Тема урока: "Решение рациональных уравнений". 10-й класс
Основные методы решения уравнений высших степеней - замена переменной и разложение на множители, а также нетрадиционные методы, которые являются наиболее сложными для учащихся.
Определения:
Уравнения вида
где
называются биквадратными.
Уравнения вида
называются возвратными, если его коэффициенты, одинаково удалённые от начала и конца равны между собой.
Уравнения вида
где
называются симметричными уравнениями третьей
степени.
Уравнения вида
где
называются симметричными уравнениями
четвёртой степени.
Уравнение вида
называются однородным уравнением степени k относительно u и v, если
- однородный многочлен степени k, то есть степень каждого его члена равна одному и тому же числу k.
Однородные уравнения относительно u и v обладают тем свойством, что если разделить всё уравнение на наивысшую степень одной из переменных, например, u (если u=0
не является корнем уравнения), то оно становится уравнением с одной переменной ![]()
Теорема. Если целое рациональное уравнение с целыми коэффициентами имеет целые корни, то оно являются делителями свободного члена уравнения.
Теорема. Если уравнение с целыми коэффициентами имеет рациональный корень
где
- несократимая дробь, то p - делитель свободного члена, а q - делитель старшего члена.
1. Разложение на множители.
Решение уравнений тесно связано с разложением левой части на множители. Полезно вспомнить различные приёмы разложения многочленов на множители:
Вынесение общего множителя за скобки.
Применение формул сокращённого умножения.
Способ группировки.
Применение теоремы Безу.
Из "Сборника задач 8-9" М. Л Галицкого можно предложить задания № 9. 1-9. 3.
2. Замена переменной.
Метод введения новой переменной заключается в том, что для решения уравнения
вводят новую переменную (подстановку)
и выражают
через y, получая новое уравнение ![]()
После этого получают совокупность уравнений, из которых находят корни исходного уравнения.
Решим уравнение:
![]()
![]()
Пусть
, тогда
![]()
![]()
![]()

Ответ: -6; -2; -4![]()
3. Биквадратные уравнения.
Для решения уравнение вида
где
надо сделать подстановку
найти корни
и
квадратного уравнения
и решить уравнения
и ![]()
Решим уравнение:
![]()
Пусть
тогда 

Ответ: -1; 1.
4. Возвратные уравнения.
Уравнения вида
можно решить, введя новую переменную![]()
Решим уравнение:
![]()
Так как x=0 не является корнем уравнения, то разделим обе части уравнения на x2. Получим:
![]()
Пусть
тогда
![]()



Ответ: 
Из "Сборника задач 8-9" М. Л Галицкого можно предложить задания № 9. 25.
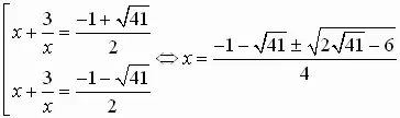
5. Симметричные уравнения
В уравнении вида
где
разделим обе части уравнения на
x2, так как x=0 не является корнем уравнения, и сделаем замену ![]()
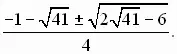
Решим уравнение:
![]()
Это уравнение является симметричным уравнением четвёртой степени. Так как x=0 не является корнем уравнения, то разделив обе части на x2 получим:

Пусть
тогда:

Ответ: 1; 
Из "Сборника задач 8-9" М. Л Галицкого можно предложить задания № 9. 24.
6. Однородные уравнения.
Однородные уравнения обладают тем свойством, что если разделить все члены уравнения на наивысшую степень одной из переменных, то оно превращается в уравнение с одной переменной.
Решим уравнение:
![]()

Пусть
тогда получим:

Затем, 
Ответ: 1.
Из "Сборника задач 8-9" М. Л Галицкого можно предложить задания № 9. 26; № 9. 27.
7. Метод неопределённых коэффициентов.
Довольно часто трудно увидеть требуемую группировку или формулу. Тогда можно сделать попытку реализовать метод разложения - метод неопределённых коэффициентов.
Рассмотрим уравнение четвёртой степени. Многочлен четвёртой степени можно разложить на множители так: ![]()
![]()
Решим уравнение ![]()
Учитывая сделанные выше рассуждения составим систему:

Так как произведение двух целых чисел равно 5, то b=1, d=-5 или b=-1, d= -5. Решением системы является a=-1, b=-1, c=2, d=-5. Тогда данное уравнение можно записать так:
![]()
Ответ: 
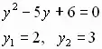
Для успешного изучения материала можно включить следующие уравнения:
![]()
![]()


![]()


![]()

![]()
Материал этой статьи поможет при подготовке к урокам по данной теме в математических классах или работы математического кружка.