Мониторинг качества образования
В педагогику понятие "мониторинг" пришло из экологии социологии. В экологии мониторинг - это непрерывное слежение за состоянием окружающей среды с целью предупреждения нежелательных отклонений по важным параметрам.
"Педагогический мониторинг - это форма организации сбора, хранения, обработки и распространения информации о деятельности педагогической системы, обеспечивающая непрерывное слежение за её состоянием и прогнозирование её развития".
Одним из важнейших условий повышения эффективности управления учебным процессом является систематический анализ объективных данных о состоянии результатов обучения учащихся. Без осуществления постоянной обратной связи процесс управления неэффективен, уровень эффективности принимаемых решений недостаточно высок. Такая обратная связь функционирует сегодня в практике недостаточно эффективно. Необходимым инструментом в решении этих проблем является мониторинг. Постоянный мониторинг за качеством учебного процесса, результатов обучения школьников становится особенно актуальным в условиях модернизации школы, обновления содержания образования, введения образовательных стандартов, нормализации учебной нагрузки обучающихся.
В настоящее время мониторинг все прочнее входит в систему образования. Сегодня как никогда возрос спрос на объективную информацию о результатах деятельности.
Исследованию проблем внедрения в практику новейших научно-педагогических технологий и достижений в области управлении посвящены труды отечественных педагогов С.А.Иванова, М.М. Поташника, В.И. Зверевой, В.П. Симонова и многих других ученых.
Всегда остается объективным вопрос: насколько объективно выставляются отметки? Для проведения такой работы желательно использовать в работе не только такой показатель как степень обученности по предмету, но и дисперсия стабильности успеваемости и коэффициент вариации. Всё это позволяет получить объективную картину соответствия выставленных оценок к их качественному показателю.
Возникают ситуации, когда нарушается соответствие выставленных оценок, и тогда делаются прогнозы-рекомендации, появляется необходимость совершенствования качества обучения не только по отдельным предметам, но и во всей школе.
В основу расчета СОУ желательно применять десятибалльную шкалу по Симонову В.П.
Симонов В.П. выделяет следующие уровни обученности:
I - различение;
II - запоминание;
III - понимание;
IV - элементарные умения и навыки;
V - перенос.
Всегда ли достаточно одних, даже очень хороших, индикаторов для качественного анализа? Что, если, например, средний балл успеваемости по классам приблизительно один и тот же, а соотношение пятерок, четверок и т.д. в этих классах различается, и весьма серьезно? Или как интерпретировать ситуацию, когда у одного преподавателя класс получает сплошь одинаковые оценки, допустим, "четверки", а у другого по другому предмету - очень широкий диапазон успеваемости: от "пятерок" до "двоек"? Означает ли это, что осваивать один предмет дети могут примерно с одинаковым успехом, а другой предмет дается не всем? Или причина контраста успеваемости класса по разным предметам кроется в ином?
Помочь провести более тонкий анализ этих индикаторов может аппарат математической статистики, используя методику Иванова С.А.
Если сравнить классы только по среднему баллу, то можно сделать вывод, что ситуация во всех трех из них абсолютно одинаковая - везде учатся преимущественно "хорошисты". Но если посмотреть на разброс оценок, то неизбежно возникнет вопрос, почему оценки оказались такими разными. Что стоит за таким разбросом оценок и как оценить сам этот разброс?
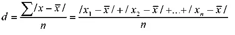
Разобраться в этом вопросе поможет математическая статистика. Для обобщенной характеристики некоторой совокупности признаков можно использовать средние значения этих признаков для данной совокупности. Что такое "средний балл". Это рассчитанная средняя арифметическая величина из совокупности оценок, полученных классом. Простая средняя арифметическая рассчитывается как сумма отдельных значений признака, деленная на число этих значений. Рассчитывается средняя арифметическая по известной формуле:

где x1, x2, x3,…,xn отдельные значения признака (оценки учащихся в баллах), а n - число единиц совокупности (количество учеников в классе).
Для анализа разброса оценок (вариации значений признаков) используют дополнительные статистические приемы обработки. В частности, рассчитывают среднее линейное отклонение, дисперсию, среднее квадратическое отклонение, коэффициент вариации и пр.
Для того чтобы дать обобщающую характеристику распределению отклонений, исчисляют среднее линейное отклонение (d), которое учитывает различие всех единиц изучаемой совокупности. Среднее линейное отклонение определяется как средняя арифметическая из отклонений индивидуальных значений от средней, без учета знака этих отклонений:

Среднее квадратическое отклонение-это обобщающая характеристика абсолютных размеров вариации признака в совокупности. Выражается оно в тех же единицах измерения, что и признак, в нашем случае в баллах.
