Исследовательская деятельность учащихся по химии
ЕДИНСТВЕННЫЙ ПУТЬ, ВЕДУЩИЙ
К ЗНАНИЮ, – ЭТО ДЕЯТЕЛЬНОСТЬ.
БЕРНАРД ШОУ.
Модернизация российского образования ориентирует учебно-воспитательный процесс на развитие личности обучающегося, ее познавательных начал и созидательных способностей, на реализацию творческого потенциала школьника, что исключает выступление ученика в роли пассивного слушателя, поглотителя информации. Одним из направлений обновления содержания химического образования на современном этапе является усиление методологической составляющей, предполагающей формирование представлений учащихся о методах научного познания и их месте в системе общечеловеческих и культурных ценностей. Поэтому приоритетным направлением в своей педагогической деятельности считаю организацию исследовательской деятельности обучающихся.
Мы согласны с мнением Р.Г. Ивановой и А.Г. Иодко, считающих исследовательскую деятельность учащихся совокупностью действий поискового характера, ведущих к открытию неизвестных учащимся фактов, теоретических знаний и способов деятельности. Под исследовательской деятельностью учащихся, которая моделирует процесс научного познания, можно понимать особый вид интеллектуально-творческой деятельности поискового характера, направленный на формирование адекватного представления об изучаемом объекте, осуществляемый в соответствии с требованиями научного исследования и сопровождающийся овладением необходимыми знаниями и умениями, а значит, и формированием компетенций. Именно в процессе исследовательской деятельности формируются многие, если не все, ключевые компетенции: 1) ценностно-смысловая, 2) общекультурная, 3) учебно-познавательная, 4) информационная, 5) коммуникативная, 6) социально-трудовая, 7) личностная компетенция самосовершенствование.
Учебное исследование строится по принятым в науке традициям: постановка проблемы, изучение литературы по данной проблематике, подбор методик исследования и практическое овладение ими, сбор собственного материала, его анализ и обобщение, научный комментарий, собственные выводы.
Исследовательская деятельность учащихся организуется как на уроке, так и во внеурочное время. Во внеурочное время исследовательская работа организуется с учащимися, склонными к данному виду деятельности. Практикуются две формы организации исследовательской работы: индивидуальная и групповая. Внеурочная исследовательская деятельность организуется в двух направлениях: подготовка к научно-исследовательской конференции учащихся “шаги в науку” и работа в рамках школьного научного общества учащихся поиск”. Суть исследовательской работы состоит в сопоставлении данных первоисточников, их творческом анализе и представлении новых выводов. Последовательность действий при проведении исследования такова:
- Определение объектной области, объекта и предмета исследования.
- Выбор темы и обоснование её актуальности.
- Изучение научной литературы и уточнение используемых понятий.
- Формулирование гипотезы.
- Формулирование цели и задач исследования.
- Планирование эксперимента.
- Организация проведения эксперимента
- Анализ результатов исследования.
- Формулирование выводов.
- Составление практических рекомендаций.
В данной статье предлагается исследовательская работа для старшеклассников (10 класс) по теме “Количественное определение содержания карбоната кальция в зубной пасте”. Одно из достоинств этой работы – богатая практическая часть, причем методика исследования может быть реализована в химической лаборатории любой школы.
Древние утверждали: “Человек здоров, пока здоровы его зубы”. Три основных заболевания представляют собой “стоматологические проблемы” современного человека: кариес, зубные отложения, пародонтоз. Одной из наиболее эффективных и вместе с тем наиболее простых мер профилактики этих заболеваний является очистка зубов. Эту задачу гигиену ротовой полости выполняет зубная паста. Основу зубной пасты составляют абразивные вещества, способные механически удалять зубной налет и полировать поверхность зубной эмали. В качестве абразивов чаще используют химически осажденный карбонат кальция.
В настоящее время в продаже появилось много сортов зубной пасты российского и импортного производства. Какая зубная паста эффективнее снимает зубной налет? нас заинтересовала эта проблема, и для своей исследовательской работы мы выбрали тему “количественное определение содержания карбоната кальция в зубной пасте”
Объект исследования: разные сорта зубной пасты российского и импортного производства.
Предмет исследования: содержание карбоната кальция в зубной пасте разных сортов.
Цель исследования: на теоретическом уровне изучить виды и состав зубной пасты, на практическом уровне определить содержание карбоната кальция в зубной пасте разных сортов и видов.
Задачи исследования:
- Изучить литературу по данной проблеме
- Освоить метод кислотно-основного титрования.
- Методом кислотно-основного титрования определить количественное содержание карбоната кальция в зубной пасте и сравнить с требованиями гост.
- Сравнить содержание карбоната кальция в зубной пасте российского и импортного производства.
- Сравнить содержание карбоната кальция в зубной пасте разных видов.
- Рекомендовать определенные сорта и виды зубной пасты к использованию как средство гигиены за зубами.
