Урок алгебры по теме "Нестандартные методы решения уравнений и неравенств"
Цель - обучение учащихся решению нестандартных уравнений и неравенств за счет глубокого понимания теоретических основ, применяемых в математике.
Задачи, решаемые в процессе обучения:
- развить нестандартное мышление учащихся;
- сформировать умение строить математические модели;
- отработать навыки прохождения тестирования при подготовке к ЕГЭ (решение задач повышенной сложности);
- повысить интерес к математике;
- привить уверенность учащимся при решении задач
1. Организационный момент. Постановка цели и задач урока. Создание условий для успешной совместной деятельности (Работа на уроке оценивается бальной системой, ведётся электронный журнал).
2. Проверка домашнего задания (электронный журнал к уроку). Учащиеся проверяют домашнее задание (сравнивают свои решения с готовыми решениями работа в парах.) в документе Microsoft Office Word на экране (заранее подготовленные учителем решения).
Домашняя работа
Решите уравнения:
1. ![]()
Решение. ![]()
Ответ 1;3
2.![]()
Решение. Перепишем данное уравнение в виде: ![]()
![]()
Ответ. 16
3. ![]()
Решение. 
Корень уравнения
не удовлетворяет условию
.
Ответ. 3
3.Устный опрос учащихся. Взаимопроверка и выставление баллов в карточку учёта результатов, в ходе урока результаты заносятся в электронный журнал
1. Как решаются уравнения вида
?
2. Как решаются уравнения вида
?
3. Как решаются логарифмические уравнения с разными основаниями?
4. Как решаются уравнения, в которых фигурирует функция вида
?
4.Проблемное задание (работа в группах), задание лежит на каждой парте на красных листочках. Учащиеся записывают в тетради дату и тему урока и приступают к решению задачи.
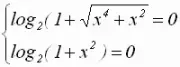
1. Решите уравнение ![]()
Решение

уже на этом этапе понятно, что решение будет очень громоздко. Возникла проблема - решать это уравнение дальше или искать другой способ решения?
- т.к. логарифмируемые выражения для всех х больше 1, то каждый логарифм - положительное или равное 0 число.
- чтобы сумма была равна 0, необходимо складывать нули или числа противоположные, поэтому каждый логарифм может принимать только значение равное нулю, т.е.:


Итак, делаем вывод, что уравнения можно решить с помощью использования свойств функции.
Для самостоятельного решения: Решите уравнение:
.
Решение.

левая часть уравнения - функция монотонно убывающая, а правая - постоянная, следовательно, уравнение имеет единственный корень х=1 (легко подбирается).
5. Изучение новой темы. Для решения большинства уравнений и неравенств, встречающихся на экзаменах, в частности на ЕГЭ, достаточно владеть школьным курсом математики, но при этом необходимо уметь их решать не только с помощью стандартных приемов, но и с помощью "нестандартных приемов и методов". Вот мы с вами на следующих пяти уроках и будем отрабатывать такие методы и приемы.
Вы уже при решении некоторых уравнений умеете применять метод подстановки. Сегодня мы уже узнали, что при решении уравнений можно применять свойства функций.
Теперь мне хочется показать применение свойства ограниченности.
1. Теорема 1. Если
и
, то уравнение
Решите уравнение ![]()
Перепишем уравнение в виде: ![]()
Так как
и
, следовательно, данное уравнение
равносильно системе:
Ответ. -1.
2.Метод оценки
Нередко признаком того, что следует применять метод оценок , является наличие в уравнении функций разной природы.
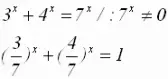
Решите уравнение ![]()
Решение.

