Формула корней квадратных уравнений
Цели урока: показать правила оформления решения квадратного уравнения; формировать умение решать квадратные уравнения при различных значений дискриминанта.
Оборудование: А.Г. Мордкович. Алгебра. 8 класс. В 2 частях учебник, блокноты для учащихся; формулы дискриминанта на карточках.
Ход урока
I. Организационный момент.
II. Изучение нового материала.
Поработаем с квадратными уравнениями. Это очень популярные уравнения! В самом общем виде квадратное уравнение выглядит так:
ах2 + bх + с = 0
1. Занесите в таблицу коэффициенты предлагаемых уравнений.
| Уравнение | а - старший коэффициент | b - второй коэффициент | с - свободный член |
| 2х2 – 9 х + 9 = 0 | |||
| 4х2 – 9 = 0 | |||
| 4х2 = 0 | |||
| 3х2 – 4 х = 0 | |||
| 1 - 3х2 = 0 | |||
| 24 + 6 m2 = 0 |
2. Восстановите квадратное уравнение.
| Уравнение | а - старший коэффициент | b - второй коэффициент | с - свободный член |
| 3 | -2 | 1 | |
| 1 | 2 | 0 | |
| 3 | 0 | 4 | |
| -4 | 0 | 0 | |
| 9 | 0 | -4 | |
| 3 | -4 | 0 |
Просмотреть примеры: х2 + 3 х - 4 = 0
Здесь а =1; b = 3; c = -4
Или: 2 х2 - 0,5 х + 2,2= 0
Здесь а =2; b = -0,5; c = 2,2
Или: - 3х2 + 6 х - 18 = 0
Здесь а =-3; b = 6; c = -18
Ну, вы поняли…
Правило решения уравнения ах2 + bх + с = 0
Вычислить дискриминант D по формуле D = b2 – 4 a c
1. Если D < 0, то квадратное уравнение не имеет корней.
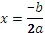
2. Если D= 0, то квадратное уравнение имеет один корень:
![]()
3. Если D>0, то квадратное уравнение имеет два корня:
![]()
![]()
III. Работа учебным материалом.
1. Прочитать самостоятельно п. 25 стр. 138–147 (часть 1).
2. Решить примеры совместно с учителем.
1) Решить уравнение x2-8x+7=0.
D=b2-4ac=(-8)2-4*1*7=64-28=36
Ответ: 7, 1.
2) Решить уравнение x2-8x+16=0
D=b2-4ac=(-8)2-4*1*16=64-64=0 уравнение имеет единственное решение.
![]()
Ответ: 4.
Примечание: решение можно было найти, заметив формулу квадрата разности и решив уравнение (x-4)2=0.
3) Решить уравнение x2-5x+8=0
D=b2-4ac=(-5)2-4*1*8 = 25 -32 = - 7
- решений в
поле действительных чисел нет.
IV. Индивидуальная работа.
(К доске вызываются 4 ученика для решения уравнений с карточек)
|
Карточка 1 X 2 +2X -15=0 |
Карточка 2 3X2+4X +3=0 |
|
Карточка 3 3X2 -6X +3=0 |
Карточка 4 7X2 -8X +1=0 |
V. Подведение итогов урока.
Учитель: Итак, что мы повторили на сегодняшнем уроке?
Ученики отвечают на вопросы:
- повторили понятия квадратных и биквадратных уравнений;
- повторили все формулы для нахождения корней квадратных уравнений;
- рассмотрели примеры на каждую из формул.
Выставление оценок за урок.
VI. Задание на дом: № 25.7 – 25 (в, г).