Практическая часть
Анализ зубной пасты на количественное содержание карбоната кальция проводили в школьной лаборатории. Для проведения эксперимента нужна была методика. При выборе методики, мы обратились к методам количественного анализа, описанным в учебных пособиях В.Н. Алексеева “Количественный анализ”, М., Химия, 1972; Н.Я.Логинов “Аналитическая химия”, М. Просвещение, 1975. Из методов количественного анализа был выбран титриметрический анализ-метод кислотно-основного титрования – способ обратного титрования. Титрование – это процедура, используемая для определения концентрации растворов. Точный объем раствора неизвестной концентрации помещают в коническую колбу. Другой раствор известной концентрации (титрант) добавляют небольшими порциями из бюретки. Неизвестную концентрацию можно определить по конечной точке титрования, т.е. моменту окончания реакции (точка эквивалентности). Точка эквивалентности фиксируется по изменению окраски титруемого раствора.
В основе метода кислотно-основного титрования лежит реакция:
![]()
При кислотно-основном титровании точка эквивалентности определяется при помощи индикаторов, которые изменяют свою окраску в зависимости от реакции среды (величины рН). Этими методами определяют концентрации кислот, щелочей и солей. Способ обратного титрования (титрование по остатку) заключается в том, что к анализируемому раствору приливают некоторый избыток реагента и этот избыток оттитровывают другим реагентом известной концентрации.
Выражение концентрации растворов различно. При проведении титриметрического анализа применяют главным образом растворы, концентрация которых выражена через нормальность. Нормальностью называют число, которое показывает, сколько грамм-эквивалентов растворенного вещества содержится в 1 л раствора.
Методика определения количественного содержания карбоната кальция в зубной пасте
Реактивы и оборудование. Зубная паста различных сортов, в составе которой содержится карбонат кальция. Раствор соляной кислоты и гидроксида калия с концентрацией 0,5 н (с точно известным титром), 1 % раствор метилового оранжевого.
Оборудование: весы технические, штатив лабораторный, бюретка для титрования на 25 мл, мерный стакан на 50 мл, пипетка, стеклянная палочка.
Техника выполнения работы.
Отвесить 1 г зубной пасты. Навеску зубной пасты в мерном стакане залить 25 мл 0,5 н раствором соляной кислоты. Раствор зубной пасты в соляной кислоте нагреть на водяной бане до прекращения выделения углекислого газа. Затем мерный стакан с раствором зубной пасты охладить и добавить 3-5 капель 1 % раствора метилового оранжевого. Оттитровать 0,5 н раствором гидроксида калия до появления желтой окраски, не исчезающей в течение 1 мин. Записать объем затраченного раствора щелочи. Определение проводить 3 раза. Рассчитать среднее значение объема р-ра щелочи.
Принцип метода: способ количественного определения карбоната кальция в зубной пасте основан на методе обратного титрования (титрование по остатку).
Навеску зубной пасты обработали избытком 0,5 н раствора соляной кислоты. При обработке навески зубной пасты избытком раствора соляной кислоты протекает реакция:

Избыток раствора соляной кислоты (Оставшийся раствор соляной кислоты после реакции с карбонатом кальция) титруют раствором щелочи в присутствии индикатора метилового оранжевого. Титрование производится до первых признаков неисчезающего желтого окрашивания.
При кислотно-основном титровании протекает реакция:
![]()
Параллельно провели контрольный опыт: 25 мл 0,5 н раствора титровали 0,5 н раствором гидроксида калия. Растворы одинаковой нормальности реагируют в равных объемах.
Объем щелочи, затраченный на титрование раствора соляной кислоты в контрольной пробе равен 25 мл.
По разности объемов щелочи затраченной на титрование в контрольной пробе и избытка раствора соляной кислоты, вычисляем объем раствора гидроксида калия который был бы затрачен на титрование объема раствора соляной кислоты, пошедшего на реакцию с карбонатом кальция, содержащегося в навеске зубной пасты. По количеству израсходованной кислоты на реакцию с карбонатом кальция судят о количестве карбоната кальция CaCO3.
Вычисление результатов эксперимента
В основе расчетов лежат уравнения химических реакций:

Необходимо объемные выражения количеств щелочи (мл), затраченной на титрование, пересчитать на единицы массы (г).
Рассчитаем титр (Т) раствора гидроксида калия.
1 г-экв. КОН = 56,109 г
0,5 г-экв. КОН = 28,054 г
1000 мл 0,5 н раствора гидроксида калия содержит 28,054 г гидроксида калия КОН, а 1 мл – 28,054:1000 = 0,028054 г
Титр (Т) р-ра гидроксида калия равен 0,028054 г/мл
Ткон = 0,028054 г/мл
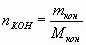
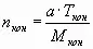
Рассчитаем количество вещества (n) гидроксида калия, затраченного на реакцию с соляной кислотой, прореагировавшей с карбонатом кальция.
![]()
![]()
a – объем раствора КОН, затраченного на реакцию с раствором HCl, пошедшей на реакцию с карбонатом кальция.
![]()
V1 – объем раствора КОН, затраченного на титрование в контрольном опыте.
V2 – объем раствора КОН, затраченного на титрование избытка р-ра HCl в растворе зубной пасты.
ТКОН – титр раствора КОН.