Дисперсия - это средняя арифметическая квадратов отклонений каждого значения признака от общей средней. Дисперсия обычно называется сред ним квадратом отклонений и обозначается S2. Среднее квадратичное отклонение представляет собой квадратный корень из дисперсии:

Среднее квадратическое отклонение дает обобщающую характеристику колеблемости всех вариантов совокупности. Чем меньше среднее квадратическое отклонение в нашем примере, тем более ровно по успеваемости учится класс. Иными словами, низкая величина среднего квадратического отклонения говорит о том, что в классе все успевают примерно в равной степени, нет резкой поляризации на "двоечников" и "отличников".
С другой стороны, если величина среднего квадратического отклонения близка к нулю, это тоже определенный сигнал, но это сигнал о другом. Отсутствие каких-либо различий в уровне успеваемости различных учащихся может свидетельствовать либо о необъективности оценок, выставляемых этим учителем, либо о действии каких-либо иных факторов.
Высокое значение среднего квадратического отклонения также подлежит тщательному анализу. Непосредственно такая ситуация является сигналом того, что класс разделился на успевающих и неуспевающих. При даже относительно высоком среднем балле большая величина среднего квадратического отклонения говорит о том, что в классе много запущенных детей. Резкие различия в успеваемости могут быть следствием либо необъективности, либо педагогической некомпетентной преподавателя.
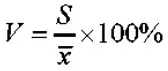
Для определения критичности ситуации используется такой статистический оператор, как коэффициент вариации:

Коэффициент вариации является наиболее распространенным индикатором колеблемости, используемым для оценки типичности средних величин. При этом исходят из того, что если V больше 40 %, то это говорит о чрезмерно большой колеблемости признака в изучаемой совокупности.
Анализируя с помощью статистических операторов ситуацию, мы видим, что при одинаковом среднем балле успеваемости, они весьма сильно различаются по разбросу величин статистических операторов, что обуславливается различиями в оценках конкретных учащихся.
Как видим, использовать данные статистики можно как для мониторинга качества образования внутри самой школы, так и для межшкольных сравнений. И в том и другом случае администрация школы получает дополнительные инструменты анализа деятельности отдельных классов, учителей. Но при этом очень важно, чтобы, во-первых, все индикаторы, методика их расчета были понятны всем участникам мониторинга, а во-вторых, чтобы исходные данные и результаты расчетов были доступны, легко проверяемы также любым участником мониторинга. И самое главное, индикаторы должны быть "привязаны" к целям анализа, предмету оценки.
Для учителя и администрации является трудоемким осуществить мониторинг учебной деятельности каждого ученика класса, но это необходимое условие при планировании индивидуальной работы с учащимися.
Для этих целей разработана программа объективности педагогической оценки и педагогической деятельности учителя за четверть или полугодие. Приложение 2, Приложение 3, Приложение 4. Примечание: Все приложения и папка basa (имя папки basa и входящих в неё папок и файлов не менять!) связаны между собой и должна находиться только в папке Приложение 1. Перемещать их в другие папки нельзя, т.к. при этом нарушиться работоспособность всей программы!
Программа разработана с учетом особенностей образовательного учреждения. Она может быть использована и легко адаптирована во всех общеобразовательных учреждениях, которые ведут обучение по 4 четвертям или по двум полугодиям.
Данная программа адресована для классных руководителей и администрации образовательных учреждений для автоматизации обработки результатов по итогам четверти, полугодия или года. Классный руководитель, после завершения отчетного периода вводит данные (список учащихся на данный учебный год (Приложение 2),текущие оценки по учебным предметам за четверть или полугодие (Приложение 3)). Автоматически формируются такие показатели: качество, успеваемость по классу и по каждому ученику; средний оценочный бал ученика; рейтинг ученика; средний балл по предмету, качество знаний по предмету, успеваемость по предмету, дисперсия стабильности успеваемости и коэффициент вариации (Приложение 4). Примечание: Приступая к работе, сначала запустите Приложение 2, после внесения всех данных выйдите из него.
Затем запустите Приложение 3,после внесения всех данных выйдите из него.
Запустив после Приложение 4, выберите учебный год, учителя, предмет и т.д. При выборе класса активируйте программу, кликнув по номеру класс, при этом изменится цвет окна класс, затем кликните по кнопке ВВОД- данные по классу, или данные по учителю.
Полученные материалы могут быть использованы классным руководителем при проведении классных родительских собраний и администрацией образовательного учреждения при прохождении аттестации учителя.
Необходимость и практическая значимость системного анализа качества образовательного процесса сейчас ни у кого уже не вызывает сомнения. Контроль в сфере обучения - дело важное, а системное его осуществление - одна из актуальных задач, без решения которой невозможно получить информацию о качестве различных инновационных технологий, сравнительной эффективности вариативного обучения, а также об индивидуальном развитии обучаемых.
Оценки учащихся за четверти и полугодия по предмету и пропущенные занятия записываются в отдельный файл. Программа обрабатывает внесенные данные по каждому ученику и по классу в целом. Выводятся традиционные данные: средний бал, процент успеваемости, процент качества знаний, процент пропусков и степень обученности.
