Открытый урок по математике на тему: "Решение задач на сплавы, растворы и смеси"
Тип урока: комбинированный.
Цели:
- Научить решать простые задачи на сплавы и смеси.
- Развивать устную и письменную речь.
- Воспитание аккуратности дисциплинированности, самостоятельности.
Оформление:
а) на задней стороне доски выписан список типов текстовых задач.
б) На средней доске начерчены таблицы №1 и таблица №2
Оборудование:
а) на А4 для каждой парты составлен сборник задач по теме (в учебнике их нет);
б) На листе А4 напечатаны допущения для решения задач данного типа.
в) На листе А4 напечатаны вопросы при решении текстовых задач.
Подготовка к уроку:
Учащиеся должны начертить таблицы №1и №2 (экономия времени на уроке)
Комментария к уроку:
Урок проводится без применения ТСО, лишь имея мел и доску.
Краткий план урока.
- Оргмомент (ознакомление с типами потребности задач и выработка потребности изучать новый материал).
- Актуализация спорных знаний (решение задач на части и проценты).
- Изучение нового материала (решение задач №1, №2, №3 и №4. Выведение формулы. )
- Закрепление материала (решение задач №5, №6 и №7).
- Итог урока.
- Домашнее задание.
Подробный план-конспект урока.
ХОД УРОКА.
Оргмомент.
Учитель: Здравствуйте. У нас сегодня урок решения задач. Мы с вами должны научиться решать новые для вас задачи.
(Открываю заднюю сторону боковой доски).
Посмотрите типы текстовых задач и выберите те, которые мы с вами умеем решать, затем те, которые для вас незнакомы.
(На задней стороне боковой доски перечень типов текстовых задач).
- Задачи на части и проценты.
- Задачи, связанные с десятичной формой записи числа.
- Задачи с целочисленными данными.
- Задачи на движения.
- Задачи на работу.
- Задачи на бассейны и трубы.
- Задачи на обратную и прямую пропорциональность.
- Задачи на сплавы, растворы и смеси.
Учитель. Итак, какие типы задач вам знакомы?
Ученик. Все, кроме 8-го типа.
Учитель. Да, этот тип задач мы еще не решали, их и в учебнике нет. Но на конкурсных экзаменах в ВУЗы и ССУЗы они часто встречаются, поэтому вы должны научится их решать.
Тема нашего урока: «Решение задач на сплавы, смеси и растворы».
Задача данного урока: дать алгоритм решения данного типа и научить решать простые задачи на сплавы, смеси и растворы.
2) Актуализация опорных знаний.
Учитель. Но чтобы научиться решать такие типы задач, нам надо вспомнить как решаются задачи на части и проценты. Для этого поработаем с таблицей №1
(таблица на средней доске).