Количество вещества (n) гидроксида калия рассчитываем по формуле:
![]()
М – молярная масса КОН.
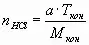
Вычисляем количество вещества соляной кислоты, затраченной на реакцию с карбонатом кальция. В реакции нейтрализации реагируют равные количества эквивалентов веществ.
Согласно УХР (2)
nHCl = nКОН
![]()
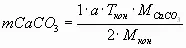
Вычисляем процентное содержание карбоната кальция по УХР (1)
n HCl : n CaCO3 = 2 : 1
![]()
![]()
![]()
Массу карбоната кальция рассчитаем по формуле:
![]()
=
100 г/моль
=
56 г/моль
![]()
Вычисление процентного содержания карбоната кальция проводим по следующей формуле:
![]()
![]()
a = V1 – V2
V1 – объем р-ра КОН, затраченного на титрование в контрольном опыте
V1 = 25 мл
V2 – объем р-ра КОН, затраченного на титрование избытка р-ра HCl в растворе навески зубной пасты.
Результаты опытов представлены в таблцах 1 и 2.
Таблица 1
|
Сорт зубной пасты |
Количество карбоната кальция CaCO3, % |
|
Зубная паста российского производства |
|
| Мечта-флора | 25 |
| Знахарь | 25 |
| Семейная | 30 |
| Фтородент | 30 |
| Фитодент | 30 |
| Фторомед | 30 |
| Мечта (детская) | 33 |
| Новый жемчуг | 36 |
| Эмдент | 37 |
| Ультравит | 38 |
| Дюшес | 40 |
| Парадонтол | 43 |
| Лесной бальзам | 43 |
| Фтор и фреш | 43 |
|
Зубная паста импортного производства |
|
| Clister | 31 |
| Aquafresh | 35 |
| Поморин | 36 |
| Mild Fresh plus | 43 |
| Dental Dream | 45 |
| Extra Dent F | 45 |
| Sweet kiss | 45 |
| Colgate | 46 |
| Platinum | 47 |
| Pepsodent | 55 |
Таблица 2
Содержание карбоната кальция в разных видах зубной пасты
|
Сорт зубной пасты |
Количество карбоната кальция CaCO3 |
|
1 |
2 |
|
Гигиенические зубные пасты |
|
| Семейная | 30 |
| Фитодент | 30 |
| Фтородент | 30 |
| Новый жемчуг | 36 |
| Эмдент | 37 |
|
1 |
2 |
|
Лечебно-профилактические зубные пасты |
|
| Clister | 31 |
| Aquafresh | 35 |
| Поморин | 36 |
| Ультравит | 38 |
| Лесной бальзам | 43 |
| Mild Fresh plus | 43 |
| Фтор и фреш | 43 |
| Dental Dream | 45 |
| Sweet kiss | 45 |
| Colgate | 46 |
| Зубные пасты смешанного вида | |
| Мечта-флора | 25 |
| Знахарь | 25 |
Выводы.
Согласно ГОСТ (7983-82) норма содержания карбоната кальция составляет 25 % 43 %. На основании полученных данных эксперимента можно сделать следующие выводы. Содержание карбоната кальция в исследуемых зубных пастах Российского производства соответствует норме содержания карбоната кальция. В зубных пастах импортного производства содержание карбоната кальция больше, чем в зубных пастах российского производства. Лечебно-профилактические зубные пасты содержат карбоната кальция больше, чем гигиенические зубные пасты и зубные пасты смешанного вида.
Рекомендации.
Эффективное очищающее действие оказывают зубные пасты, содержащие более 35 % карбоната кальция. К таким относятся пасты импортного производства Colgat, Platinum, Extra Dent F, Pepsodent. Из паст российского производства можно рекомендовать зубные пасты: Лесной бальзам, Фтор и Фреш, Парадантол, Ультравит.
Для людей с чувствительной эмалью зубов или с оголенными шейками зубов рекомендуется чистить зубы зубной пастой содержащей 25 % 30 % карбоната кальция. Из паст российского производства можно рекомендовать пасты Семейная, Мечта, Фтородент, Знахарь, Фитодент.
Освоение исследовательской деятельности это работа постепенная, нелегкая, требующая настойчивости, накопления знаний, зато отрадная, в том смысле, что она может стать дорогой к творческому труду. Практика показывает, что старшеклассники, которые имели опыт работы исследователя, стараются продолжить свою научно-исследовательскую деятельность как в школе, так и при дальнейшем обучении в вузе. Сформированные экспериментальные (в том числе исследовательские) умения (а значит, и сформированные компетенции) позволяют школьникам проводить собственные исследования и в других областях знаний.
Литература:
- Батаева Е.В. Формирование исследовательских умений \\ Химия: методика преподавания в школе. – 2003. – №8. – С. 13-20; 2004. – №1. – С. 22-27.
- Береснева Е.В. Современные технологии обучения химии: Учебное пособие. – М., 2004. – С. 35-45.
- Иванова Р.Г., Иодко А.Г. Система самостоятельных работ учащихся при изучении неорганической химии. – М., 1998.