Урок физики. 9-й класс. Тема: "Закон сохранения импульса. Решение задач"
Скачать презентацию (1.14 МБ)
(Слайды 1-2)
Цели: закрепить понятие импульса, закона сохранения импульса, проверить знание закона сохранения импульса, научиться решать задачи. (Слайд 3)
- Дидактическая цель: систематизировать изученный материал, выявить уровень овладения системой знаний и умений; проверить уровень обученности.
- Образовательная цель: способствовать пониманию закона сохранения импульса.
- Развивающая цель: способствовать обучению школьников умению составлять и решать задачи; развитие познавательной активности, мышления.
- Воспитывающая цель: создание ситуаций для самостоятельного быстрого поиска решений; демонстрировать собственные достижения; развивать коммуникативные способности учащихся.
Тип урока: комбинированный.
Средства обучения: компьютер, мультипроектор, презентация к уроку, раздаточный материал.
План урока
- Организация работы. (3 мин.)
- Проверка домашнего задания. Актуализация знаний. (7 мин.)
- Закрепление пройденного материала на уроке. Решение задач. (23 мин.)
- Тестирование (взаимопроверка) (10 мин.)
- Итог урока. Домашнее задание. (2 мин.)
ХОД УРОКА
1. Организация работы
Объявление темы и цели урока, порядка работы на уроке.
Мир сложен –
Он полон событий, сомнений
И тайн бесконечных,
И смелых догадок.
Как чудо природы
Является гений
И в хаосе этом
Находит порядок. (слайд 4)
2. Повторение изученного. Этап подготовки к активному и сознательному усвоению материала (актуализация знаний).
Вопросы для учащихся:
– Что называют импульсом тела?
– Что можно сказать о направлениях векторов
импульса и скорости движущегося тела?
– Что принимают за единицу импульса?
– Сформулируйте закон сохранения импульса.
(Слайды 5, 6, 7)
Устные задачи:
– Импульс какого тела больше? (Слайд 8, 9)
– Определите знаки проекций импульсов тел.
(Слайд 10)
3. Закрепление материала (Слайды 11, 12)
Знакомство с планом решения задач на закон сохранения импульса. (слайд 13)
1) Сделать рисунок, на котором обозначить
направления оси координат, векторов скорости тел
до и после взаимодействия
2) Записать в векторном виде закон сохранения
импульса
3) Записать закон сохранения импульса в
проекции на ось координат
4) Из полученного уравнения выразить
неизвестную величину и найти её значение
Решение задачи упражнения 21 (2) стр. 82
Железнодорожный вагон массой 35 т подъезжает к стоящему на том же пути неподвижному вагону массой 28 т и автоматически сцепляется с ним. После сцепки вагоны движутся прямолинейно со скоростью 0,5 м/с. Какова была скорость вагона массой 35 т перед сцепкой?
(Слайды 14, 15, 16)
Ученик решает у доски, учащиеся в тетрадях.
Изменить условие задачи. (А.П. Рымкевич № 325 стр. 48)
Вагон массой 20 т, движущийся со скоростью 0,3 м/с, нагоняет вагон массой 30 т, движущийся со скоростью 0,2 м/с. Какова скорость вагонов после взаимодействия, если удар неупругий? (Слайды 17, 18) Ученик самостоятельно решает у доски, учащиеся в тетрадях.
| Дано: | СИ | Решение: |
![]() |
![]() |
![]() |
![]()
Задачи 3, 4 (слайды 19 – 24) Учащиеся сами составляют условие задачи и решают её в общем виде.
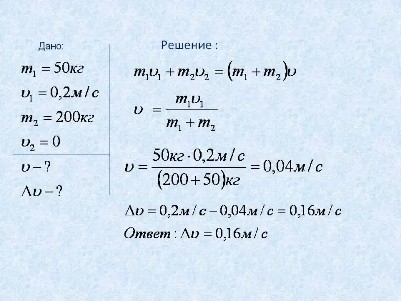
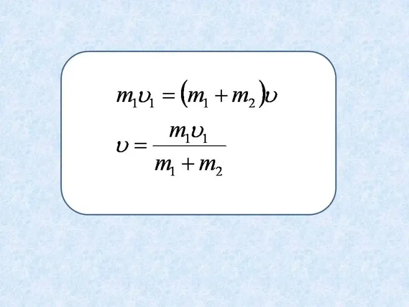
Задача 5. (А.П. Рымкевич № 324 стр. 48) (слайд 25, 26, 27)
На вагонетку массой 50 кг, катящуюся по горизонтальному пути со скоростью 0,2 м/с, насыпали сверху 200 кг щебня. На сколько при этом уменьшилась скорость вагонетки?
Ученик решает у доски, учащиеся в тетрадях.
| Дано: | Решение: |
![]() |
![]()
|
4. Тестирование. Взаимопроверка теста
1. Два шарика массами m и 2m движутся
со скоростями, равными соответственно 2
и
. Первый шар движется за вторым и, догнав,
прилипает к нему. Каков суммарный импульс шаров
после удара?
а)
б)
в)
г)
![]()
2. Навстречу друг другу летят шарики из пластилина. Модули их импульсов равны соответственно 5•10–2 кг•м/с и 3•10–2 кг•м/с. Столкнувшись, шарики слипаются. Импульс слипшихся шариков равен
а) 8 • 10–2 кг•м/с б) 2 • 10–2 кг•м/с
в) 4 • 10–2 кг•м/с г)34 •10–2 кг•м/с
3. Два кубика массой m движутся по
гладкому столу со скоростями, по модулю
равными
. После удара
кубики слипаются. Суммарный импульс системы
двух кубиков до и после удара по модулю равен
соответственно
а) 0 и 0 б) 2
и 0 в)
и 0 г)
и
![]()
4. По гладкому столу катятся два шарика из пластилина. Модули их импульсов равны соответственно 3•10–2 кг•м/с и 4•10–2 кг•м/с, а направления перпендикулярны друг другу. Столкнувшись, шарики слипаются. Импульс слипшихся шариков равен
а) 10–2 кг•м/с б) 3,5 • 10–2 кг•м/с в) 5 • 10–2 кг•м/с г) 7 • 10–2 кг•м/с
5. Две тележки движутся вдоль одной прямой в одном направлении.
Массы тележек m и 2m , скорости
соответственно равны
и
. Какой будет их скорость
после абсолютно неупругого столкновения?
а)
б)
в)
г)
![]()
Ответы: 1. г 2. б 3. а 4. в 5. а (слайд 28)
5. Итоги урока
Сформулируйте закон сохранения импульса. Как решаются задачи на закон сохранения импульса?
Домашнее задание § 21, 22
Творческое задание: составить и решить задачи.
Литература (слайд 29)
1. А.В. Перышкин, Е.М. Гутник. Физика 9
класс. Дрофа: – М. 2006
2. О.И. Громцева. Тесты по физике 9
класс.УМК. Издательство «Экзамен»: – М. 2010
3. А.П. Рымкевич. Задачник 10-11 классы.
Дрофа: – М.2010




