Факультативные занятия по математике, 9-й класс. Тема:"Системы линейных уровнений"
Цели занятия:
- знакомство учащихся с понятием систем уравнений изучение различных методов их решения, повторение способов решения алгебраических систем;
- развитие математического мышления и логической речи учащихся, воображения, умения анализировать, применять свои знания в незнакомой ситуации;
- воспитание интереса к предмету, прилежания, внимания.
Системы линейных уравнений часто встречаются в разных приложениях математики (например, к физике, химии, экономике). Рассмотрим вопросы о простейших способах решения таких систем и об универсальном способе - методе Гаусса.
1. Исключение переменной
Понять метод лучше всего на примере. Рассмотрим систему![]()
Чтобы её решить, исключим с помощью первого уравнения переменную х из второго уравнения. Подготовим для этого оба уравнения так, чтобы коэффициенты при х у них были одинаковы.
Умножая первое уравнение на 7, а второе на 2, получаем ![]()
Теперь оставим первое уравнение нетронутым, а второе заменим на разность между первым и вторым уравнениями:
Придадим
теперь первому уравнению его первоначальный вид, а второе разделим на:![]()
Подставляя значение у = 3 в первое уравнение, находим ![]()
Ответ получен, система уравнений имеет единственное решение - пару чисел (-2; 3).
Задачи
1. Методом исключения переменной решите систему:
а)
; б )
2. Две точки движутся по числовой оси со скоростями U = -12 км/ч и V= 12 м/с. Вначале их абсциссы были а = З км и b= - 500 м. Где и когда они встретятся?
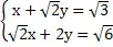
2. Замена переменных
Одним из основных приёмов алгебры является замена одних переменных другими. Этот приём позволяет сводить задачи к более простым.
Пусть, например, нам нужно решить систему нелинейных уравнений
Полагая, U =
, V=
, мы получаем линейную
систему с новыми переменными U , V:![]()
Решая её, находим, U = - 2, V = 3. Возвратимся теперь к старым переменным:
= -2,
= 3, откуда x= -
, y =
.
3. Методом замены переменных решите систему
а)
б)
в)
,
3. Геометрический смысл линейного уравнения
Чтобы найти уравнение прямой у = кх + Ь, проходящей через точки с координатами (1; 2) и (3; 1), подставим в уравнение у = кх + b вместо x и у
координаты данных точек. Мы получим систему ![]()
Решая её, находим k = -
, b =
. Таким
образом, искомое уравнение у = -
x +
.
Но может случиться и так, что соответствующая система уравнений не имеет решений. Пусть, например, данные точки имеют координаты (1; 2) и (1; 3). Подставляя эти значения в уравнение у = кх +
b , получаем систему ![]()
не имеющую решений (ведь из уравнений системы следует 2=3). На первый взгляд, это немного удивительно - ведь через две точки всегда проходит прямая.
Оказывается, уравнение прямой, проходящей через точки (1; 2) и (1; 3), не записывается в виде у = кх + b её уравнение х = 1.
Таким образом, мы выяснили причину недоразумения - задача была неудачно сформулирована: в условии предполагалось, что уравнение прямой на координатной плоскости всегда имеет вид у =
кх + b , однако для прямых, параллельных оси ординат это не так. В связи с этим обстоятельством уравнение произвольной прямой записывают в виде ax + by = c.Такой вид позволяет охватить все
прямые на координатной плоскости. Например, если положим, а =
, b = 1, c = 2,5 , получится уравнение первой
найденной нами прямой, а если взять a = 1, b = 0, с = 1 - уравнение второй прямой.
Рассмотрим теперь систему ![]()
Решить её - это на геометрическом языке значит найти общие точки прямых, заданных уравнениями х+
=
.
Решим эту систему методом исключения переменной: умножим первое уравнение на
и вычтем из второго:
![]()
В результате нам осталось только одно уравнение. Это означает, что система имеет бесконечное множество решений и прямые совпадают. В процессе решения мы обнаружили, что второе уравнение - это
первое, умноженное на
, что сразу можно не заметить.
В разобранных задачах мы столкнулись со всеми возможными ситуациями: система имеет единственное решение, не имеет решений, имеет бесконечное множество решений. Так же обстоит дело и в общем случае. Система п линейных уравнений с п неизвестными, как правило, имеет единственное решение. Но когда одно из её уравнений является "линейной комбинацией" остальных уравнений, или противоречит им, она имеет бесконечное число решений или их вообще нет.
Задачи.
4. Найдите уравнение прямой, проходящей через точки: а) (1; 5) и (2; 3); б) (6; 1) и (6; 5).
5.При каких k, b прямые у - kх = 2 и 2у -6х = b а) совпадают? б) не пересекаются?
6. При каких a система не имеет решений ![]()
7. Докажите, что система только тогда имеет единственное решение, когда а1в2 -а2в1
0
(Число а1в2 - а2в1 называется определителем системы) ![]()
Вычислите определители второго порядка.
а)
; б)
; в)
; г)
; д)
; е) ![]()
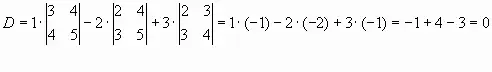
Под определителем (детерминантом) третьего порядка понимается выражение:
D=
=
Числа
(i=1, 2, 3) называются элементами определителя; они расположены в трех строках и трех столбцах его (ряды определителя).
Пример. Вычислить: D=
Решение: По формуле:

