Построение правильных многоугольников. Решение задач
Цели урока: закрепить знание формул стороны и площади правильного многоугольника, совершенствовать навык построения правильных многоугольников, научить строить правильный десятиугольник и правильный пятиугольник.
Ход урока
1. Проверка домашнего задания: пункт 108, №№ 1081, 1093, 1094(а,б).
Учебник Геометрия 7 - 9, Л.С. Атанасян.2003г.
Задача № 1081.
Решение:
а)
=
180
=
60![]()
б)
=
180
= 3 ·
36![]()
в)
=
180
=
120![]()
г)
=
180
=
144![]()
д)
=
· 180
= 160![]()
Задача № 1093.

Дано:
АВС - правильный
Окр.(О;R) - описана около
АВС
Окр.(О;r) - вписанна в
АВС
Доказать: R = 2r
Доказательство:
1. АО - биссектриса
А
OАD = 30![]()
2.
AOD - прямоугольный, т.к. OD = r проведён в точку касания (теорема о касательной к окружности).
3. В прямоугольном
AOD катет r лежащий против угла в 30
равен половине
гипотенузы R, т.е. R = 2r - ч.т.д.
Задача № 1094(а,б) (данное задание на закрепление знания формул:
S = Рr, an= 2R
, r = R
)
а) Решение:
a4= 2R
= 2 * 3
*
= 2 * 3
*
= 6 см,
Р = 24 см,
r = 3
*
= 3
*
= 3 см,
S = Рr = · 24 · 3 = 36 см2
Ответ: 36 см2.
б) Решение: a3=
= 8 см
Выразим r через an: r = (an * ctg
)/2
r = 4* ctg
=
см
S = (1/2)Рr = 16
см2 Ответ: 16
см2.
2. Актуализация знаний учащихся (устный опрос):
1. Какой многоугольник называется правильным?
2. Какая окружность называется вписанной в многоугольник?
3. По какой формуле можно найти сторону правильного n-угольника? (записать на доске)
4. Какая точка называется центром правильного многоугольника?
5. Можно ли найти площадь правильного шестиугольника, зная только радиус вписанной в него окружности? Как это сделать? (показать на доске)
3. Изучение нового материала.
Строить правильные треугольники и четырёхугольники с помощью циркуля и линейки мы уже умеем. Рассмотрим способ построения правильного шестиугольника.
Задача № 1 из п.109 (работа с учебником).
Построить правильный шестиугольник, сторона которого равна данному отрезку.
Построение:
1. Строим окружность радиусом R равным данному отрезку.
2. На окружности произвольно выбираем точку A1.
3. Не меняя раствора циркуля, на окружности откладываем точку A2, так чтобы A1A2= R.
4. Аналогично от точки A2откладываем точку A3 и т. д. до точки A6.
5. Соединяя последовательно построенные точки отрезками, получаем искомый правильный шестиугольник .
Доказательство: (можно провести устно)
1. Стороны 6 - угольника равны (по построению). (*)
2.
ОA1A2 =
ОA2A3 =
ОA3A4 = : =
ОA6A1 - по третьему признаку равенства
-ов.
Все они равносторонние.
A1A2A3 = : =
A6A1A2 = 120° (**)
3. Из (*) и (**)
A1A2A3A4A5A6 -
правильный 6 - угольник - ч.т.д.
11Задача № 1279. На рисунке 370 изображён правильный десятиугольник, вписанный в окружность радиуса R, АС - биссектриса угла ОАВ. Докажите, что:

а)
AВС ~
ОАВ
б) АВ = АС = ОС =
R
(т.к. данная задача является задачей повышенной трудности, то перед решением её у доски необходимо дать учащимся две - три минуты на обдумывание, если не будет идей, то задавать наводящие вопросы.)
Доказательство:
а)
1. Рассмотрим равнобедренный
ОАВ:
АО и ВО - биссектрисы углов правильного десятиугольника (
= 144
)
Следовательно:
=
= 72
, а значит
= 36
.
2.
= 72
, а т.к. АС - биссектриса этого угла, то
= 36
, т.е.
=
(*)
3.
- общий для
AВС и
ОАВ. (**)
4. Из (*) и (**) следует (по первому признаку подобия треугольников),
что
AВС ~
ОАВ - ч.т.д.
б) 1. В
AВС:
= 36
,
= 72
= 72
, значит АВ = АС.
2. В
ОАС:
=
= 36
АС = ОС
3. Обозначим АВ через х, ОС также равно х. АО = R , BC = R - x .
Из подобия
AВС и
ОАВ следует:
x2 + Rх - R2 = 0
(получили квадратное уравнение относительно х)
D = 5R2
x1 =
- решений нет, т.к. длина отрезка не может быть отрицательной
x2 =
=
R - ч.т.д.
Исследование: зададимся вопросом - чему равен
и
.
1. В
ОАВ проведём медиану ОК (она же высота и биссектриса).
АК = x/2= R·![]()
R = R·![]()
Итак:
= ![]()

2.
= 2*
= 2*
*
=
·
=
=
= ![]()
= ![]()
11Задача № 1280. Докажите, что отрезок АК, изображённый на рисунке, равен стороне правильного десятиугольника, вписанного в окружность с центром О.
Дано: Окр(О;R);
А и В
Окр(О;R);
АО
ОВ;
С - середина ОВ;
Окр(С; r = СВ)
АС = К
Доказать: АК =
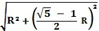
R (по предыдущей задачи)

Доказательство:
1. АО = R, OC =
, AC =
=
;
2. КС =
, АК = АС - КС =
-
=
R - ч.т.д.
Вывод: данный способ можно использовать для построения правильного десятиугольника.+
4. Закрепление изученного материала.
Задача № 1283: В данную окружность впишите правильный пятиугольник.
Мы рассмотрим иной способ построения, не тот который предлагают в ответе.
Построение:
1. Строим окружность произвольного радиуса R и проводим два взаимно перпендикулярных диаметра АВ и СD.
2. Делим пополам радиус АО точкой Е.
3. Из Е радиусом ЕС проводим дугу CF, пересекая ею диаметр АВ в точке F.
4. Из С радиусом CF проводим дугу FG, пересекая ею данную окружность в точке G; CG(равная CF) есть одна сторона искомой фигуры.
5. Проводим тем же радиусом дугу из точки G как из центра, получаем ещё одну вершину Н искомой фигуры и т. д.
6. CGHKL - правильный пятиугольник.

Доказательство:
1. Сторона правильного пятиугольника вписанного в Окр.(О;R) равна
.
Докажем это.

11 ОМ - биссектриса, медиана и высота равнобедренного
ОСG.
СМ = R
a5= 2СМ = 2 R ![]()
Учитывая, что
=
,
окончательно получаем: a5=
.
2. У нас по построению
1) ЕО =
; ЕС = ЕF = ![]()
2) OF = EF - EO =
R
3) CG = CF =
=
=
.
Итак, по построению CG =
- ч.т.д.
5. Подведение итогов урока.
Домашнее задание: пункт 109, № 1282, №1284.