Равенство достигается, если 
(1): ![]()
![]()
Подставив найденные значения x в уравнение (2), получим:

-решение системы.
Ответ ![]()
3. Использование метода монотонности для решения нестандартных уравнений и неравенств
Если y=f(x) - монотонная функция, то уравнение f(x) = c имеет не более одного корня
Пусть функция y=f(x) возрастает на промежутке М, а функция y=g(x) убывает на этом промежутке. Тогда уравнение f(x)=g(x) имеет на промежутке М не более одного корня.
Пусть область определения функции f(t) есть промежуток М, и пусть эта функция непрерывна и строго монотонна (т.е. возрастает или убывает) на этом промежутке. Тогда уравнение
равносильно системе:

При решении уравнений вида
полезна следующая теорема: Если ![]()
Монотонно возрастающая (убывающая) функция, уравнения
и
эквивалентны.
Решите уравнение:
![]()
Решение.
- возрастающая функция (как сумма двух возрастающих функций).
В правой части уравнения - постоянное число. В силу теоремы о корне, уравнение имеет не более одного решения. Очевидно, что
=2 - корень.
Ответ:
=2.
4. Использование области определения функций при решении уравнений и неравенств
Рассматривается метод, когда при рассмотрении уравнения или неравенства выясняется, что обе его части определены на некотором множестве, состоящем из одного или нескольких чисел.
Этот метод наиболее результативен при решении уравнений и неравенств, в состав которых входят функции y =
; y
=
; y=
; y =
.
При решении уравнения или неравенства перенести все члены в левую часть и рассмотреть функцию f (x). Найти её область определения Д (f). При этом:
1). Если Д (f) =
, то уравнение или неравенство решений не имеют.
2). Если Д (f) = {а1; а2; а3…..аn}, то действительные решения данного уравнения и неравенства находятся среди чисел а1; а2; а3…..аn. Теперь необходимо проверить, какие из данных чисел являются решениями уравнения или неравенства.
3). Если Д (f) = [а; в], то нужно проверить верно ли уравнение или неравенство на концах промежутка и в каждом промежутке, причём, если a < 0, а в > 0, то необходима проверка на промежутках (а; 0) и [0; в).
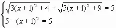
Пример. Решите уравнение:
.
Решение.
Выпишем условия, при которых выражения, входящие в левую часть данного уравнения, имеют смысл:

Система решений не имеет. Поэтому и исходное уравнение не имеет решений.
Ответ: решений нет.
Все пункты нового материала параллельно отражаются в виде презентации, а для каждого ученика распечатаны опорные конспекты с примерами решений соответствующих уравнений и неравенств.
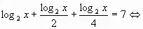
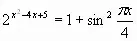
6.Закрепление темы.
Для самостоятельного решения с показом решений на доске.
Решите уравнения:
1.![]()
2.
.
3. ![]()
4. ![]()
5. ![]()
6. ![]()
7. ![]()
8. .![]()
9. ![]()
10. (![]()
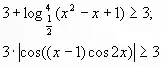
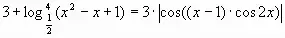
7. Самостоятельная работа.
Вариант 1
1.Решите уравнение:![]()
2. Решите уравнение ![]()
3.Решите уравнение ![]()
4.Решите неравенство:
при любом ![]()
Вариант 2
1.Решите уравнение:![]()
2. Решите уравнение ![]()
3.Решите уравнение ![]()
4.Решите неравенство:![]()
при любом ![]()
8. Рефлексия: В заключение урока организовать самооценку собственной деятельности.
9.Подведение итогов урока: подвести итоги работы о значимости новых нестандартных способов решения уравнений для дальнейшего обучения.
Представление результатов по этапам урока в электронной форме
Выставление оценок, распечатка результатов.
10. Домашняя работа. Раздать тесты по вариантам по теме применение свойств числовых неравенств. Приложение 1.
Литература
- Олехник С. Н. Нестандартные методы решения уравнений и неравенств: Справочник / С. Н. Олехник, М. К. Потапов, П. И. Пасиченко. - М.: Изд-во МГУ, 1991. - С. 143
- Дорофеев Г.М. Применение производных при решении задач в школьном курсе математики // Математика в школе. - 1980. - №5 - с. 12-21, №6 - с. 24-30.
- Петров В. В. Нестандартные задачи / В. В. Петров, Е. В. Елисеева // Математика в школе. - №8. - 2001. - С. 56-59.
- С. М. Никольский, М. К. Потапов и др. ''Алгебра и начала анализа'', учебник для 11 кл. общеобразовательных учреждений, М., ''Просвещение'', 2011г.
- Е. В. Галкин "Нестандартные задачи по математике", учебное пособие для учащихся 7-11 кл. Алгебра, Челябинск, "Взгляд", 2004г.
- Интернет-ресурсы.