Уравнение касательной к графику функции. 10-й класс
Скачать презентацию (1.05 МБ)
Тип урока: изучение нового материала.
Методы обучения: наглядный, частично поисковый.
Цель урока.
- Ввести понятие касательной к графику функции в точке, выяснить в чем состоит геометрический смысл производной, вывести уравнение касательной и научить находить его для конкретных функций.
- Развивать логическое мышление, математическую речь.
- Воспитывать волю и упорство для достижения конечных результатов.
Оборудование: интерактивная доска, компьютер.
План урока
I. Организационный момент
Проверка готовности учащихся к уроку. Сообщение темы урока и целей.
II. Актуализация знаний.
(Вспомнить с учащимися геометрическое определение касательной к графику функции. Привести примеры, показывающие, что данное утверждение не полно.)
Вспомним, что же такое касательная?
“Касательная – это прямая, имеющая с данной кривой одну общую точку”. (Слайд № 2)
Обсуждение правильности данного определения. (После обсуждения, учащиеся приходят к выводу, что данное определение неверно.) Для наглядного доказательства их умозаключения приводим следующий пример.
Рассмотрим пример. (Слайд № 3)
Пусть дана парабола
и две прямые
, имеющая с данной
параболой одну общую точку М (1;1). Проводится обсуждение, почему
первая прямая не является к данной параболе касательной (Рис. 1), а
вторая является (Рис.2).


На данном уроке, мы с вами должны выяснить, что же такое касательная к графику функции в точке, как составить уравнение касательной?
Рассмотреть основные задачи на составление уравнения касательной.
Для этого, вспомнить общий вид уравнения прямой, условия параллельности прямых, определение производной и правила дифференцирования. (Слайд № 4)
III. Подготовительная работа к изучению нового материала.
- Сформулировать определение производной. (Слайд № 5)
- Заполнить таблицу произвольных элементарных функций. (Слайд № 6)
- Вспомнить правила дифференцирования. (Слайд № 7)
- Какие из указанных прямых параллельны и почему? (Убедиться наглядно) (Слайд №8)
IV Изучение нового материала.
Чтобы задать уравнение прямой на плоскости нам достаточно знать угловой коэффициент и координаты одной точки.
Пусть дан график функции
. На нем выбрана точка
, в этой
точке к графику функции проведена касательная (мы предполагаем, что
она существует). Найти угловой коэффициент касательной.
Дадим аргументу приращение
и рассмотрим на графике (Рис. 3)
точку P с абциссой
. Угловой коэффициент секущей MP, т.е. тангенс
угла между секущей и осью x, вычисляется по формуле
.

Если мы теперь устремим
к нулю, то точка Р начнет
приближаться по кривой к точке М. Касательную мы охарактеризовали
как предельное положение секущей при этом приближении. Значит,
естественно считать, что угловой коэффициент касательной
будет
вычисляться по формуле
.
Следовательно,
.
Если к графику функции y = f (x) в точке х = а можно провести касательную, непараллельную оси у, то выражает угловой коэффициент касательной. (Слайд № 10)
Или по другому. Производная в точке х = а равна угловому
коэффициенту касательной к графику функции y = f(x) в этой
точке
.
Это и есть геометрический смысл производной. (Слайд № 11)
Причем, если :


.
Выясним общий вид уравнения касательной.
Пусть, прямая задана уравнением
. Мы знаем, что
. Для
вычисления m воспользуемся тем, что прямая проходит через точку
.
Подставим в уравнение. Получим
, т.е.
. Подставим найденные
значения k и m в уравнение прямой:
![]()
![]()
– уравнение касательной к графику функции.
(Слайд № 12)
Рассмотрим примеры:
Составим уравнение касательной:
- к параболе
в точке
(Слайд № 13) - к графику функции
в точке 
(Слайд № 14)
Решая эти примеры мы воспользовались очень простым алгоритмом, который заключается в следующем: (Слайд № 15)
- Обозначим абсциссу точки касания буквой a.
- Вычислим
. - Найдем
и
. - Подставим найденные числа
,
в формулу 
Рассмотрим типичные задания и их решение.
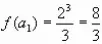
№1 Составить уравнение касательной к графику функции
в точке
.
(Слайд № 16)
Решение. Воспользуемся алгоритмом, учитывая, что в данном
примере
.
1) ![]()
2) ![]()
3)
; ![]()
4) Подставим найденные числа
,
,
в формулу.
Получим:
, т.е. ![]()
Ответ: ![]()
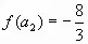
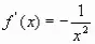
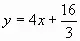
№2 К графику функции
провести касательную так, чтобы она
была параллельна прямой
. (Слайд № 17)
Решение. Уточним формулировку задачи. Требование
“провести касательную” обычно означает “составить уравнение
касательной”. Воспользуемся алгоритмом составления касательной,
учитывая, что в данном примере
.
Искомая касательная должна быть параллельна прямой
. Две
прямые параллельны, тогда и только тогда, когда равны их угловые
коэффициенты. Значит угловой коэффициент касательной должен быть
равен угловому коэффициенту заданной прямой:
.Но
.
Следовательно:
;
.
Из уравнения
,т.е.
, находим, что
и
. Значит,
имеются две касательные, удовлетворяющие условию задачи: одна в
точке с абсциссой 2, другая в точке с абсциссой -2.
Действуем по алгоритму.
1)
, ![]()
2)
, ![]()
3) ![]()
4) Подставив значения
,
,
, получим
, т.е.
.
Подставив значения
,
,
, получим
, т.е. ![]()
Ответ:
,
.
V. Решение задач.
1. Решение задач на готовых чертежах (Слайд № 18 и Слайд № 19)


2. Решение задач из учебника: № 29.3 (а,в), № 29.12 (б,г), № 29.18, № 29.23 (а) (Слайд № 20)
VI. Подведение итогов.
1. Ответьте на вопросы:
- Что называется касательной к графику функции в точке?
- В чем заключается геометрический смысл производной?
- Сформулируйте алгоритм нахождения уравнения касательной?
2. В чем были трудности на уроке, какие моменты урока наиболее понравились?
3. Выставление отметок.
VII. Комментарии к домашней работе
№ 29.3 (б,г), № 29.12 (а,в), № 29.19, № 29.23 (б) (Слайд №22)
Литература. (Слайд 23)
- Алгебра и начала математического анализа: Учеб. Для 10-11 кл. для учащихся общеобразовательных учреждений (базовый уровень) / Под редакцией А.Г. Мордковича. – М.: Мнемозина, 2009.
- Алгебра и начала математического анализа: Задачник, Для 10-11 кл. для учащихся общеобразовательных учреждений (базовый уровень) / Под редакцией А.Г. Мордковича. – М.: Мнемозина, 2009.
- Алгебра и начала анализа. Самостоятельные и контрольные работы для 10-11 классов. / Ершова А.П., Голобородько В.В. – М.: ИЛЕКСА, 2010.
- ЕГЭ 2010. Математика. Задача В8. Рабочая тетрадь / Под редакцией А.Л.Семенова и И.В.Ященко – M.: Издательство МЦНМО, 2010.