Четыре способа решения задач на нахождение расстояния между скрещивающимися прямыми
Среди огромного количества стереометрических задач в учебниках геометрии, в различных сборниках задач, пособиях по подготовке в ВУЗы крайне редко встречаются задачи на нахождение расстояния между скрещивающимися прямыми. Возможно, это обусловлено как узостью их практического применения (относительно школьной программы, в отличие от "выигрышных" задач на вычисление площадей и объемов), так и сложностью данной темы.
Практика проведения ЕГЭ показывает, что многие учащиеся вообще не приступают к выполнению заданий по геометрии, входящих в экзаменационную работу. Для обеспечения успешного выполнения геометрических заданий повышенного уровня сложности необходимо развивать гибкость мышления, способность анализировать предполагаемую конфигурацию и вычленять в ней части, рассмотрение которых позволяет найти путь решения задачи.
Школьный курс предполагает изучение четырех способов решения задач на нахождение расстояния между скрещивающимися прямыми. Выбор способа обусловлен, в первую очередь, особенностями конкретной задачи, предоставленными ею возможностями для выбора, и, во вторую очередь, способностями и особенностями "пространственного мышления" конкретного учащегося. Каждый из этих способов позволяет решить самую главную часть задачи - построение отрезка, перпендикулярного обеим скрещивающимся прямым (для вычислительной же части задач деление на способы не требуется).
Основные способы решения задач на нахождение расстояния между скрещивающимися прямыми
Нахождение длины общего перпендикуляра двух скрещивающихся прямых, т.е. отрезка с концами на этих прямых и перпендикулярного каждой из этих прямых.
Нахождение расстояния от одной из скрещивающихся прямых до параллельной ей плоскости, проходящей через другую прямую.
Нахождение расстояния между двумя параллельными плоскостями, проходящими через заданные скрещивающиеся прямые.
Нахождение расстояния от точки, являющейся проекцией одной из скрещивающихся прямых, на перпендикулярную ей плоскость (так называемый "экран") до проекции другой прямой на ту же самую плоскость.
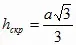
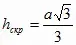
Проведем демонстрацию всех четырех способов на следующей простейшей задаче: "В кубе с ребром а найти расстояние между любым ребром и диагональю не пересекающей его
грани". Ответ:
.
1 способ.

Рисунок 1
hскр перпендикулярна плоскости боковой грани, содержащей диагональ d и перпендикулярна ребру, следовательно, hскр и является расстоянием между ребром а и диагональю d.
2 способ.

Рисунок 2
Плоскость A параллельна ребру и проходит через данную диагональ, следовательно, данная hскр является не только расстоянием от ребра до плоскости A, но и расстоянием от ребра до данной диагонали.
3 способ.

Рисунок 3
Плоскости A и B параллельны и проходят через две данные скрещивающиеся прямые, следовательно, расстояние между этими плоскостями равно расстоянию между двумя скрещивающимися прямыми.
4 способ.

Рисунок 4
Плоскость A перпендикулярна ребру куба. При проекции на A диагонали d данная диагональ обращается в одну из сторон основания куба. Данная hскр является расстоянием между прямой, содержащей ребро, и проекцией диагонали на плоскость C, а значит и между прямой, содержащей ребро, и диагональю.
Остановимся подробнее на применении каждого способа для изучаемых в школе многогранников.
СПОСОБ I.
Применение первого способа достаточно ограничено: он хорошо применяется лишь в некоторых задачах, так как достаточно сложно определить и обосновать в простейших задачах точное, а в сложных - ориентировочное местоположение общего перпендикуляра двух скрещивающихся прямых. Кроме того, при нахождении длины этого перпендикуляра в сложных задачах можно столкнуться с непреодолимыми трудностями.
Примеры
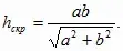
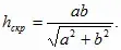
Задача 1. В прямоугольном параллелепипеде с размерами a, b, h найти расстояние между боковым ребром и не пересекающейся с ним диагональю основания.

Рисунок 5
Пусть AH
BD. Так как А1А перпендикулярна плоскости АВСD , то А1А
AH.
AH перпендикулярна обеим из двух скрещивающихся прямых, следовательно AH?- расстояние между прямыми А1А и BD. В прямоугольном треугольнике ABD, зная длины катетов AB и AD, находим
высоту AH, используя формулы для вычисления площади прямоугольного треугольника. Ответ: ![]()
Задача 2. В правильной 4-угольной пирамиде с боковым ребром L и стороной основания a найти расстояние между апофемой и стороной основания, пересекающей боковую грань, содержащую эту апофему.

Рисунок 6
SH
CD как апофема, AD
CD, так как ABCD - квадрат. Следовательно, DH
- расстояние между прямыми SH и AD. DH равно половине стороны CD. Ответ:![]()
СПОСОБ II
Применение этого способа также ограничено в связи с тем, что если можно быстро построить (или найти уже готовую) проходящую через одну из скрещивающихся прямых плоскость, параллельную другой прямой, то затем построение перпендикуляра из любой точки второй прямой к этой плоскости (внутри многогранника) вызывает трудности. Однако в несложных задачах, где построение (или отыскивание) указанного перпендикуляра трудностей не вызывает, данный способ является самым быстрым и легким, и поэтому доступен.
Примеры
Задача 2. Решение уже указанной выше задачи данным способом особых трудностей не вызывает.