Основные свойства определителей
1. (Равноправность строк и столбцов) Определитель не меняет своего значения при замене всех его строк соответствующими столбцами, т.е.:
= 
2. При перестановке двух параллельных рядов определителя его абсолютная величина сохраняет прежнее значение, а знак меняется на обратный.
Пусть, например, в определителе D=
Переставлены первая и вторая строки, тогда получим определитель D=
Следствие. Определитель, у которого два параллельных ряда одинаковы, равен нулю. D=
4. Метод Гаусса
Этот метод решения имеет несколько названий:
1) метод последовательного исключения переменных;
2) метод сведения системы к треугольной форме;
3) метод Гаусса
Последовательное исключение переменных - наиболее удобный способ решения систем линейных уравнений на компьютерах.
Продемонстрируем его на примере системы трёх уравнений с тремя переменными

Первый шаг состоит в том, что с помощью первого уравнения переменная х, исключается из остальных уравнений, первое уравнение остаётся неизменным; из второго уравнения вычитаем удвоенное первое; из третьего уравнения вычитаем учетверенное первое; получаем:

Второй шаг состоит в том, что с помощью нового второго уравнения переменная х2 исключается из третьего уравнения: первые два уравнения остаются неизменными; из третьего уравнения
вычитаем второе; получаем:
Теперь из последнего уравнения находим: х3 = - 2. Подставляя это значение в предыдущее уравнение, находим х2 = 2. Подставляя х2=2 и х3= - 2 в первое уравнение, находим х1 = 1. Ответ: (1;2;-2).
Аналогичным образом можно решать любые системы линейных уравнений.
Метод Гаусса заключается в следующем:
С помощью первого уравнения переменная х1 исключается из остальных уравнений. Затем с помощью нового второго уравнения переменная х2 исключается из всех следующих уравнений. Потом с помощью нового третьего уравнения исключается переменная х3. И так далее, пока мы не получим в последнем уравнении значение последней переменной. После этого находим переменные в обратном порядке, подставляя их известные значения в уравнения.
Мы видим, что это - почти готовая программа для компьютера. Но, чтобы этот метод срабатывал, нужно, чтобы на к - м шаге новое к - е уравнение содержало к - ю переменную (ведь с его помощью нам нужно исключить эту переменную из остальных уравнений). Если оказывается, что это не так, приходится переставлять (перенумеровывать) уравнения или переменные.
Может случиться также, что с некоторого места последние уравнения превратятся в числовые равенства вида 0 = b. Если хотя бы одно из этих равенств неверно (b
0), то система не имеет решений. Если же все эти равенства верны, то система имеет бесконечное множество решений. (Все такие ситуации предусмотрены в реально используемых программах для
компьютеров.)
Отметим, что в компьютеры вводятся не уравнения, а таблицы коэффициентов - так называемые матрицы системы. Например, системе, которую мы только что решали, сопоставляется матрица
![]()
Два шага метода Гаусса, которые мы сделали при решении, можно изобразить так:
![]()
Кстати сказать, когда системы с тремя и большим числом переменных решаешь вручную, а не на компьютере, то тоже удобнее действовать с матрицами - меньше шансов ошибиться.
5. Правило Крамера
Существует еще один метод, так называемое правило Крамера.
Теорема. Если главный определитель системы уравнений не равен 0, то система уравнений имеет единственное решение:
.
Это правило названо именем швейцарского математики Крамера (1704 - 1752), который одним из первых пришел к понятию определителя и доказал приведенную здесь теорему в 1750 году в своей работе "Введение в анализ кривых линий". В курсе высшей алгебры вводится понятие определителя порядка n для любого натурального n и излагается метод решения системы n линейных уравнений с n неизвестными с помощью таких определителей. Этот метод очень важен как при решении теоретических вопросов, так и при исследовании систем уравнений с буквенными коэффициентами. Он широко применяется (как и само понятие определителя) не только в высшей алгебре, но и в других разделах высшей математики, в механике и теоретической физике. Однако, для практического решения систем линейных уравнений с числовыми коэффициентами самым экономным (в смысле объема производимых вычислений оказывается метод последовательного исключения неизвестных) именно им часто пользуются на практике. С этим методом мы познакомимся позже, а сегодня научимся применять теорему Крамера при решении систем линейных уравнений с использованием ваших знаний и умений полученных на уроках информатики/
Решение систем линейных уравнений с тремя неизвестными по методу Крамера.
Пусть дана система линейных уравнений с тремя неизвестными:
(2.3)
Теорема 2. Если главный определитель системы отличен от нуля, то система имеет решение, притом единственное. Решение системы определяется формулами:
(2.4) где x1, x2, x3 - корни системы уравнений,
- главный
определитель системы,
x1,
x2,
x3 - вспомогательные определители.
Главный определитель системы определяется:

Вспомогательные определители:

Практическое занятие.
Задание ЗМВШ № 5 тема: Системы линейных уравнений
Обязательные задачи.
1. Методом исключения переменной решите систему:![]()
б)
2. Две точки движущиеся по часовой оси со скоростями U =- 12км/ч и V = 12 м/с. Вначале их абсциссы были а = 3 км и в=-500м. Где и когда они встретятся?
3. Методом замены переменных решите систему:
а)
б)
в)
,
4. Найдите уравнение прямой, проходящей через точки: а) (1;5) и (2;3); б) (6;1) и (6;5).
5. При каких k, b прямые у - kх = 2 и 2у -6х = b а) совпадают? б) не пересекаются?
6. При каких a система не имеет решений ![]()
7. Решите систему:
8. Математик вышел гулять - сначала он пошёл по ровной дороге, затем поднялся в гору, повернул назад и пришёл домой той же дорогой. Он знал, что гулял всего 5 часов, что его скорость по ровной дороге равна 4 км/ч, в гору - 3 км/ч и при спуске с горы - 6 км/ч. Сев за стол и, составив одно уравнение с двумя переменными: х - пройденное в оба конца расстояние и у - длина наклонного участка, математик с удивлением обнаружил, что может найти х.
| х | 0 | 1 | 2 |
| у | 1 | 2 | 2 |
9. Определите числа а, в и с так, чтобы функция у = а +в(х-1) + с(х-1)(х-2) имела таблицу значений.
10. Определите числа а,в и с так, чтобы равенство (х2-3х+2)а + (3х-1)(вх + с) =1 выполнялось для всех х.
11. На основании АВ равнобедренного треугольника АВС взята точка Е. В треугольники АСЕ и ЕСВ вписаны окружности, которые касаются отрезка СЕ в точках К и Н соответственно. Найдите длину отрезка КН, если АЕ = а, ЕВ = в.
Тест
1. Решением какой системы уравнений является пара чисел (-1;2):
а)
б)
в) ![]()
2. В уравнении 2х + у = 8 выразите х через у: а) х = 4 +
у б) х = 8 - 2у в) х = 4 -
у
3. Сумма двух чисел равна 7, а их разность. С помощью, какой из систем можно решить эту задачу? Найдите эти числа.
а)
б)
в) ![]()
4. Дана система ![]()
Какая из пар чисел является ее решением?
а) (4;0) б) (3;0) в) (3;-1)
5. Сколько решений имеет система ![]()
а) одно; б) бесконечно много; в) не имеет решение.
Ответы на тест: 1.б, 2в, 3а, 4в, 5б.
Библиография.
- Алгебра И.М.Гельфанд, А.Шанель. Издательство МЦНМО, М. 2009.
- Системы линейных уравнений В.Л.Гутенмахер. ОЛ ВЗМШ, М. 2002.
- Многочлены С.Л.Табачников, Издательство ФАЗИС, М. 2004.
- Уравнения и неравенства В.Н.Шандер, Москва. МАКС-Пресс. 2000.
- Тесты по алгебре Ю.А.Глазков, М.Я.Гаиашвили, Издательство "Экзамен", М. 2010.
- Математика: многоуровневые самостоятельные работы в форме тестов, составитель И.С.Ганенкова, Издательство "Учитель", Волгоград. 2007.
- Алгебра, 7-8 класс, тесты для промежуточной аттестации, под редакцией Ф.Ф.Лысенко, Издательство "Легион", Ростов-на-Дону, 2008.