12.07.2012
Урок геометрии по теме "Итоговое повторение. Задание В9 на вычисление площадей поверхностей многогранников". 11-й класс
поделиться
Тип урока: комбинированный.
Цели урока:
- повторение формул для вычисления площадей геометрических фигур, площадей поверхностей многогранников; привитие практических навыков решения заданий В9 ЕГЭ;
- развитие умений сравнивать, выявлять закономерности; развитие логического мышления, памяти и математической речи; графической культуры;
- воспитание ответственного отношения к учебному труду; формирование навыков самостоятельной деятельности; расширение кругозора.
Оборудование: мультимедийный проектор, компьютер, модели геометрических фигур, многогранников;
http://live.mephist.ru/show/mathege2011/view/
Литература:
- Геометрия, 10-11: учеб. для общеобразоват. учреждений / Л. С. Атанасян и др. - М.: Просвещение, 2010, стр.62-65
- Ященко И. В., Шестаков С. А., Захаров П. И. Подготовка к ЕГЭ по математике в 2011 году, методические указания. - М.: МЦНМО, 2011. стр.15-16, 74-78.
- Высоцкий И. Р. и др. ЕГЭ 2011. Математика. Универсальные материалы для подготовки учащихся / ФИПИ - М.: Интеллект-центр, 2011. стр. 83-86.
Ход урока
1. Организационный момент
- проверить готовность класса к уроку;
- сообщить классу тему урока в ходе решения устных заданий.
2. Устные задания
- Повторение формул для вычисления площадей геометрических фигур;
Задание: установить соответствие формул площадей с геометрическими фигурами.


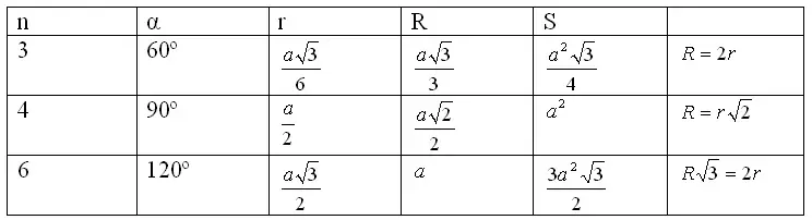
- Повторение формул для правильных многоугольников

- Повторение формул для вычисления площадей поверхностей многогранников.
Площадью поверхности многогранника по определению считается сумма площадей, входящих в эту поверхность многоугольников.
Площадь поверхности призмы состоит из площади боковой поверхности и площадей оснований.
Площадь поверхности пирамиды состоит из площади боковой поверхности и площади основания.


3. Решение задач по теме "Вычисление площадей поверхностей многогранников".
Презентация (14 задач по данной теме)
- Чему равна площадь поверхности куба с ребром 1? (6)
- Объем куба равен 8 м3. Найдите площадь его поверхности. (24 м2)
- Как изменится площадь поверхности куба, если каждое его ребро увеличить в: а) 2 раза; б) 3 раза; в) n раз? (в 4 раза, в 9 раз, в n2 раз)
- Чему равна площадь поверхности правильного тетраэдра с ребром 1? (
) - Чему равна площадь поверхности октаэдра с ребром 1?(
) - Чему равна площадь поверхности икосаэдра с ребром 1? (
) - Найдите площадь боковой поверхности правильной шестиугольной призмы, сторона основания которой равна 5 см, а высота 10 см. (300 см2)
- Основанием прямой треугольной призмы служит прямоугольный треугольник с катетами 3 см и 4 см, высота призмы равна 10 см. Найдите площадь поверхности данной призмы. (132 см2)
- Найдите площадь поверхности прямой призмы, в основании которой лежит ромб с диагоналями 6 см и 8 см и боковым ребром 10 см. (248 см2)
- Найдите площадь боковой поверхности правильной четырёхугольной пирамиды, сторона основания которой равна 6 см и высота равна 4 см. (60 см2)
- Найдите площадь боковой поверхности правильной треугольной пирамиды со стороной основания 6 см и высотой 1 см. (18 см2)
- Найдите площадь боковой поверхности правильной шестиугольной пирамиды со стороной основания 4 см и высотой 2 см. (48 см2)
- Как изменятся площади боковой и полной поверхностей пирамиды, если все её рёбра: а) увеличить в 2 раза; б) уменьшить в 5 раз? (в 4 раза; в 25 раз)
- Развёртка поверхности правильной треугольной пирамиды представляет собой равносторонний треугольник, площадь которого равна 80 м2. Найдите площадь грани пирамиды. (20 м2)
4. Подведение итогов урока
5. Задание на дом: В9: 17-20, В9:25-28 стр. 85[3]
поделиться