Непрямой упругий удар
Задачи на непрямой упругий удар практически не рассматриваются в курсе школьной физики. В то же время такие задачи встречаются в заданиях олимпиад различного уровня, в том числе вузовских олимпиад, включаемых в перечень Министерства образования, призеры которых имеют право засчитывать свой результат как высший балл по ЕГЭ. В связи с этим представляется целесообразным рассматривать задачи на непрямой упругий удар на школьном факультативе по физике, что в течение ряда лет и делается в Лицее научно-инженерного профиля города Королева. Кроме того, на факультативе имеется возможность систематизировано изложить подходы к решению данных задач, разбросанных по различным задачникам и учебным пособиям. Представляется, что данная статья может быть полезной как для учителей физики школ с углубленным изучением предмета, так и для абитуриентов.
Задача 1. На покоящийся шар налетает шар такой же массы. Найдите угол разлета шаров после нецентрального упругого удара. [1,2]
Решение. Используя теорему косинусов для треугольника импульсов, представленного на рисунке, запишем закон сохранения
импульса в виде:
где p0 - модуль импульс налетающего шара до удара, p1 - модуль импульса налетающего шара после удара, p2 - модуль импульса покоящегося шара после удара, α - угол разлета шаров. Закон сохранения энергии запишем также через импульсы шаров:

Если m1 = m2, то из уравнений (1) и (2) следует, что cosα = 0 и α = π/2.
Ответ: α = π/2.
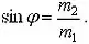
Задача 2. Тяжелая частица массы m1 сталкивается с покоящейся легкой частицей массы m2. На какой наибольший угол может отклониться тяжелая частица в результате упругого удара? [1]
Решение. Запишем закон сохранения импульса в виде (рисунок к задаче 1):
где p0 - модуль импульса налетающей частицы до удара, p1 - модуль импульса налетающей частицы после удара, p2 - модуль импульса покоящейся частицы после удара, φ - искомый угол отклонения налетающей частицы. Закон сохранения энергии запишем также через импульсы частиц:

Из второго уравнения выразим
И подставим в (1а). Тогда
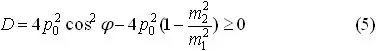
Детерминант уравнения (4) должен быть больше или равен нуля:

Отсюда получаем ограничение на угол отклонения налетающей частицы:

Максимальный угол отклонения имеет место, когда детерминант равен нулю. Для этого угла ![]()
Ответ: ![]()
Важным обстоятельством при упругом нецентральном ударе является то, что ввиду отсутствия сил трения, силы взаимодействия соударяющихся тел направлены по нормали к поверхности их соприкосновения.

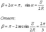
Задача 3. На горизонтальном столе покоится клин массой М = 4 кг. Сверху на клин падает шарик массой m = 1 кг. Определить угол при основании клина α, если известно, что после упругого удара о клин шарик отскочил под углом β = 45° к вертикали. Трением пренебречь.[3]
Решение. Поскольку смещения шарика и клина за время соударения пренебрежимо малы (удар, как обычно, считается мгновенным), а также из-за отсутствия трения, силы взаимодействия шарика и клина направлены по нормали к наклонной плоскости. Следовательно, изменение импульса шарика при ударе также будет направлено по нормали к наклонной плоскости клина (смотри рисунок, где через V0 и V обозначены скорости шарика до и после удара соответственно, U - скорость клина после удара). Из рисунка видно, что
Используя закон сохранения импульса в проекции на горизонтальное направление и закон сохранения кинетической энергии при упругом ударе, получаем следующие равенства:
Отсюда
Объединяя записанные выражения, получаем ответ.
Ответ:


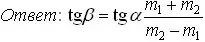
Задача 4. Два одинаковых шара радиусами R летят навстречу друг другу с одинаковыми скоростями как показано на рисунке. Расстояние между линиями движения центров шаров S = R. На какой угол β повернется вектор скорости каждого из шаров после удара? Удар считать упругим, шары - идеально гладкими. [3]
Решение. Обозначим через
скорости шаров после удара. Используя законы сохранения импульса и энергии
находим, что V1 = V2 = V, т.е. модули скоростей шаров после удара останутся прежними. Из предположения о кратковременности удара вытекает, что приращение импульса каждого из шаров направлено по линии, соединяющей центры шаров в момент удара. Из рисунка видно, что

Задачи для самостоятельного решения.
1. [1] Частица массы m1 налетает на шар массы m2. Направление ее движения составляет угол α с нормалью к
поверхности шара. Под каким углом к этой нормали отскочит от шара частица, если шар сначала покоился, а удар упругий?
2. [1] При упругом столкновении налетающей частицы с покоящейся первая полетела под углом α к направлению первоначального движения, а вторая - под углом β. Найдите отношение масс этих частиц.
m1 - масса налетающей частицы.
3. [1] Частица массы m1 налетела со скоростью v на неподвижную частицу массы m2, которая после упругого удара полетела под углом α к первоначальному направлению движения налетающей частицы. Определите скорость частицы массы m2 после удара.
4. [2] По центру неподвижного кубика, лежащего на гладкой горизонтальной поверхности, наносят удар шариком той же массы, так,
что начальная скорость шарика v направлена под углом α к оси симметрии кубика. Определить скорость v1 и v2 шарика и кубика после удара. Под каким
углом β к оси симметрии кубика полетит шарик после удара?
Ответ: v1 = v sinα; v2 = v cosα; β = π/2
5. [2] Шариком массой m наносят удар по клину. Масса клина M, угол при основании α. Удар абсолютно упругий. Трением можно
пренебречь. Определить скорость шарика v и скорость клина u после удара, если скорость шарика перед ударом равна v0 и направлена: а) перпендикулярно поверхности клина; б)
по вертикали; в) по горизонтали.

Литература:
- Задачи по физике: Учеб. пособие/ И.И. Воробьев, П.И. Зубков, Г.А. Кутузова и др.; Под ред. О.Я. Савченко. − 2-е изд., перераб. − М.: Наука. Гл. ред. физ.-мат. лит. 1988. - 416 с.
- Дмитриев С.Н., Васюков В.И., Струков Ю.А. Физика: Сборник задач для поступающих в вузы. Изд. 7-е, доп. М: Ориентир. 2005. - 312 с.
- Драбович К.Н., Макаров В.А., Чесноков С.С. Физика. Практический курс для поступающих в университеты. - М.: ФИЗМАТЛИТ, 2006. - 544 с. - ISBN 5-9221-0652-Х.