котором сгруппируем все члены в левой части и преобразуем её в произведение:
,
,
,
.
Из последнего неравенства следует:
1)
2) 
Покажем области, которые соответствуют этим системам (рис. 4).
а) При
получаем интервал
, не содержащий числа
4. При
получаем интервал
, также не содержащий числа 4.
б) При
получаем объединение
двух интервалов.
Непересекающиеся отрезки длиной 4 могут располагаться только в интервале
. Это возможно только в том случае, если длина интервала
больше 8, т. е. если
. При таких
выполнено и другое условие:
. Ответ:
.
Задача 6. Найдите все значения параметра
, при которых множество решений неравенства
содержит какой-нибудь отрезок длиной 2, но не содержит никакого отрезка длиной 3.
Решение. По смыслу задания
, умножим обе части неравенства на
, сгруппируем все члены в левой части неравенства и преобразуем её в произведение:
,
,
,
. Из последнего неравенства следует:
1)
2) 
Покажем область, которая соответствует первой системе (рис. 5).
Очевидно, что условие задачи выполняется, если
. Ответ:
.
Задача 7. Найдите все значения параметра
, при которых множество решений неравенства 1+
содержится в некотором отрезке длиной 1 и при этом содержит какой-нибудь отрезок длиной 0,5.
Решение. 1). Укажем ОДЗ переменной и параметра: 
2). Перепишем неравенство в виде
,
,
,
,
(1). Неравенство (1) равносильно совокупности двух систем:
1) 
2) 
С учётом ОДЗ решения систем выглядят так:
1)
а)
б) 
Покажем область, соответствующую системе а) (рис. 6).
2)
а)
б) 
Покажем область, соответствующую системе а) (рис. 7). Ответ:
.
Задача 8. Шесть чисел образуют возрастающую арифметическую прогрессию. Первый, второй и четвертый члены этой прогрессии являются решениями неравенства
, а остальные
не являются решениями этого неравенства. Найдите множество всех возможных значений первого члена таких прогрессий.
Решение. I. Найдём все решения неравенства
![]()
а). ОДЗ:
, т.е.
(учли в решении, что функция
возрастает на
).
б). На ОДЗ неравенство
равносильно неравенству
, т.е.
, что даёт:
1). 
2). 
Очевидно, решением неравенства
служит множество значений
.
II. Проиллюстрируем вторую часть задачи о членах возрастающей арифметической прогрессии рисунком (рис. 8, где
- первый член,
- второй и т.д.). Заметим, что:
или имеем систему линейных неравенств:
решим её графическим способом. Строим прямые
и
, а также прямые
,
,
,
,
,
,
.
Все решения этой системы образуют область, показанную штриховкой на рисунке (рис.9).
Ответ: возможные значения первого члена
.
Задача 9. Найдите все значения
при которых в области определения функции
столько же целых чисел, сколько их в области определения функции ![]()
Решение. I. Покажем, что в области определения второй функции имеется ровно три целых числа. Целые значения
из области определения
функции
удовлетворяют условию
, тогда это числа: -1;
0; 1.
Функция
чётная;
![]()
Заметим, если
, то
.
II. Функция
определена, если

Найдём корни квадратного трёхчлена
![]()
тогда
.
Перепишем систему неравенств в виде
(*)
Последняя система равносильна совокупности двух систем:
а) 
б)

На плоскости
покажем графическое решение системы (*) (см. рис.10).
Вероятно, что 3 целых числа в области определения функции следует искать среди чисел 0, 1, 2, 3 и, может быть, числа 4. Проведём дополнительные прямые
,
,
,
,
и посмотрим, при каких
выполняется условие задачи.
Очевидно, что в области определения функции
ровно 3 целых числа при всех ![]()
![]()
Ответ: ![]()
Разобранные задачи достаточно убедительно демонстрируют эффективность предложенного метода. Однако, к сожалению, сфера применения этого метода ограничена трудностями, с которыми можно столкнуться при построении графического образа.
Задачи для самостоятельного решения
Задача 1. Найдите все значения параметра а, при каждом из которых система неравенств
образует
на числовой прямой отрезок длины 1.
Ответ:
;
.
Задача 2. Найдите все значения параметра а, при каждом из которых система неравенств
имеет
единственное решение.
Ответ: ![]()
Задача 3. Найдите все значения параметра
, при которых в множестве решений неравенства
можно расположить два отрезка длиной 1 и длиной 4, которые не имеют общих точек.
Ответ:
.
Задача 4. Найдите все значения параметра
, при которых множество решений неравенства
содержится в некотором отрезке длиной 4 и при этом содержит какой-нибудь отрезок длиной 2.
Ответ:
.
Задача 5. Семь чисел образуют убывающую арифметическую прогрессию с разностью
. Первый, второй и шестой
члены этой прогрессии являются решениями неравенства
, а остальные не являются решениями этого неравенства. Найдите множество всех
возможных значений разности этой прогрессии.
Ответ:
.