Рисунок 7
Плоскость EFM параллельна прямой AD, т. к AD || EF. Прямая MF лежит в этой плоскости, следовательно, расстояние между прямой AD и плоскостью EFM равно расстоянию между прямой AD и прямой MF.
Проведем OH
AD. OH
EF, OH
MO, следовательно, OH
(EFM), следовательно, OH - расстояние между прямой AD и плоскостью EFM, а значит, и расстояние между прямой AD и прямой MF. Находим OH из треугольника AOD.
Ответ:![]()
Задача 3. В прямоугольном параллелепипеде с размерами a,b и h найти расстояние между боковым ребром и не пересекающейся с ним диагональю параллелепипеда.

Рисунок 8
Прямая AA1 параллельна плоскости BB1D1D, B1D принадлежит этой плоскости, следовательно расстояние от AA1 до плоскости
BB1D1D равно расстоянию между прямыми AA1 и B1D. Проведем AH
BD. Также, AH
B1B, следовательно AH
(BB1D1D), следовательно
AH
B1D, т. е. AH - искомое расстояние. Находим AH из прямоугольного треугольника ABD.
Ответ: ![]()
Задача 4. В правильной шестиугольной призме A:F1 c высотой h и стороной основания a найти расстояние между прямыми:

Рисунок 9 Рисунок 10
а) AA1 и ED1.
Рассмотрим плоскость E1EDD1. A1E1
EE1, A1E1
E1D1, следовательно
A1E1
(E1EDD1). Также A1E1
AA1. Следовательно, A1E1 является расстоянием от прямой AA1 до плоскости E1EDD1.
ED1
(E1EDD1)., следовательно AE1 - расстояние от прямой AA1 до прямой
ED1. Находим A1E1 из треугольника F1A1E1 по теореме косинусов. Ответ:![]()
б) AF и диагональю BE1.
Проведем из точки F прямую FH перпендикулярно BE. EE1
FH, FH
BE, следовательно FH
(BEE1B1), следовательно FH является расстоянием между прямой AF и (BEE1B1),
а значит и расстоянием между прямой AF и диагональю BE1. Ответ:![]()
СПОСОБ III
Применение этого способа крайне ограничено, так как плоскость, параллельную одной из прямых (способ II) строить легче, чем две параллельные плоскости, однако способ III можно использовать в призмах, если скрещивающиеся прямые принадлежат параллельным граням, а также в тех случаях, когда в многограннике несложно построить параллельные сечения, содержащие заданные прямые.
Примеры
Задача 4.

Рисунок 11
а) Плоскости BAA1B1 и DEE1D1 параллельны, так как AB || ED и AA1 || EE1. ED1
DEE1D1, AA1
(BAA1B1), следовательно, расстояние между
прямыми AA1 и ED1 равно расстоянию между плоскостями BAA1B1 и DEE1D1. A1E1
AA1, A1E1
A1B1, следовательно, A1E1
BAA1B1. Аналогично доказываем, что A1E1
(DEE1D1). Т.о., A1E1 является расстоянием между плоскостями BAA1B1 и DEE1D1, а значит, и между прямыми
AA1 и ED1. Находим A1E1 из треугольника A1F1E1, который является равнобедренным с углом
A1F1E1, равным
. Ответ:![]()

Рисунок 12
б) Расстояние между AF и диагональю BE1 находится аналогично.
Ответ:
.
Задача 5. В кубе с ребром а найти расстояние между двумя непересекающимися диагоналями двух смежных граней.
Данная задача рассматривается как классическая в некоторых пособиях, но, как правило, ее решение дается способом IV, однако является вполне доступной для решения с помощью способа III.

Рисунок 13
Некоторую трудность в данной задаче вызывает доказательство перпендикулярности диагонали A1C обеим параллельным плоскостям (AB1D1 || BC1D).
B1C
BC1 и BC1
A1B1, следовательно, прямая BC1 перпендикулярна плоскости A1B1C, и следовательно, BC1
A1C. Также, A1C
BD. Следовательно, прямая A1C перпендикулярна плоскости
BC1D. Вычислительная же часть задачи особых трудностей не вызывает, так как hскр = EF находится как разность между диагональю куба и высотами двух одинаковых правильных
пирамид A1AB1D1 и CC1BD.
Ответ:![]()
СПОСОБ IV.
Данный способ имеет достаточно широкое применение. Для задач средней и повышенной трудности его можно считать основным. Нет необходимости применять его только тогда, когда один из трех предыдущих способов работает проще и быстрее, так как в таких случаях способ IV может только усложнить решение задачи, или сделать его труднодоступным. Данный способ очень выгодно использовать в случае перпендикулярности скрещивающихся прямых, так как нет необходимости построения проекции одной из прямых на "экран"
Примеры.
Задача 5. Все та же "классическая" задача (с непересекающимися диагоналями двух смежных граней куба) перестает казаться сложной, как только находится "экран" - диагональное сечение куба.

Рисунок 14
Экран:

Рисунок 15
Рассмотрим плоскость A1B1CD. C1F
(A1B1CD), т. к. C1F
B1C и C1F
A1B1. Тогда проекцией
C1D на "экран" будет являться отрезок DF. Проведем EM
DF. Отрезок EM и будет являться расстоянием между двумя непересекающимися диагоналями
двух смежных граней. Находим EM из прямоугольного треугольника EDF. Ответ:
.
Задача 6. В правильной треугольной пирамиде найти расстояние и угол между скрещивающимися прямыми: боковым ребром l и стороной основания a.

Рисунок 16
В данной и аналогичных ей задачах способ IV быстрее других способов приводит к решению, так как построив сечение, играющее роль "экрана", перпендикулярно AC (треугольник BDM), видно, что далее нет
необходимости строить проекцию другой прямой (BM) на этот экран. DH - искомое расстояние. DH находим из треугольника MDB, используя формулы площади. Ответ:
.