Примеры использования обратных тригонометрических функций
Учебник: Учеб. для 10-11 кл. общеобразоват. учреждений/А.Н. Колмогоров, А.М. Абрамов, Ю.П. Дудницын и др. ; по ред. А.Н. Колмогорова. 11-е изд. - М.: Просвещение, 2007.
Тип урока: урок совершенствования знаний, умений, навыков.
Цели урока.
- Образовательная: повторить свойства обратных тригонометрических функций и закрепить их при решении задач.
- Развивающая: логического мышления, грамотной математической речи, сознательного восприятия учебного материала.
- Воспитательная: воспитание познавательной активности, культуры диалога.
ХОД УРОКА
I. Организационный момент
II. Двое обучающихся на доске решают уравнения

III. Устная работа c классом
1. Перечислить свойства функций arcsin x, arccos x, arctg x, arcctg x.
2. Может ли принимать значения
a) arcsin m , б) arccos m?
3. Имеет ли смысл выражение:

Проверка решений уравнений. Обучающимся задаются вопросы: 1)какие функции называются обратными? 2) как располагаются графики обратных функций на координатной плоскости?
IV. Формирование умений и навыков
Решение у доски задач по теме с обсуждением в классе.
1. Найти значение выражения

Ответы: 1) 1; 2) не существует.
Двое обучающихся получают индивидуальные карточки:

2. Найти область определения функции

Ответы: 1) [1/2; 1], 2) [1; 5]
Двое обучающихся получают индивидуальные карточки: найти область определения функции:
![]()
![]()
3. Найти значение выражения:
![]()
Ответы: 1) 4; 2) 8.
Двое обучающихся получают индивидуальные карточки: найти значение выражения
![]()

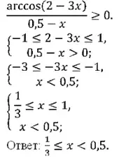
4. Демонстрация решений комбинированных неравенств на переносной доске.
Решить неравенства:
![]() |
![]() |
5. Применение знаний в новой ситуации.
Решить уравнение ![]()

6. Найдите сумму координат точки пересечения графиков функций ![]()
Решение. Построив графики функций
в одной координатной плоскости, находим координаты точки пересечения графиков (0;
). Сумма координат
.
V. Домашнее задание: № 131(а, г), 134(а, в) стр. 66, № 158 (б, г) стр.285.
VI. Подведение итогов.

