Обобщающий урок по теме: "Решение целевых уравнений". 9-й класс
Этот урок, являясь последним перед контрольной работой уроком в изучаемой теме, преследует следующие цели:
Дидактическая:
- повторение, закрепление, обобщение, систематизация знаний учащихся по данной теме;
- подготовка класса к контрольной работе.
Развивающая:
- развитие умений познавательных, коммуникативных, развитие креативных способностей учащихся, познавательного интереса к предмету, умения владеть предметным языком.
Воспитательная:
- воспитание нравственных убеждений, организованности, ответственности, самостоятельности, толерантного отношения к себе, одноклассникам, учителю.
Основной формой работы на уроке будет работа мобильных групп.
На первом этапе группы разноуровневые, условно мною называемые класс - компанией.
Цель работы этих компаний: коррекция знаний, основных понятий, работа на выравнивание через взаимопомощь и толерантность. В каждой группе есть старший, задача которого контролировать работу группы.
На другом этапе работает второй тип групп (название класс - группа).
Условие объединения: по степени усвоения изученного материала и сформированности надпредметных умений. На этом же этапе часть детей для закрепления, отработки и индивидуальной коррекции выведена на работу в пару к консультанту.
Ход урока
1. Организационный момент, самоопределение к деятельности.
Учитель объявляет тему урока, цель урока, план урока. Далее поясняет актуальность данной темы: встречается на экзаменах и централизованном тестировании, используется при изучении последующих тем алгебры.
Историческая справка: в решение целых уравнений большой вклад внесли итальянские математики XVI века.
Сципион Даль Ферро (1465 - 1526);
его ученик Фиори;
Н. Тарталья (ок. 1499 - 1557);
Дж. Кардано (1501 - 1576);
его ученик Л. Феррари;
Р. Бомбелли (ок. 1530 - 1572).
12 февраля 1535 года между Фиори и Тартальей состоялся научный поединок, на котором Тарталья за 2 часа решил 30 задач предложенных Фиори, зато сам Фиори не решил ни одной задачи, предложенной ему Тартальей.
Сколько же уравнений решите сегодня вы? Какие способы для решения изберете?
Дети сидят в 4 группах по типу класс - компания.
2. Повторение (актуализация базовых знаний), устная работа.
Вопросы к учащимся:
- Что называется уравнением?
- Что такое корень уравнения?
- Что значит, решить уравнение?
- Какое уравнение называется целым уравнением?
- Что называется степенью целого уравнения?
- Какие целые уравнения вам известны?
- Сколько корней может иметь каждое из этих уравнений?
- Какие способы решения уравнений вам известны, какие методы?
Используя ответы учащихся, учитель заполняет большую таблицу возле доски, дети заполняют такую таблицу, заранее приготовленную в своих тетрадях.
Приложение 1.
Частичная проверка домашнего задания, усвоение соответствующей системы знаний и умений.
Из групп для работы у доски учитель вызывает 4 слабоуспевающих учащихся и 3 сильных учащихся.
Со слабоуспевающими учащимися учитель ведет индивидуальную коррекционную работу и " тихий опрос". Уравнения, которые предлагаются этим детям, из домашнего задания:
1) ![]()
2) ![]()
3) ![]()
4)
При каких значениях параметра а уравнение имеет единственный корень?
Сильным учащимся также предлагаются задания из домашней работы:
1) Решить двумя способами уравнение
![]()
2) ![]()
3) ![]()
Ответы сильных учащихся используются учителем для демонстрации образца ответа.
Во время работы этих учащихся возле доски, оставшейся части класса предлагается следующее задание:
Из нескольких вариантов решения выбрать правильное, найти его место на схеме и озвучить ошибки, которые допущены в других вариантах решения.
Эта работа ведется в группах, старший группы дает ответ.
Задание для группы №1:
Выбрать правильное решение уравнения ![]()
Варианты:
1) ![]()
![]()
Ответ: 5
2) ![]()
![]()
| или |
||
Ответ: 5; 4; -4.
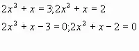
Задание для группы №2:
Выбрать правильное решение уравнения ![]()
Варианты:
1) ![]()
Ответ: 0; 3; -7.
2) ![]()
Ответ: 0; -3; 7.
Задание для группы №3:
Выбрать правильное решение уравнения ![]()
Варианты:
| 1) замена | |
| решений нет; | Ответ: решений нет. |
| 2) замена | ||
![]() |
![]() |
|
| Ответ: 2; -2; |
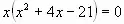
Задание для группы № 4:
Выбрать правильное решение уравнения ![]()
Варианты:
Замена:
![]()

![]()

![]()
Ответ: ![]()
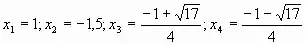
2) Замена:
![]()

![]()
![]()

![]()
![]()
Ответ: ![]()
Ребята наполняют таблицу разобранными примерами.
Тренинг, закрепление:
Класс пересаживается по типу: класс - группа.
А - слабоуспевающие учащиеся,
В - успевают на 3 - 4,
С - успевают на 4 - 5,
Д - сильные учащиеся, имеющие способности к математике, успевающие на пять.
Группы В и С получают задание, решение которого обсуждается в группе, в конце урока учитель предлагает правильное решение задания, ученики проверяют свое решение, старший группы оценивает каждого, выделяет наиболее отличившихся из своих товарищей, с тем, чтобы учитель мог ему поставить отметку.
| Группа В (решить уравнение) | Группа С (решить уравнение) |
| 1) графически |
1) графически |
| 2) аналитически |
2) аналитически |
| 3) аналитически |
3) аналитически |
Группа Д и А работают вместе. Учащиеся из группы Д играют роль консультанта, учащиеся из группы А - консультируемого. Работают они в парах.
Каждый ученик получает четкую инструкцию своей работы.
Памятка консультанту.
- Консультант следит за решением, исправляет ошибки;
- задает вопросы;
- помогает решить;
- оценивает работу товарища.
Памятка консультируемому.
- Решает задания;
- если возникла трудность, просит помощи консультанта;
- задача: набрать большее количество баллов.
Для работы предлагается тест.
Тестовая работа:
|
Вариант 1 |
||||
|
Задание
Решить уравнение |
Ответы |
|||
| а | б | в | г | |
| 1) |
-1; 2 | -2;1 | -1;2;0 | -2;0;1 |
| 2) |
-1;1 | 1;3 | 3;-3 | -3;3;-1;1 |
| 3) |
4;2 | -1;-3 | 1;3 | -2;4 |
|
Вариант 2 |
||||
|
Задание
Решить уравнение |
Ответы |
|||
| а | б | в | г | |
| 1) |
3;-2 | -2;0;3 | -2;3 | 3;-2;0 |
| 2) |
1;2 | 1;-1;2 | 2;-2 | 1;-1 |
| 3) |
-1;1 | -1;-3 | 1 | 1;3 |
Подведение итогов урока.
Учитель оценивает работу класса в целом и отдельных учащихся.
В заключении учитель говорит следующее: " Итак, Тарталья за 2 часа решил 30 задач, мы с вами все вместе за 40 минут примерно столько же, мы близки к совершенству, на контрольной работе думаю, проблем не будет".
Информация о домашнем задании.
Наполнить таблицу своими примерами, используя учебник, в тетради примеры решить, приготовить таблицу для использования на контрольной работе как справочный материал.