Вместе с этим выводится рейтинг "Активность" учащихся в процентах. Он зависит от пропусков занятий, от активности ученика на уроках и от самого предмета, т.е. от его коэффициента.
Показатель "Рейтинг" отражает в большей степени работу учителя на уроке с данным учеником и с классом в целом. По этим показателям можно судить о том, применяет ли данный учитель современные педагогические и компьютерные технологии на занятиях, какова степень организации индивидуальной работы с учащимся. Этот показатель зависит количества часов по предмету, категории предмета, степени работы ученика на уроке.
РУД - рейтинг учебных достижений учащихся (средний балл по классу).
СОУ - степень обученности учащихся, выраженная в % зависит от уровня подготовки (обучения) учащихся (гуманитарный - уровень A, базовый - уровень B, профильный - уровень C) и трех уровней достижений учащихся (репродуктивный, конструктивный, творческий).
Результаты мониторинга по СОУ отражают процентные показатели обученности учащихся, полученные на основе методики В. П. Симонова: в переводе на десятибалльную систему оценивания. Рекомендуемая оценка рассчитывается по методике В. П. Симонова.
Разработанная педагогами методика расчета реальной степени обученности учащихся, которая по своей сути является статистическим методом, основана на эмпирическом подходе. Можно привести еще множество работ, рассматривающих проблему контроля и оценки знаний, умений и навыков учащихся, но их анализ показывает, что большая часть из них касается вопроса объективности оценки. Это можно объяснить тем, что объективность - основное требование к оценке знаний, умений и навыков учащихся, с одной стороны. С другой, оценка служит результативным средством стимулирования учения, формирования положительной мотивации, влияния на развитие личностных качеств ученика. Поэтому значимость оценки, разнообразие ее функций требуют таких показателей, которые отражали бы все стороны учебной деятельности школьников и обеспечивали их выявление. С этой точки зрения данная программа повышает ее диагностическую значимость и объективность.
Полученные результаты мониторинга позволяют проанализировать работу учителя. Сопоставление результатов мониторинга учебной деятельности с выявленными уровнем памяти, внимания, мышления, общих способностей, обучаемости учащихся, дает возможность корректировать деятельность учителя по осуществлению учебного процесса. Разрабатывать программу индивидуальной работы с классом, с отдельными учащимися.
Систематический анализ результатов мониторинга на каждом его этапе позволяет определить "болевые" точки, пробелы в процессе учебной деятельности, пути преодоления трудностей в обучении для каждого ученика.
Для работы требуется персональный компьютер с операционной системой Windows 95 (и выше).
Под входными данными понимают: список учеников (вводится один раз в начале учебного года), оценки учащихся (вводятся после каждой учебной четверти). После каждой учебной четверти классному руководителю необходимо проставить текущие оценки и сохранить отчет. Все остальные выходные данные в программе обрабатываются автоматически. Также генерируются такие показатели: средний балл учащегося, статус учащегося, качество знаний по классу, успеваемость по классу, качество знаний по каждому учащемуся, успеваемость по каждому учащемуся, коэффициент вариации, персональная информация по каждому учителю предметнику (качество, успеваемость, средний балл, СОУ, коэффициент вариации). С отстающими учащимися проводится работа по ликвидации пробелов в знаниях.
Гласность результатов работы стимулирует учителя к добросовестному отношению к своей работе, качественному проведению уроков, системы индивидуальной работы, направленной на конечный результат.
Использование информационных технологий значительно облегчает и ускоряет проведение подобных расчетов. Показатели степени обученности учащихся, коэффициент вариации и дисперсия стабильности успеваемости могут служить оценкой фактической эффективности деятельности преподавателя. При этом учитель заботится о прочности, глубине и осознанности знаний, которые получают ученики. Именно эти показатели и определяют высокое качество образования. Применение данной методики позволяет получать более достоверную рейтинговую оценку и проводить качественный мониторинг образовательного процесса.
Основные публикации автора по данной проблеме:
- Иванов С.А., Писарева С.А., Пискунова Е.В., Крутова О.Э. Мониторинг и статистика в образовании: Учебно-методический комлект материалов для подготовки тьюторов. - М.: АПК и ППРО, 2007. - 128 с.
- Симонов В.П. Пути преодоления формализма в оценке знаний учащихся. //Среднее специальное образование, 1983, №2.
- Симонов В.П. Образовательный стандарт: чт.
- Симонов В.П., Черненко Е.Г. Образовательный минимум: измерение, достоверность, надежность. //Педагогика, 1994, № 4.
- Симонов В.П. Диагностика личности и профессионального мастерства преподавателя. Учебное пособие. МПА, М., 1995. - С. 164-174.
- Симонов В.П. Педагогический менеджмент: 50 НОУ-ХАУ в управлении образовательным процессом. Учебное пособие. М., Российское педагогическое агентство, 1995. С. 186-206.
- Симонов В.П. Диагностика степени обученности учащихся. Учебно-справочное пособие. М., МПА, 1999.