(Информация в таблице дана печатными буквами, последующие записи оформляются в таблице учениками по ходу решения задач. В конспекте написаны курсивом).
Учитель Решаем задачу №1. Составьте задачу и вопрос к ней?
Ученик. Найдите 1/4 числа 200.
Учитель. Чтобы найти значение дроби от числа, надо это число умножить на 1/4 (кто-то из учащихся оформляет решение в таблице).
Учитель. Составьте задачу и вопрос к второй задаче.
Ученик. 2/3 некоторого числа равно 60. Найдите это число?
Учитель Чтобы найти число по его дроби, надо значение дроби разделить на дробь.
Ученик. Значит 60 разделим на 2/3 (кто-то из учащихся оформляет решение в таблице, а учащиеся класса записывают решения в своих таблицах).
По аналогии решаются и последующие задачи.
Задача №3.
Ученик. Найти 40% числа 60.
Учитель. Сначала 40% представим в виде дроби и дальше решаем как в задаче №1
Задача №4.
Ученик. 160 составляет 80% некоторого числа. Найти это число?
Учитель. Как решим эту задачу?
Ученик. Надо 80% представить в виде десятичной дроби и решать как в задаче №2.
Задача №5.
Учитель. Известно все число 450. Значение дроби от числа равно 90. Сколько процентов 90 составляет от 450?
Чтобы найти какую часть составляет одно число от другого, надо первое число разделить на второе и умножить на 100%.
Задача №6.
1200:800х100%=150%, значит 1200 составляет 150% от числа 800.
Учитель. Итак, мы вспомнили алгоритм решений задач на части и проценты. Это нам потребуется для хорошего усвоения новой темы.
3) Изучение нового материала.
Учитель. На каждой парте есть список задач по теме, рекомендации для решения текстовых задач на сплавы, смеси и растворы.
Читайте условие и вопрос задачи №1 из списка.
Ученик. (читают)
Учитель. Обратимся к рекомендациям для решения текстовых задач. Прочитайте пункты 1, 2, 3. Ответим на эти вопросы и заполним седьмую строку таблицы №1. Дайте решение задачи (на доске заполняет пустую строку кто-либо из учеников).
Теперь решим сложную задачу №2 (дети читают текст и отвечают на рекомендации 1и 2, затем заполняют таблицу №2 у себя в тетради, а на доске заполняет Учитель с помощью учащихся).
Вопросы учителя (ответы уч-ся в скобках):
Учитель. О каком процессе в задаче идет речь?
(Из двух кусков с различным содержанием олова получают новый сплав).
Учитель. Какие величины известны и что нужно найти?
(Известны масса кусков, процентное содержание олова, в каждом куске. Надо найти сколько процентов олова будет содержать сплав).
Учитель. Заполним таблицу №2
| Масса | % олова | Масса олова | |
| 1 кусок | 300г. | 20%=0, 2 |
?
0, 2х300=60(г. ) |
| 2 кусок | 200 г. | 40%=0, 4 | 0, 4х200=80(г. ) |
| Сплав |
300+200=500
(г) |
?
140:500х100%= =28% |
60+80=140(г) |
(Известная информация на доске записывается в таблицу одним цветом мела, а ход решения другим цветом).
Обратимся к допущениям для решения задач на сплавы. Прочитайте (ученики читают по очереди вслух).
А теперь будем решать задачу; решение будем выполнять прямо в таблице.
Учитель. Что можно найти в задаче для 1 куска и как?
(массу олова, для этого 20% запишем в виде десятичной дроби и умножим на массу 1-го куска). 0, 2х200=60(г. )-олова.
Учитель. Что можно найти для 2-го куска? (0, 4х200=80(г)-олова )
Учитель. По закону «сохранения массы» в сплаве будет 60+80=140(г)-олова.
Учитель. Так же по закону «сохранения массы» весь сплав имеет массу (300+200=500(г))
Учитель. Найдем сколько процентов 140 составляет от 500. Как?
(140:500х100%=28%)
Учитель. Значит сплав будет содержать 28% олова.
Учитель. Решим задачу №3.
Прочитайте условие, заполните таблицу данными задачи и поставьте знак вопроса.
(Таблицу у доски заполняет кто-либо из учеников).
| М | % кислоты | М кислоты | |
| 1 раствор | 300 | 50% | |
| 2 раствор | 100 | 30% | |
| Смесь 1и 2 раствора | ? |
Учитель. Решим эту задачу по действиям, потом занесем решения в таблицу.
50%=0, 5; 0, 5х300=150 (г)-кислоты в 1-ом растворе.
30%=0, 3; 0, 3х100=30 (г)-кислоты во 2-ом растворе.
- По закону «сохранения массы»
300+100=400 (г)- масса смеси.
150+30=180 (г)- масса кислоты.
180:400х100%=45%-кислоты в смеси.
Ответ :45%
Учитель. Заполните таблицу решением.
Учитель. Вы должны были заменить определенную закономерность при решении задач на смеси, сплавы и растворы. Сейчас решим задачу №4 в буквенном виде и составим алгоритм решения такого типа задач.
Задача №4.
Учитель. Прочитайте текст, заполните таблицу данными задачи и поставьте вопрос.

(Таблицу на доске заполняет «сильный» ученик).
Учитель. Решения будем заносить совместно со мной в таблицу.
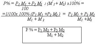
Представьте % в виде дроби
Р1%= Р1/100 и Р2%= Р2/100
Учитель. Найдите массу олова в каждом куске
Р1 М1 / 100 и Р2 М2/ 100
Учитель. Масса всего олова равна:
![]()
Учитель. Масса всего сплава равна:
М1 + М2
Учитель. Найдем сколько процентов масса всего олова составляет от массы всего сплава, для этого первое число разделим на второе и умножим на 100%.

- формула вычисления процентного содержания чего-либо в сплаве.
(Вывод формулы оформляется на боковой доске).
Учитель. Заполним таблицу решением, выбирая необходимое из вывода.
(В таблице решения записываются другим цветом, курсивом)
4) Закрепление изученного материала.
Учитель. Последующие записи будем решать, используя только что выведенную формулу и без заполнения таблиц.
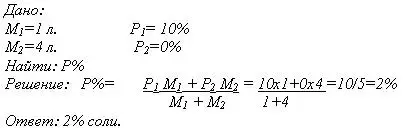
Задача №5
Учитель. Решим ее совместно на доске.

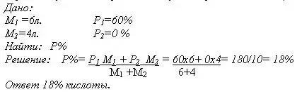
Учитель. Задачу №6 решите у себя в тетрадях самостоятельно. На задней стороне боковой доски на оценку кто-то из желающих может оформить решение. Будет возможность быстро сверить решение.
(Дети решают у себя в тетради, один ученик решает на доске).

Учитель. Сверим решение задачи. (предварительно Учитель сам проверяет решение на доске. )
Учитель. Решим еще одну задачу №7. Мне нужен желающий решать ее у доски с комментариями.
(Ученик читает текст, оформляет «дано» и «найти». Решение дает, проговаривая свои рассуждения вслух).
Задача №7.

Итог урока.
Учитель. На данном уроке мы научились решать простые задачи на сплавы, смеси и растворы.
Можем их решать через таблицу и через алгоритм.
Домашнее задание.
№ 8 и №9
Используемая литература.
- Математика в школе №5 1999 год стр. 5.
- Готовимся к ЕГЭ. Математика Москва 2004. «Дрофа».
- Математика №22 2005 год.
- Математика №36 2004год.